Lexikon der Optik: Wellenaberration
Wellenaberration, Lichtwegdifferenz der nach dem Huygensschen Prinzip von den einzelnen Punkten einer Wellenfläche in der Pupille (Blende) ausgehenden Elementarwellen in einem Bezugspunkte und damit ein Maß für die durch die geometrisch-optischen Aberrationen bedingte Wellenflächendeformation (Abb. a), das für die Bewertung beugungsbegrenzter Systeme sowie für die Berechnung der Punktbildverwaschung und der Definitionshelligkeit benötigt wird. Die W. l' ist die längs des Radius einer um den Bezugspunkt konzentrischen Referenzkugel gemessene Lichtwegaberration (optischer Wegunterschied) gegenüber der realen Wellenfläche. Als Bezugspunkt kann der Gaußsche Bildpunkt, der Hauptstrahldurchstoßpunkt durch eine Auffangebene, aber auch jeder andere Punkt gewählt werden. Zweckmäßigerweise wählt man diesen Punkt so, daß sich die Referenzkugel möglichst optimal an die reale Wellenfläche anschmiegt. Man findet so die Auffangebene minimaler W. Dieser optimale Referenzpunkt, in dem sich die von der Wellenfläche ausgehenden Elementarwellen mit minimaler Phasendifferenz überlagern, ist der reale Bildpunkt. Bei durch Koma unsymmetrisch deformierter Wellenfläche gibt die laterale Verschiebung des optimalen Referenzpunktes die wellenoptische Verzeichnung an (Abb. b). Die Ableitungen der W. nach den Pupillenkoordinaten h ![]()
, ϕ ![]()
ergeben die geometrisch-optischen Queraberrationen
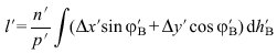
in der Referenzebene bezüglich des Referenzpunktes (n' Brechzahl, p' Pupillenschnittweite im Bildraum). Entsprechend erhält man durch Integration aus Δx' und Δy' die W.:![]()
.
Durch Entwicklung nach h ![]()
, ϕ ![]()
und der Objekthöhe y in der Form![]()
läßt sich die W. in die den einzelnen Aberrationen entsprechenden Anteile zerlegen. Dabei beschreiben ![]()
die sphärische Aberration, ![]()
die Koma, ![]()
den Astigmatismus und die Bildfeldwölbung und W20 bzw. W11 die axiale bzw. laterale Referenzpunktverschiebung durch Defokussierung bzw. wellenoptische Verzeichnung bei Koma. Für die wellenoptische Korrektion ist es vorteilhaft, die W. nach den Zernikeschen Kreispolynomen zu entwickeln.

Wellenaberration: Wellen- und Strahlaberration, bezogen auf den Gaußschen Bildpunkt O' (a) und auf den Referenzpunkt minimaler Wellenaberration ![]()
(b). GBE Gaußsche Bildebene, l' und l'min Wellenaberration bezüglich des Gaußschen Bildpunktes und des Referenzpunktes minimaler Wellenaberration, Δy'-Δy'B meridionale hauptstrahlbezogene geometrisch-optische Queraberration in der Gaußschen Bildebene, n' Brechzahl im Bildraum, b'opt Defokussierung auf die Auffangebene AE kleinster Wellenaberration, Δy'11 wellenoptische Verzeichnung, AP Austrittspupille, p' Pupillenschnittweite, h'B Pupillenhöhe.
Wenn Sie inhaltliche Anmerkungen zu diesem Artikel haben, können Sie die Redaktion per E-Mail informieren. Wir lesen Ihre Zuschrift, bitten jedoch um Verständnis, dass wir nicht jede beantworten können.