Lexikon der Optik: Stokes-Parameter
Stokes-Parameter, vier reelle Größen zur Beschreibung des Polarisationszustandes des Lichtes. Sie hängen in folgender Weise mit den Elementen der KohärenzmatrixJ zusammen:
(1)
Für den Fall quasimonochromatischen, vollständig polarisierten Lichtes kann man die S. (unter Verwendung der entsprechenden Kohärenzmatrix) schreiben als![]()
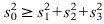
Die S. erfüllen allgemein die Bedingung ![]()
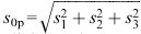
, wobei das Gleichheitszeichen nur für vollständig polarisiertes Licht gilt. Der Parameter s0 beschreibt die Gesamtintensität der Strahlung, dagegen ist die Intensität des polarisierten Anteils gegeben durch ![]()
. Eine geometrische Veranschaulichung der S. erfolgt anhand der Poincaré-Kugel (Polarisation 1)). Für einfache Spezialfälle lauten die S. wie folgt:
wobei α das Schwingungsazimut, d.h. den Winkel zwischen der Schwingungsrichtung der elektrischen Feldstärke und der x-Richtung bedeutet.
Die Änderung der S. bei Durchgang des Lichtes durch ein optisches System wird durch eine Mueller-Matrix beschrieben.
Wenn Sie inhaltliche Anmerkungen zu diesem Artikel haben, können Sie die Redaktion per E-Mail informieren. Wir lesen Ihre Zuschrift, bitten jedoch um Verständnis, dass wir nicht jede beantworten können.