Lexikon der Optik: Schärfentiefe
Schärfentiefe, veraltete Bezeichnung Tiefenschärfe, die der Abbildungstiefe optisch konjugierte axiale Ausdehnung desjenigen Objektraumbereichs in Lichtrichtung vor und hinter der Einstellebene, der ohne merkliche Unschärfe auf die zur Einstellebene optisch konjugierte Auffangebene abgebildet wird. Die S. ist die Voraussetzung für die Abbildung eines räumlichen Objektes auf eine Bildebene, die nach der Gaußschen Abbildung unmöglich ist.
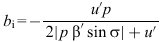
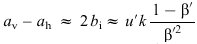
Die geometrisch-optische S. wird durch den zulässigen Durchmesser u' des Unschärfekreises bestimmt. Da nur die Punkte der in der Objektweite a befindlichen Einstellebene kollinear als Punkte in die Auffangebene abgebildet werden können, werden die Punkte aller anderen vor bzw. hinter der Einstellebene liegenden Ebenen des Objektraumes als Zerstreuungs- oder Unschärfekreise in die Auffangebene projiziert (Abb.). Aus dem (unter anderem durch die Struktur der Empfängerfläche bestimmten) maximal zulässigen Unschärfeparameter u' bestimmen sich als objektivnahe bzw. objektivferne Schärfengrenze die Vordertiefe av bzw. die Hintertiefe ah sowie als S. deren Differenz av-ah=bi-be. Da diese Grenzen nicht symmetrisch zur Einstellebene liegen, muß zwischen der zulässigen intra- und extrafokalenDefokussierung gegenüber der Einstellebene ![]()
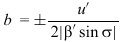
und ![]()
unterschieden werden (Abb.), sofern nicht mit ![]()
die symmetrische Näherung ![]()
gilt. Die S. ist dem Abbildungsmaßstab β' und der objektseitigen Apertur sinσ umgekehrt proportional. Sie hängt außerdem sehr schwach von der objektseitigen Pupillenschnittweitep ab.
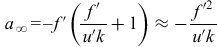
Die S. eines Photoobjektivs der Brennweite f', die sich bei Einstellung auf eine Objektweite a für eine Blendenzahl k ergibt, reicht von ![]()
bis ![]()
.
Bei der Fix-Fokus-Einstellung auf eine konstante, als Naheinstellung auf Unendlich bezeichnete Objektweite ![]()
,
die für Kameras ohne Entfernungseinstellung verwendet wird, reicht die S. vom Unendlichen bis 0,5 a∞. Bei Nah- und Makroaufnahmen ist die S. in guter Näherung brennweitenunabhängig ![]()
.
Der zulässige Unschärfekreisdurchmesser u' wird durch das Auflösungsvermögen des Auges, die Nachvergrößerung und den Betrachtungsabstand des Bildes bestimmt. Damit er unter einem Sehwinkel von weniger als 3' erscheint, darf er im allgemeinen 1/1000 der Bilddiagonale nicht überschreiten. Bei Kinofilm-Bildern sind wegen der Betrachtung des bewegten Bildes größere Unschärfen zulässig.
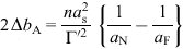
Die S. visueller optischer Instrumente wird durch den Akkomodationsbereich des Auges um ![]()
erhöht (mit n als Brechzahl im Objektraum, Γ' als Vergrößerung, as = -250 mm als Bezugssehweite, aN als Nahpunktabstand und aF als Fernpunktabstand, der im allgemeinen unendlich ist).
Beim Mikroskop sind außer dieser durch die Akkomodation bedingten Erhöhung der S. die maximal zulässige geometrisch-optische Defokussierung ![]()
und die wellenoptische S. (wellenoptische Abbildungstiefe) ![]()
bei der Festlegung der S. ![]()
zu berücksichtigen. Dabei bedeuten Γ'M bzw. sinσ die Vergrößerung bzw. die objektseitige Apertur des Mikroskops und λ0 die Vakuumwellenlänge des Lichtes. Der Durchmesser u' des geometrisch-optischen Unschärfekreises darf bei der visuellen Mikroskopie höchstens 150 μm betragen, damit er aus der Bezugssehweite as unter einem nicht störenden Sehwinkel von maximal 2' erscheint.

Schärfentiefe: Schärfen- und Abbildungstiefe bei Abbildung mit begrenzter Apertur. be und b'e bzw. bi und b'i zulässige extra- bzw. intrafokale Defokussierung im Objekt- und Bildraum, av bzw. ah Vorder- bzw. Hintertiefe, H und H' Hauptpunkte sowie p und p' Pupillenschnittweiten im Objekt- und Bildraum.
Wenn Sie inhaltliche Anmerkungen zu diesem Artikel haben, können Sie die Redaktion per E-Mail informieren. Wir lesen Ihre Zuschrift, bitten jedoch um Verständnis, dass wir nicht jede beantworten können.