Lexikon der Optik: Transmissionsgrad
Transmissionsgrad, veraltet Transmissionsvermögen, Formelzeichen τ, das Verhältnis der durchgelassenen Strahlungsleistung φeτ zur auffallenden Strahlungsleistung φe, τ=φeτ/φe. In der Photometrie versteht man unter dem T. das entsprechende Verhältnis der Lichtströme. Für monochromatisches Licht stimmen die beiden Definitionen überein.
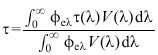
Da der T. in der Regel wellenlängenabhängig ist, gilt für den Gesamttransmissionsgrad des Lichtes bei einer einfallenden Strahlung mit der spektralen Dichte φeλ der Strahlungsleistung
,
wobei V(λ) den spektralen Hellempfindlichkeitsgrad des menschlichen Auges bezeichnet. In Abhängigkeit vom durchstrahlten Material kann die durchgelassene Strahlung gerichtet, gestreut oder aus diesen beiden Anteilen gemischt sein.
Bei der Messung ist zwischen diesen drei Fällen zu unterscheiden. Für die gemischte Transmission ergibt sich der T. τ als Summe des Grades der gerichteten Transmission τr und des Grades der gestreuten Transmission τd, τ=τr+τd. Dabei ist zu beachten, daß das Ergebnis der Messungen von τr und τd von den Meßgeräten und den Meßmethoden abhängt.
Wenn Sie inhaltliche Anmerkungen zu diesem Artikel haben, können Sie die Redaktion per E-Mail informieren. Wir lesen Ihre Zuschrift, bitten jedoch um Verständnis, dass wir nicht jede beantworten können.