Lexikon der Optik: Verzeichnung
Verzeichnung, bei zentrierten optischen Systemen axialsymmetrische, durch Dezentrierungen, Inhomogenitäten mit schwachen Brechzahlgradienten, Schlieren und Oberflächenfehler unsymmetrisch verzerrte geometrisch-optische Aberration der Hauptstrahlen, die die Ähnlichkeit zwischen Objekt und Bild stört. Die V. wird durch eine im Seidelschen Bereich dem Quadrat der Objekthöhe y proportionale Variation Δβ' = β'-β'0~y2 des Abbildungsmaßstabes β' (β'0 paraxialer Abbildungsmaßstab) infolge von Pupillenaberration und Abweichung von der Airyschen Tangensbedingung verursacht. Die V. Δy'B=Δβ'y kann absolut oder relativ bezüglich der idealen Bildhöhe y'0=β'0y in Abhängigkeit von der Objekthöhe y oder vom objektseitigen Hauptstrahlwinkel σB graphisch dargestellt werden (Abb. 1). Nimmt der Abbildungsmaßstab mit y ab bzw. zu, entsteht tonnen- (Δy'B<0) bzw. kissenförmige (Δy'B>0) V., bei der ein Quadrat mit nach außen bzw. innen gewölbten Seiten abgebildet wird (Abb. 1). Die Art der V. hängt von der Lage der Blende im optischen System ab. Bei blendensymmetrischen Systemen ist für β'0=-1 die V. behoben.
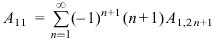
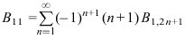
Zusätzliche physikalische V. tritt auf, wenn infolge von Koma der Hauptstrahldurchstoßpunkt in der Bildebene nicht mehr im Schwerpunkt der geometrisch-optischen Zerstreuungsfigur oder im Punkte maximaler Definitionshelligkeit liegt. Unter Zugrundelegung der Entwicklung der Wellenaberration nach den orthogonalen Zernikeschen Kreispolynomen wird die als wellenoptische V. bezeichnete Verschiebung ![]()
(n'sinσ' bildseitige numerische Apertur) des Intensitätsschwerpunktes der Punktbildverwaschungsfunktion gegenüber dem Hauptstrahldurchstoßpunkt durch die von den Nijboer-Zernike-KoeffizientenA1,2n+1 der Koma abhängigen Verzeichnungskoeffizienten ![]()


Wenn Sie inhaltliche Anmerkungen zu diesem Artikel haben, können Sie die Redaktion per E-Mail informieren. Wir lesen Ihre Zuschrift, bitten jedoch um Verständnis, dass wir nicht jede beantworten können.