Lexikon der Optik: Verwaschungsfunktion
Verwaschungsfunktion, relativer Verlauf der Amplitude (Amplitudenverwaschungsfunktion) oder der Intensität von Punkten, Linien, Spalten und Kanten nach Übertragung mit einem optischen System und/oder auf einen Empfänger (z.B. auf eine photographische Schicht). Die Ursachen der Verwaschung sind bei der optischen Abbildung die Beugung an der Blende und die Aberrationen sowie die projektive Unschärfe durch Defokussierung und bei photographischen Schichten Streuung, Reflexion und Absorption. Die V. werden als wellenoptische Gütefunktionen zur Charakterisierung der Bildgüte benutzt.
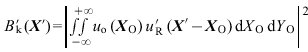
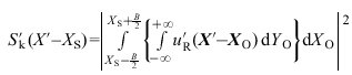
Die Punktbildverwaschungsfunktion![]()
(1)
ist das Quadrat des Absolutbetrages der Amplitudenverwaschungsfunktion, die die räumliche Amplitudenverteilung in der achsenorthogonalen Umgebung eines bei XO liegenden Bildpunktes beschreibt (X'=(X',Y') und XO=(XO,YO) reduzierte Koordinaten).
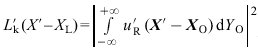
Bei inkohärenter Abbildung und Invarianz des Punktbildes ergibt sich die inkohärente Linienbildverwaschungsfunktion durch Überlagerung unendlich vieler, in einer Linie (im Beispiel in y-Richtung) angeordneter Bildpunktverwaschungsfunktionen.![]()
. (2)
Die Linie liegt bei XL. Die Normierung der Linienbildverwaschungsfunktion kann gemäß der Bedingung ![]()
erfolgen.
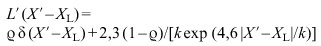
Für photographische Schichten ist die Linienbildverwaschungsfunktion durch den Frieserschen Ansatz![]()
(3)
gegeben, wobei δ die Deltafunktion, ρ den Anteil des die Schicht ungestreut durchlaufenden Lichtes und k die Friesersche Zahl (optische Übertragungsfunktion) bezeichnet, die die Ausbreitung des Streulichtes in der Schicht beschreibt.
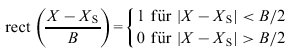
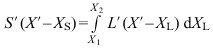
Die Spaltbildverwaschungsfunktion![]()
(4)![]()
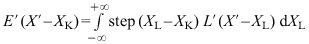
eines Spaltes am Orte XS (Spaltmitte) der Breite b, der mit der numerischen Apertur n sinσ unter Verwendung von Licht der Vakuumwellenlänge λ0 abgebildet wird, bzw. die Kantenbildverwaschungsfunktion![]()
(5)
einer bei XK liegenden Kante ergibt sich bei inkohärenter Abbildung durch Überlagerung von Linienbildverwaschungsfunktionen, die das Spaltgebiet bzw. den lichtdurchlässigen Teil der Halbebene ausfüllen.
Durch Differenzieren von (5) erhält man die Aussage, daß die Linienbildverwaschungsfunktion L' (X'-XK) mit dem Kantengradienten ![]()
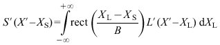
übereinstimmt. Die Spalt- und Kantenbildverwaschungsfunktionen sind im Gegensatz zur Amplituden-, Punktbild- und Linienbildverwaschungsfunktion experimentell bestimmbar. Sie bilden die Basis des Spalt- und Kantenbildanalyseverfahrens zur Messung der optischen Übertragungsfunktion, die sich im eindimensionalen Falle als die Fourier-Transformierte von L'(X'-XL) ergibt. Die Spaltbildverwaschungsfunktion bzw. die Kantenbildverwaschungsfunktion lassen sich auch als Faltung der Spaltfunktion
(6)
(B=bnsinσ/λ0 reduzierte Spaltbreite) bzw. der Kantenfunktion![]()
(7)
mit der Linienbildverwaschungsfunktion
L'(X'-XL) darstellen:
(8)
bzw.![]()
. (9)
Nach dem Faltungssatz ist dann die Fourier-Transformierte von S'(X'-XS) bzw. E'(X'-XK) das Produkt der Fourier-Transformierten der jeweils miteinander gefalteten Funktionen. Damit ist die Möglichkeit der Bestimmung der (eindimensionalen) optischen Übertragungsfunktion D(Wx) gegeben, die ja gerade die Fourier-Transformierte der Linienbildverwaschungsfunktion L'(X'-XL) ist. Aus (8) und (9) folgt durch Fourier-Transformation![]()
(10)![]()
![]()
(11)
wobei die expliziten Ausdrücke für die Fourier-Transformierten der rect- und der step-Funktion eingesetzt wurden.
Bei inkohärenter Abbildung lassen sich beliebige zwei- oder eindimensionale Objektintensitätsverteilungen B(XO) bzw. B(XL) durch Faltung mit G'(X'-XO) bzw. L'(X'-XL) in entsprechende Bildintensitätsverteilungen![]()
(12)
bzw.![]()
(13)
überführen. Durch Fourier-Transformation ergibt sich daraus der folgende einfache Zusammenhang zwischen den Fourier-Spektren k>b und b' der Objekt- bzw. Bildintensitätsverteilung![]()
(14a)
bzw.![]()
, (14b)
wobei D(W) und D(Wx) die zwei- bzw. eindimensionale optische Übertragungsfunktion bezeichnen.
Bei partiell kohärenter und kohärenter Abbildung sind weder diese Faltungen (und damit auch keine Spalt- und Kantenbildanalyse) noch die sukzessive Integration der Punktbildverwaschungsfunktion zu den anderen Intensitätsverwaschungsfunktionen möglich. Bei kohärenter Abbildung wird allein die Amplitudenverwaschungsfunktion u'R(X'-XO) wirksam, die mit der Objektamplitudenverteilung uo(XO) zur Bildamplitudenverteilung gefaltet wird, aus der sich wiederum die Bildintensitätsverteilung durch Bildung des Absolutquadrats ergibt:
Entsprechend lauten die kohärente Linien-, Spalt- bzw. Kantenbildverwaschungsfunktion
, (16)
(17)
bzw.
(18)
Anmerkung: In der deutschsprachigen Literatur werden an Stelle der Termini Punktbildverwaschungsfunktion, Linienbildverwaschungsfunktion, ... auch die Bezeichnungen Punktbildfunktion, Linienbildfunktion, ... benutzt.
Wenn Sie inhaltliche Anmerkungen zu diesem Artikel haben, können Sie die Redaktion per E-Mail informieren. Wir lesen Ihre Zuschrift, bitten jedoch um Verständnis, dass wir nicht jede beantworten können.