Lexikon der Optik: Übertragungsfunktion der partiell kohärenten Abbildung
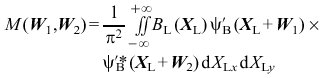
Übertragungsfunktion der partiell kohärenten Abbildung. Da bei der partiell kohärenten Abbildung nur Kohärenzfunktionen linear übertragen werden, ist die eigentliche Ü. d. p. k. A. die Kohärenzübertragungsfunktion, die aber kaum praktische Bedeutung hat. Die formal als Quotient der Intensitätsspektren des Bildes b'(W) und des Objektes b(W) analog zur optischen Ü. der inkohärenten Abbildung definierte Menzelsche Pseudoübertragungsfunktiong(W)=b'(W)/b(W) ist im Gegensatz zur optischen Ü. objektabhängig und besitzt für die nicht in b(W) enthaltenen reduzierten Ortsfrequenzen W (reduzierte Koordinaten) Polstellen, die die Interpretation erschweren. Deshalb wird als Ü. d. p. k. A. die auch als Transmissionskreuzkoeffizient bezeichnete Hopkinssche Transmissionskreuzübertragungsfunktion
benutzt. Der Faktor 1/π2 gilt für unvignettierte Kreispupillen. Als doppeltes Faltungsprodukt zweier um die Ortsfrequenzvektoren W1 bzw. W2 verschobenen Pupillenfunktionen ψ ![]()
(XL) mit der Leuchtdichteverteilung BL(XL) der in die Pupille (Blende) abgebildeten Lichtquelle erfaßt sie die Interferenz des an zwei Elementargittern des Objektes gebeugten Lichtes. Sie ist nicht meßbar, da sie unterschiedliche Elementargitter aO(W) der Amplitudentransparenz des Objektes über das Bildintensitätsspektrum ![]()
mit der Bildintensitätsverteilung
verknüpft. X' bzw. XL sind die reduzierten Koordinaten in der Bild- bzw. in der Pupillenebene.
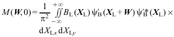
Der als Hopkins-Faktor bezeichnete lineare Anteil der Transmissionskreuzübertragungsfunktion
(Faktor 1/π2 für unvignettierte Kreispupillen) beschreibt die für den Bildaufbau grundlegende Interferenz zwischen gebeugtem und ungebeugtem Licht. Er ist die Ü. für das Amplituden- und das Phasenspektrum schwach modulierter Objekte in die Bildintensitätsverteilung. Normiert man den Hopkins-Faktor
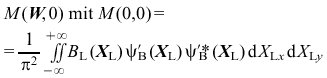
erhält man für die kohärente (Index k) bzw. inkohärente (Index ik) Abbildung die Pupillenfunktion ![]()
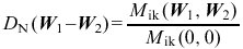
bzw. die normierte optische Ü. ![]()
,
die ebenfalls der normierten Transmissionskreuzübertragungsfunktion in der Form ![]()
entspricht (Abb.).

Übertragungsfunktion der partiell kohärenten Abbildung: Normierter linearer Anteil der Übertragungsfunktion der partiell kohärenten Abbildung bei reiner Beugung (a) und bei sphärischer Aberration (b) für verschiedene Kohärenzparameter S. DN (W) normierte optische Übertragungsfunktion.
Wenn Sie inhaltliche Anmerkungen zu diesem Artikel haben, können Sie die Redaktion per E-Mail informieren. Wir lesen Ihre Zuschrift, bitten jedoch um Verständnis, dass wir nicht jede beantworten können.