Lexikon der Optik: thermisches Licht
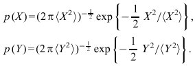
thermisches Licht, die von einer konventionellen Lichtquelle, z.B. einer Gasentladungs- oder einer Glühlampe, ausgesandte Strahlung. Für experimentelle Zwecke ist es oft erforderlich, mit Hilfe eines Filters einen gewissen Frequenzbereich Δν auszublenden. Darüber hinaus kann das Licht mit Hilfe eines Polarisators polarisiert werden. Da t. L. durch spontane Emission erzeugt wird, stellt es eine zufällige Überlagerung von elementaren Wellenzügen dar. Demzufolge zeigt es starke Fluktuationen in seiner Phase und seiner Intensität. Die Intensitätsschwankungen sind eine Folge der Interferenz zwischen den am gleichen Ort zur selben Zeit eintreffenden Elementarwellen. Je nachdem, welche Phasenbeziehungen sich zwischen letzteren zufällig einstellen, addieren sich deren Amplituden zu einem großen oder einem kleinen Wert der Gesamtamplitude des Feldes. Für jede der beiden Transversalkomponenten der elektrischen Feldstärke gilt folgendes: Zerlegen wir ihren positiven Frequenzanteil E(+) (Korrelationsfunktionen des Strahlungsfeldes) gemäß der Beziehung E(+)=X+iY in Real- und Imaginärteil, so fluktuieren – stationäre Austrahlung, d.h. zeitliche konstante Betriebsbedingungen der Lichtquelle vorausgesetzt – X und Y an jedem Orte unabhängig voneinander gemäß einer Gaußschen Verteilung
.
Dabei stimmen die quadratischen Mittelwerte 〈X2〉 und 〈Y2〉 überein. Die linearen Mittelwerte 〈X〉 und 〈Y〉 verschwinden. Aus den angegebenen Formeln ergibt sich die Verteilungsfunktion für die (momentane) Intensität I des Lichtes zu
wobei 〈I〉 die mittlere Intensität und P den Polarisationsgrad bezeichnen. Intensität und Phase bleiben, an einem festen Ort betrachtet, in Zeitintervallen von der Länge der Kohärenzzeit näherungsweise konstant. Entsprechend ändern sie sich, in einem festen Zeitpunkt betrachtet, in Ausbreitungsrichtung über Strecken von der Ausdehnung der Kohärenzlänge nur wenig. In einer zur Ausbreitungsrichtung senkrechten Richtung sind sie über die transversale Kohärenzlänge hinweg genähert konstant.
Wenn Sie inhaltliche Anmerkungen zu diesem Artikel haben, können Sie die Redaktion per E-Mail informieren. Wir lesen Ihre Zuschrift, bitten jedoch um Verständnis, dass wir nicht jede beantworten können.