Lexikon der Optik: Ronchi-Test
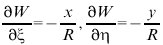
Ronchi-Test, Verfahren zur Prüfung von Wellenfronten. In den konvergenten bzw. divergenten Strahlengang eines optischen Systems wird in Fokusnähe ein lineares Gitter gestellt (Abb.). Der Beobachter, der durch das Gitter blickt, sieht in der Austrittspupille des optischen Systems ein deformiertes Streifenbild. Dabei sind die Streifenverbiegungen ein Maß für die Strahlaberrationen in x- bzw. y-Richtung. Zwischen den Koordinaten x, y in der Gitterebene (Abb.) und den Koordinaten ξ, η in der Austrittspupille besteht der Zusammenhang![]()
,
wobei W(ξ,η) die Wellenaberration in der Austrittspupille und R den Krümmungsradius der Wellenfront bedeuten. Wenn das Gitter eine kosinusförmige Transparenzverteilung besitzt, ist die Intensität unmittelbar hinter der Gitterebene gegeben durch![]()
,
wobei p die Gitterperiode, δ eine von der Lage des Gitters abhängige Phase und V einen Sichtbarkeitsfaktor bezeichnen. Eine Rückprojektion in die Austrittspupille (ξ, η) ergibt dann
.
Für δ=0 treten Streifenmaxima an den Stellen auf, für die gilt![]()
.
Aus der Lage der Streifen ergibt sich W/ξ bzw. aus einer weiteren Messung nach Drehung des Gitters um 90° auch W/η. Aus den partiellen Ableitungen läßt sich dann W(ξ, η) rekonstruieren. Die beim R. verwendete Anordnung läßt sich auch als Shearinginterferometer auffassen.

Ronchi-Test: Anordnung. R Abstand Austrittspupille-Ronchi-Gitter (ungefähr gleich der Fokuslänge). x, y Koordinaten in der Gitterebene; ξ, η Koordinaten in der Austrittspupille.
Wenn Sie inhaltliche Anmerkungen zu diesem Artikel haben, können Sie die Redaktion per E-Mail informieren. Wir lesen Ihre Zuschrift, bitten jedoch um Verständnis, dass wir nicht jede beantworten können.