Lexikon der Optik: Stanhopesche Lupe
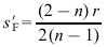
Stanhopesche Lupe, Kugellinse, bei der beide Hauptpunkte in den Krümmungsmittelpunkt fallen und die Brechkraft durch ![]()
gegeben ist, wobei n die Brechzahl und r den Kugelradius bezeichnen (Abb. 1). Die Brennpunktschnittweite ![]()
verschwindet für n=2.
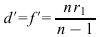
Unabhängig von der Form der zweiten Fläche liegt auch für Linsen der Dicke
![]()
mit r1 als Radius der ersten Fläche (Eintrittsfläche) der Brennpunkt im Scheitel dieser zweiten Fläche. Auch derartige Linsen werden als S. L. bezeichnet (Abb. 2). Daß auf der zweiten Fläche aufgebrachte Bilder durch die erste vergrößert werden, wird bei den Stanhopes – das sind kleine, auf hochauflösenden Kollodiumschichten (Kollodiumverfahren) hergestellte, auf den meist ebenen zweiten Flächen von S. L. aufgebrachte Photographien – ausgenutzt. Wird die zweite Fläche konzentrisch zum Krümmungsmittelpunkt der ersten angeordnet (r2=-d'/n) und verspiegelt, entsteht die als Katzenauge bezeichnete Form des Rückstrahlers, der bei im gemeinsamen Krümmungsmittelpunkt angeordneter Blende jedes einfallende Parallelbündel in sich reflektiert (Abb. 3).



Wenn Sie inhaltliche Anmerkungen zu diesem Artikel haben, können Sie die Redaktion per E-Mail informieren. Wir lesen Ihre Zuschrift, bitten jedoch um Verständnis, dass wir nicht jede beantworten können.