Lexikon der Physik: Alltagsphysik
Alltagsphysik
Andreas Müller, Kiel
1. Einleitung
Was ist Alltagsphysik?
Wie fliegen Vögel, wie schwimmen Fische? Warum rauscht ein Bach? Wie rieselt Sand? Warum kennen wir nicht das Wetter von übermorgen? Warum hat die Erde ein magnetisches Feld?
Wann klebt Reis? Wie schmiert Öl? Wie entsteht Rost, wie verhindert man ihn? Ein Kind kann in wenigen Minuten mehr solcher Fragen stellen, als ein Nobelpreisträger in seinem ganzem Leben beantworten kann.
Diese Probleme haben mehrere Charakteristika gemeinsam, deren erstes und wichtigstes ist, daß wir sie in unserem alltäglichen Leben wahrnehmen können, ohne dazu mehr zu brauchen als wache Sinne oder einfache Beobachtungsmittel wie Stoppuhr, Lupe und Kompaß. Die meisten solcher Fragestellungen haben außerdem gemeinsam, daß sie offensichtlich naturwissenschaftlichen Charakter besitzen, aber nicht in die Abgrenzungen der herkömmlichen Disziplinen passen: Bei dem Erdmagnetfeld etwa spielen (mindestens) Mechanik der Drehbewegung, Strömungslehre, Elektrodynamik und Physik der kondensierten Materie zusammen, und ein Verständnis der bis heute nicht vollständig erklärten Kleb- und Schmiervorgänge ist nur durch intensive Zusammenarbeit von Physikern, Chemikern und Ingenieuren der Verfahrenstechnik möglich. Der Nobelpreis 1991 an Pierre-Gilles de Gennes wurde unter anderem für seine Beiträge zu einem theoretischen Verständnis von Grenzflächenvorgängen vergeben, und er selbst äußert trotz seiner eigenen Erfolge sehr deutlich die Begrenztheit unseres Wissens auf diesem Gebiet [1]. Ein Bereich, in dem de Gennes zur theoretischen Klärung hat beitragen können, sind Benetzungsphänomene [2], z.B. die Kontaktwinkelhysterese: Ein Flüssigkeitstropfen auf einer festen Unterlage nimmt keineswegs immer den durch die Energiebetrachtung festgelegten Randwinkel θ0 der Young-Laplace-Gleichung an. Vielmehr kann der Randwinkel, wie sich bei dem Voranschreiten einer Regenspur am Fenster oder durch Neigen einer mit Wassertropfen besetzten Oberfläche leicht feststellen läßt, in einem weiten Bereich liegen:
wobei θ± der Randwinkel bei Vergrößerung bzw. Verkleinerung der benetzten Oberfläche ist und cosθ0 = σh/σg – fl mit der Haftspannung σh = σg – fe – σfl – fe (σ: Grenzflächenspannung; fe: feste, fl: flüssige, g: gasförmige Phase). Der Effekt ist im wesentlichen auf die Rauhigkeit und/oder Verunreinigungen der festen Oberfläche zurückzuführen und wird beschrieben durch die statistische Mechanik der Wechselwirkung auf Zufallsflächen mit geometrischen oder chemischen Defekten. Ein erstes interessantes Ergebnis ist, daß für kleine Störungen, also unter der Voraussetzung ![]()
≪ 1, chemisches und geometrisches Problem identisch werden, wenn man die Gleichsetzung
vornimmt, wobei Δσh die Schwankungen der Haftspannung um den Mittelwert aufgrund von Verunreinigungen und f(x) die Schwankungen des Oberflächenprofils aufgrund von Rauhigkeit bedeuten; x ist die Richtung senkrecht zur Kontaktlinie. Das Beispiel zeigt die Verbindung von einem zunächst banal erscheinenden Alltagsphänomen und anspruchsvoller Theorie, die auf dem Niveau des Gesamtwerkes von de Gennes schließlich sogar des Nobelpreises würdig war.
Neben diesen Zusammenhängen mit offenen Fragen in der aktuellen Forschungsarbeit bieten viele Phänomene der Alltagsphysik auch die Möglichkeit, sich fundamentalen Fragestellungen der Physik in einer sehr anschaulichen Weise zu nähern. Als Beispiel hierfür können die bereits erwähnten Grenzflächenvorgänge gelten: Wer hätte noch nicht gesehen, wie sich Öl auf einer Wasseroberfläche verbreitet, und wer hätte nicht zumindest gehört, daß man so die Wogen glätten kann? Benjamin Franklin hat bereits um 1770 beobachtet, wie groß bei einem gegebenen Volumen Olivenöl ("a teaspoon", V ≈ 2 cm3) die geglättete Wasseroberfläche ist ("half an acre", A ≈ 2000 m2), und Lord Rayleigh hat 100 Jahre später hieraus auf die Existenz und die Dimensionen von kleinsten Bausteine der Materie geschlossen: Der Quotient V/A liefert die Dicke des Ölfilmes, nämlich etwa 10 Å – wie man heute weiß, gerade die Größenordnung der Länge der Ölmoleküle! Hier versteht man, warum de Gennes die Alltagsphysik als Schule einer wissenschaftlichen Herangehensweise mit einfachsten Experimenten, einfachster Mathematik, aber viel Scharfsinn propagiert, einer Herangehensweise, der er auch nach obigem Musterbeispiel einen Namen gegeben hat: der "Franklinsche Geist" [1, S. 100ff]. Die andere Seite der Medaille, daß nämlich Alltagsphänomene (wie die Kontaktwinkelhysterese, s.o.) auch ausgesprochen anspruchsvolle Theorie erfordern können, sollte aber nicht vergessen werden.
Damit können wir nun die in der Überschrift dieses Abschnittes gestellte Frage beantworten: Alltägliche Beobachtungssituation und einfache Beobachtungsmittel sowie, zumindest als Teilaspekt des fraglichen Phänomens, ein ausgeprägt naturwissenschaftlicher (oft interdisziplinärer) Bezug machen die Definition des Begriffes "Alltagsphysik" aus, wie er in diesem Lexikon aufgefaßt wird.
Klassifizierung der Alltagsphysik
Anhand der obigen Beispiele wird auch ein weiteres Charakteristikum deutlich, das wesensmäßig zur Alltagsphysik gehört, nämlich die Schwierigkeit, den von ihr umfaßten Stoff auf sinnvolle Weise einzuteilen. Zum einen liegt dies in der schon genannten Interdisziplinarität von Alltagsphänomen begründet, zum andern aber darin, daß uns diese Phänomene in einer Vielzahl von Situationen begegnen, die mit wissenschaftlichen Begriffen und Einteilungen überhaupt inkompatibel sind. Unter welchem Stichwort in einem Physiklexikon sollte man etwa die Tatsache aufführen, daß Gläser häufig trübe werden, wenn sie viele Waschgänge in einer Geschirrspülmaschine hinter sich haben (die Glasoberfläche entwickelt unter der erodierenden Wirkung der Wasserstrahlen mikroskopische Rauhigkeit und verwandelt sich langsam in eine Mattscheibe)? Etwa unter dem Stichwort "Geschirrspülmaschine"?
Haupthilfsmittel zur Erschließung solcher Begriffe im Lexikon sind das Stichwortregister und Integrationsstichworte. Das Stichwortregister enthält in der Tat auch Begriffe wie "Geschirrspülmaschine" und verweist auf die eigentlichen Lexikonbeiträge, in diesem Falle "Küchenphänomene". Die Integrationsstichworte sind für die Alltagsphysik besonders wichtige Beiträge, deren Sinn sich aus folgender grober Einteilung der Phänomene der Alltagsphysik ergibt:
a) Zum einen kann man physikalische Alltagsphänomene vom Standpunkt wissenschaftlicher Teildisziplinen aus betrachten.
b) Zum anderen lassen sich Ordnungsschemata gemäß Phänomen- oder auch Erlebnisbereichen entwickeln. Für eine Teildisziplin mit Bezug zur Alltagsphysik können als Beispiele Strömungsmechanik oder etwa Physikalische Chemie der Grenzflächen genannt werden; Beispiele für Phänomenbereiche der Alltagsphysik sind Farben und Farberscheinungen oder Geräusche und Töne; Beispiele für Erlebensbereiche der Alltagsphysik sind Haushaltsphänomene und Sport.
c) Schließlich gibt es noch "Mischformen" physikalischer Alltagsphänomene, die man so auffassen kann, daß sich um bestimmte Phänomen- und Erlebnisbereiche herum (zum Teil recht neue) Teildisziplinen gebildet haben, wie etwa Geo- und Atmosphärenphysik oder Verkehrsphysik.
Vor allem die Klassifizierung nach Phänomen- und Erlebensbereichen erlaubt es, naturwissenschaftliche Alltagserscheinungen gut nach Art und Ort ihres Auftretens zu gruppieren und sinnvoll in einem Stichwort zu integrieren. Abschnitt 2 ist das Kernstück dieses Essays und bietet eine detaillierte Erschließung der "Alltagsphysik" im Sinne der genannten Einteilung, zusammen mit repräsentativen Beispielen von Alltagsphänomenen; für die meisten der dort besprochenen Stichworte gibt es eigene Lexikonartikel, in denen noch mehr Information zu dem Thema zu finden ist.
Weitere wichtige Themen der Alltagsphysik sind Formen und Figuren sowie Legenden und Wunder; auf sie wird im vorliegenden Beitrag nicht näher eingegangen, sie werden als Integrationsstichworte in eigenen Artikeln behandelt.
2. Erschließung des Stoffgebietes
2.1 Gruppierung nach Teildisziplinen
Strömungs- und Grenzflächenphänomene
Ein Beispiel für zwei große Bereiche der Alltagssphysik sind Strömungs- und Grenzflächenphänomene. Dies zeigen bereits die in der Einleitung erwähnten Beispiele, die entweder etwas mit Strömungen oder mit Grenzflächen zu tun haben. Strömungsphänomene mit großer Bedeutung für den Alltag sind insbesondere der Bernoulli-, Coanda- und Magnus-Effekt sowie die Turbulenz. Beispielsweise müssen die Kapitäne bei Parallelkurs zwischen zwei Schiffen (etwa beim Betanken oder Umladen) einen Mindestabstand wahren, damit es nicht wegen des Bernoulli-Effektes zu einer Kollision kommt. Ein anderes Beispiel sind die Blutstromgeräusche, die der Arzt bei der Blutdruckmessung mit Manschette abhört und die durch die turbulente Strömung in der verengten Arterie entstehen; die Reynolds-Zahl
(ν: kinematische Viskosität) ist proportional zum Radius r und zur Strömungsgeschwindigkeit ![]()
, letztere ist proportional zu r- 2 (solange der Blutstrom einigermaßen konstant bleibt), insgesamt steigt also die Reynolds-Zahl mit fallendem Radius und kann den für Blut kritischen Wert von ca. 103 überschreiten.
In den Bereich der Grenzflächenerscheinungen gehören etwa Kapillarität, Kolloidalität und Osmose, die wiederum eine Vielzahl von Alltagsbezügen aufweisen. So müssen z.B. Frühgeborene u.a. deswegen beatmet werden, weil sie eine lebensnotwendige Substanz noch nicht bilden können, die im Innern (also auf der Luftseite) der Lungenbläschen die große Oberflächenspannung der dort immer vorhandenen Wasserschicht auf ein mit der Kraft der Atemmuskulatur verträgliches Maß herabsetzt. Ein anderes Beispiel ist der hohe Binnendruck von "harten" Früchten und Wurzelknollen (z.B. Äpfel, Kartoffeln, Rüben) der durch Osmose entsteht und bis zu 50 bar betragen kann.
Biophysik
Was könnte alltäglicher sein als das Leben? Entsprechend gibt es zwischen Biophysik, Physiologie und medizinischer Physik einerseits und Alltagsphysik andererseits eine besonders starke Verbindung; Beispiele medizinischer Art wurden mit der Oberflächenspannung in den Lungenbläschen und dem turbulenten Umschlag bei den Herztönen bereits genannt. Als Beispiele biologisch-physiologischer Art bzw. Gruppen von solchen sind besonders hervorzuheben:
1. Die Bewegungsleistungen von Lebewesen: Bei Fischen etwa ist eine erhebliche Verringerung des Reibungswiderstandes auf die turbulenzdämpfende Wirkung des viskosen Fischschleimes bzw. der viskoelastischen Fischhaut zurückzuführen ( Abb. 1 ); man erinnere sich daran, daß Turbulenz einsetzt, wenn Re groß ist, diese ist aber obiger Gleichung klein, wenn die Viskosität groß ist.
Bemerkenswert ist auch, daß man durch Nachahmen dieser "Tricks" der Natur bei Bootskörpern eine Verringerung des Reibungswiderstand um Faktoren zwei und mehr erzielt hat; solche biologisch-technischen Analogieschlüsse sind Gegenstand der Bionik.
2. Energiebilanz und Stoffwechsel von Lebewesen: Für die Körpertemperatur von Säugetieren etwa ist die Verdunstung von Wasser ein wichtiger Faktor (Verdampfungswärme von Wasser: 2,3 · 106 J/kg, vgl. Grundumsatz des Menschen: 107 J/d); da Hunde keine Schweißdrüsen haben, ist bei ihnen das Schwitzen durch das Hecheln ersetzt.
3. Die Sinnesleistungen von Lebewesen: Zunächst ist hier interessant, daß Spitzenleistungen der Sinnesorgane bei vielen Lebewesen die physikalischen Grenzen weitgehend ausschöpfen. Die Hörschwelle des Menschen [3], [4], [5, S. 1049] von Imin ≈ 4 · 10 - 17 W/cm2 bei der Eigenfrequenz des Gehörgangs ν0 ≈ 3 kHz entspricht für eine Periode und dem Trommelfellquerschnitt von A ≈ 0,3 cm2 einer Schwellenleistung und -energie von
Letztere liegt also gerade bei dem thermischen Rauschen mit Eth ≈ 0,025 eV. Für andere Lebewesen (Pmin ≈ 10 - 18 eV z.B. bei der Katze) wird diskutiert, ob diese nicht (unter Einsatz raffinierter Detektionsverfahren) sogar die Grenze zum Quantenrauschen erreichen [6]. Ähnlich können manche Nachttiere Lichtsignale mit einigen wenigen Photonen wahrnehmen, und bei bestimmten Faltern können die Männchen ein einzelnes Molekül des vom Weibchen abgegebenen Sexuallockstoffes riechen. Darüber hinaus stellt man bei immer mehr Lebewesen, z.B. Brieftauben und Zugvögeln, einen magnetischen Sinn fest. Ähnliches gilt für den elektrischen Sinn [7]: Haie z.B. können Felder von wenigen nV/m und damit potentielle Beutetiere durch ihre Aktionspotentiale spüren – eine geradezu an Telepathie grenzende Wahrnehmungsfähigkeit!
4. Kommunikations- und Orientierungsleistungen von Lebewesen: Diese hängen natürlich eng mit den Sinnesleistungen zusammen, bieten aber noch andere physikalische Aspekte. Hier stellen Bienen ein sehr bekanntes Beispiel dar: Ihre Wahrnehmungsfähigkeit für polarisiertes Licht wird erst zusammen mit innerer Verrechnung u.a. der Flugzeit zu einer Möglichkeit, sich auf dem Weg zu Futterplätzen oder Bienenstock orientieren zu können; darüber hinaus haben Bienen bekanntlich auch einen Code (motorischer Art, der sog. "Schwänzeltanz"), um Positionsangaben von Futterplätzen kommunizieren zu können. Solche Kommunikationscodes gibt es auch bei Singvögeln (akustisch) und, zur Partnerfindung, bei Glühwürmchen (optisch, Biolumineszenz); sie können mit Mitteln der Informationstheorie untersucht werden und sind u.a. Gegenstand der Biokybernetik.
Nichtlineare Dynamik
Eine andere, recht junge Disziplin mit sehr intensiven und aktuellen Verbindungen zur Alltagsphysik ist die nichtlineare Dynamik, womit hier der (nicht fest etablierte) Überbegriff für den Gegenstandsbereich zwischen folgenden Forschungsgebieten gemeint ist:
1. Theorie des deterministischenChaos: Der bekannte Schmetterlingseffekt, dem zufolge der Flügelschlag eines Schmetterlings in Südamerika einen Wetterumschlag in Berlin verursachen kann, beantwortet wenigstens eine der eingangs gestellten Fragen: die nach der Unvorhersehbarkeit des Wetters.
Bleiben wir noch einen Moment in der freien Natur: Abb. 2 zeigt das steingewordene Ergebnis der sog. Bäcker-Abbildung, d.h. von wiederholtem Dehnen und Falten wie bei dem Kneten von Teig. Dies ist eine der Grundformen chaotischer Dynamik, die anfänglich nahe benachbarte Punkte in unvorhersehbarer Weise auseinandertreibt, und die Mischung zäher Flüssigkeiten wie Magma ist eine Anwendung.
2. Theorie kritischer Phänomene: Hierzu gehören insbesondere die Phasenübergänge mit ihren alltäglichen Erscheinungsformen wie Schmelzen/Gefrieren und Verdampfen/Kondensieren. Weitere Beispiele sind die Koagulation, etwa das Stocken von Eiweiß bei einer gewissen Grenztemperatur – deswegen darf Fieber auch nicht über 42 °C steigen! – und die kritische Opaleszenz, d.h. der Übergang von durchsichtig nach trübe (etwa in einer Wachsschmelze bei einer bestimmten Temperatur).
3. Synergetik: Viele bekannte Ergebnisse betreffen hier die Musterbildung in unserer alltäglichen Umgebung, beispielsweise die Entstehung von Wolkenstraßen, die sich als walzenförmige Konvektionszellen, wie sie beispielsweise im Bénard-System (Bénardsche Zelle) auftreten, verstehen lassen. Für ein vollständiges Verständnis müssen allerdings noch weitere Faktoren berücksichtigt werden, denn die Zellen im Laborexperiment sind etwa von quadratischem Querschnitt, während sie in der Atmosphäre um einen Faktor bis 50 gestaucht sind [9]. Ein interessanter Ansatz, den u.a. H. Haken [8] in den letzten Jahren verfolgt hat, besteht darin, von Prozessen zur Bildung von Mustern etwas über die Erkennung von Mustern bei der Wahrnehmung zu lernen (und ggf. umgekehrt). In der Tat führt der Ansatz "Mustererkennung ist Musterbildung" zu fruchtbaren Analogien, z.B. zwischen dem aus der Wahrnehmung bekannten Mechanismus der lateralen Inhibition (s.u.) und dem Gierer-Meinhardt-Modell für die Musterbildung bei Muscheln und anderen Lebewesen. Das beiden gemeinsame Prinzip ist der Antagonismus zwischen einer kurzreichweitigen Anregung und einer langreichweitigen Hemmung, wie er z.B. auch zu der Entstehung einer Düne führt: Im Windschatten eines kleinen Hindernisses kommt es zur Ablagerung von Sand (kurzreichweitige Anregung), was in größerer Entfernung davon zunächst zu einer Verarmung des Sandgehaltes in der Luftströmung führt (langreichweitige Hemmung); erst wenn vom Boden wieder ausreichend Sand mitgerissen wurde, kann es zur Bildung einer neuen Düne kommen.
Mathematik
Schon durch die vorangehenden Beispiele erscheint es vielleicht nicht mehr so überraschend, daß es auch interessante Verbindungen zwischen Alltagsphysik und Mathematik gibt. Höchst alltäglich ist z.B. die Normalverteilung. Man findet sie durch einfaches Zählen für die Größenverteilungen von Lebewesen, Werkstücken und Meßergebnissen, und bei der immensen Bedeutung dieser Verteilung sollte der Grund für deren Allgegenwart – der zentrale Grenzwertsatz der Statistik – jedem Physiker geläufig sein. Zahlentheorie, Katastrophentheorie und Knotentheorie sind weitere Beispiele mathematischer Teildisziplinen mit alltagsphysikalischen Anwendungen.
Daneben gibt es noch eine ganz andere Weise, wie auf der Ebene von Alltagsbeobachtungen erhellende Verbindungen zwischen Mathematik und Physik hergestellt werden können, nämlich zur Veranschaulichung von abstrakten Sachverhalten per Analogie zu einfachen Phänomenen. Abb. 3 zeigt, wie Sie z.B. die Nichtkommutativität von Operatoren konkret nachvollziehen können, und ein weiteres Beispiel betrifft die geometrischen Phasen: Lassen Sie Ihren Arm frei hängen und richten Sie den Daumen nach vorne. Führen sie dann mit dem Arm folgende Abfolge von Bewegungen durch, ohne die Hand dabei zu verdrehen: erst seitlich bis auf Schulterhöhe heben; dann auf der gleichen Höhe bis vor die Augen bewegen; schließlich zurück in die Ausgangsposition senken. Schauen Sie nun auf Ihren Daumen: er deutet jetzt zum Bein, während er doch anfangs nach vorne wies. Der Daumen und mit ihm die Hand haben sich also um 90° gedreht, obwohl Sie zu jedem Zeitpunkt darauf geachtet hatten, daß sie sich nicht drehen. Die festgestellte Drehung ist gerade so groß wie der von dem Weg ihrer Hand umschlossene Raumwinkel; der Effekt beruht auf der Abweichung der Winkelsumme von Dreiecken auf der Kugel von 180°, und das gefundene Ergebnis läßt sich auf allgemeine Wege auf der Kugel verallgemeinern. Die geometrischen Phasen der Quantenphysik sind genau in demselben Sinne und aus demselben Grunde "geometrisch" wie der eben besprochene Winkel auf der Kugeloberfläche; für Zwei-Zustands-Systeme läßt sich dies direkt und im allgemeinen Fall per Analogieschluß zeigen.
2.2 Gruppierung nach Phänomenbereichen
Optische Erscheinungen
Buchstäblich allgegenwärtig sind die durch unsere Sinne wahrgenommenen Phänomene, und Farben und Farberscheinungen spielen hier, im Hinblick auf die Tatsache, daß ein großer Teil aller Informationen auf optischem Weg ins Gehirn gelangen, eine besondere Rolle. Wer hätte z.B. noch nicht beobachtet, daß viele poröse Materialien wie Erde, Holz, Textilien dunkler erscheinen, wenn sie feucht sind? Wenn die Zwischenräume der Poren mit Wasser gefüllt sind, wird das Licht weniger gestreut, denn die Brechzahl von Wasser ist höher als diejenige von Luft und liegt daher näher bei der Brechzahl der festen Grenzflächen; kleinere Unterschiede in der Brechzahl aber bedeuten weniger Streuung, das Licht dringt also tiefer in das Material ein. Größere Eindringtiefe bedingt nun wiederum gemäß dem Lambert-Beerschen Gesetz exponentiell größere Absorptionsverluste, d.h. das Material erscheint dunkler. Ein anderes sehr schönes Beispiel für eine optische Phänomengruppe liefern die Interferenzfarben, die eine gemeinsame Grundlage für die schillernde Vielfalt der Farberscheinungen von Ölfilmen, Seifenblasen, Insektenpanzern, Schmetterlingsflügeln, Vogelfedern, Perlmutt und Opalen bilden.
Eine weitere Gruppe von besonders faszinierenden optischen Alltagsphänomenen sind optische Täuschungen.
Abb. 4 a zeigt die Machschen Flecken, dunkle Stellen in den Kreuzungen der hellen Steifen, die man wie folgt erklärt: Fällt Licht auf einen Punkt der Netzhaut, so umgibt den kurzreichweitigen Bereich der Anregung ein langreichweitiger Bereich der Hemmung ( Abb. 4 b ); in den Kreuzungen von zwei weißen Streifen gibt es doppelt so viele hemmende Nachbarzellen wie in einem einzelnen Streifen, und deswegen erscheinen diese Stellen dunkler. Dieser Mechanismus, das Prinzip der lateralen Inhibition, hat als fundamentale Grundform von Prozessen in der Synergetik (s.o.) sehr große Bedeutung gewonnen [4].
Akustische Erscheinungen
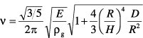
Eine akustische Phänomengruppe, die im Alltag häufig mehr als lieb präsent ist, ist die der Geräusche und Töne. Ein eher angenehmer Fall ist hier das "Singen" von Gläsern ( Abb. 5 ). Der Anregungsmechanismus ist der von Reibungstönen, d.h. durch den Unterschied von Haft- und Gleitreibung verursachte Kippschwingungen.
Die Grundfrequenz ist für ein zylindrisches leeres Glas gegeben durch

wobei der erste Wurzelfaktor die Abhängigkeit von den Materialeigenschaften (Elastizitätsmodul E und Dichte ρg) enthält, und die anderen Funktionen die Abhängigkeit von geometrischen Eigenschaften (Radius R, Höhe H und Wanddicke D des Glases); dabei rührt der Faktor D/R2 von der horizontalen Verbiegung her, und die zweite Wurzel stellt einen Korrekturfaktor für die zusätzliche vertikale Verbiegung dar. Für ein mit der Flüssigkeit der Dichte ρf bis zur Höhe H ′ gefülltes Glas ist ν durch eine näherungsweise zu 
proportionale "Füllkorrektur" zu dividieren, die im wesentlichen als "Trägheitskorrektur" durch die zusätzliche Masse der Flüssigkeit zu verstehen ist; sie besagt, daß ein Glas um so tiefer klingt, je höher es gefüllt ist.
Ein weniger angenehmer Fall ist das "Singen" von Reifen, wie es an gelegentlich im Straßenbelag eingefrästen periodischen Querrillen auftritt, wobei die Frequenz durch v = ![]()
/d gegeben ist ( ![]()
: Fahrzeuggeschwindigkeit, d: Rillenabstand); damit nicht der Reifen schon ohne Querrillen "singt", sind die Profilstollen nicht periodisch angeordnet.
Interessanterweise gibt es auch akustische Täuschungen. Sie sind zum Teil sehr störender, ja qualvoller Art, wie das bekannte "Klingeln" in den Ohren. Dies ist nicht immer nur ein Scheinsignal (z.B. auf eine Überlastung des Ohres zurückzuführen), sondern es handelt sich oft um ein reales Signal mit einem außerhalb des Ohres meßbaren Schalldruckpegel. Solche Eigengeräusche des Ohres sind eine Folge der beim Hörvorgang ablaufenden aktiven Verstärkung des Schallsignals [4].
Wasserwellen
Ein anderer Bereich, wo Wellenphänomene im Alltag stark in Erscheinung treten, sind Wasserwellen. Beispielsweise läßt sich hinter einem überströmten Stauwehr oder hinter einem Felsen in einem Bach oft eine – häufig sehr ausgeprägte und stark schäumende – stehende Welle beobachten. Diese wird als Wassersprung bezeichnet, und sie ist darauf zurückzuführen, daß in einer Querschnittsverengung die Strömungsgeschwindigkeit ![]()
so stark zunehmen kann, daß sie die Wellenausbreitungsgeschwindigkeit c im Wasser übersteigt; stromabwärts von der Verengung muß es also eine Stelle geben, wo die beiden Geschwindigkeiten gerade übereinstimmen. Da sich an dieser Stelle Störungen mit Strömungsgeschwindigkeit gegen die Strömung und also mit Geschwindigkeit Null gegen das Ufer bewegen, addieren sich deren Wirkungen zu der schäumenden, stehenden Welle des Wassersprungs. Entscheidend ist, wie bei vielen Strömungsphänomenen, auch hier eine dimensionslose Kennzahl, und zwar die Froude-ZahlFr = ![]()
/c. Ein weiteres physikalisch interessantes Beispiel sind die Tsunamis, durch Seebeben oder Vulkanausbrüche ausgelöste turmhohe Seewellen, deren Reichweite von vielen hundert Kilometern durch ihren Charakter als Solitonen erklärlich wird, d.h. durch die Kompensation des Zerfließens des Wellenpaketes durch Nichtlinearitäten des Ausbreitungsprozesses.
Bruchmechanik
In der Bruchmechanik beschäftigt man sich mit einer Form von Zerstörung, die leider nur zu alltäglich ist, aber physikalisch interessante Hintergründe hat, nämlich mit der Bildung von Rissen und Brüchen in festen Materialien. Ein Beispiel für eine sehr elementare Betrachtung eines bruchmechanischen Phänomens ist, daß aus einer einfachen Energiebetrachtung die Existenz einer kritischen Länge folgt, der Griffith-Länge lG ˜ σB/εS (σB, Brucharbeit pro Fläche in J/m2, εS mittlere Spannungsenergie pro Volumen in J/m3), ab der für das Wachstum von Rissen Selbstverstärkung einsetzt; ein anderes Beispiel ist die fraktale Struktur von Bruchkonturen.
2.3 Gruppierung nach Erlebensbereichen
Haushaltsphänome
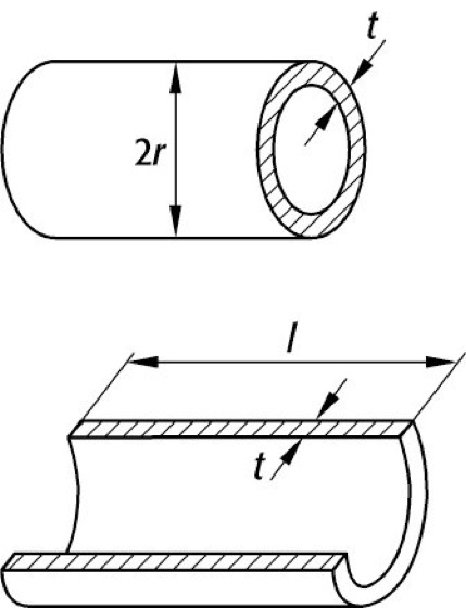
Zwei Bereiche alltäglichen Erlebens, in denen der aufmerksame Blick viel Physik entdecken kann, sind die der Haushaltsphänomene (einschließlich Haushaltstechnik), etwa Lichtquellen und der Küchenphänomene (einschließlich Nahrungsmittel). Warum beispielsweise platzen Würstchen beim Erhitzen immer in Längsrichtung? Weil die Wandspannung in einem unter den Druck p gesetzten Rohr (Radius r, Länge l, Wanddicke t) in axialer Richtung rp/2t, in tangentialer Richtung aber doppelt so groß ist; dies folgt, wenn man die durch den Druck auf einen radiale bzw. axiale Querschnittsfläche erzeugte Kraft (πr2p bzw. 2rlp) durch die Wandflächen in diesen Querschnittsebenen (2πrt bzw. 2lt) teilt ( Abb. 6 ).
Daß wir ganz allgemein Küche und Nahrung als einen Teilbereich besonders intensiven Erlebens empfinden, hat neben dem offensichtlichen biologischen auch einen physikalischen Grund: Der Küchenherd sorgt gewissermaßen für eine exponentielle Intensivierung, da viele Reaktionsraten dem Arrhenius-Gesetz gehorchen und proportional zu einem Faktor ![]()
(T: Temperatur, Ea: Aktivierungsenergie, kB: Boltzmann-Konstante) sind, so daß die Anzahl und Ausbeute der relevanten Prozesse sehr stark mit der Temperatur steigt.
Spiel und Sport
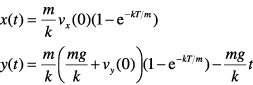
Zwei weitere Erlebensbereiche mit viel Bezug zur Physik sind Spielzeug und Sport. Das Mariottesche Stoßpendel (vulgo "Klick-Klack-Maschine") beispielsweise dient regelmäßig zur Illustration der Energie- und Impulserhaltung; weniger bekannt ist, daß sich durch die unvermeidlichen Dissipationsverluste mit der Zeit eine Situation einstellt, in der alle Kugeln synchron schwingen und keine Stöße mehr stattfinden. Der Grund hierfür läßt sich wie folgt einsehen: Die zeitliche Entwicklung eines Systems unter Stößen läßt sich durch eine lineare Abbildung beschreiben, für die es, analog zu Schwingungen, Normalmoden gibt; sind die Stöße dissipativ, so hält die Mode mit der kleinsten Dämpfung am längsten an, und dies ist für identische Teilchen gerade die synchrone Bewegung, weil es dabei keine Stöße und damit keine Dissipation durch solche gibt (die Reibung an der Luft sowie in der Aufhängung bleibt natürlich). Ein anderes Beispiel im Zwischenbereich zwischen Spiel und Sport ist der Magnus-Effekt, der sowohl für die Frisbee-Scheibe wie für die "geschnittenen" Bälle beim Fußball, Golf und Tennis/Tischtennis sehr wichtig ist. Dasselbe gilt für den Luftwiderstand; Abb. 7 zeigt beispielsweise die Flugbahn eines Golfballes unter dem Einfluß der Schwerkraft mg und Stokes'scher Reibung k ![]()
, wofür die Lösung der Newtonschen Gleichungen

lautet (m: Masse, ![]()
: Geschwindigkeit des Balles, k: Reibungskonstante, g: Erdbeschleunigung). Das Ergebnis erinnert sehr an die mittelalterliche Darstellung von ballistischen Kurven ( Abb. 8 ).
2.4 Mischformen
Mehrere Phänomen- bzw. Erlebensbereiche umfassen so viele und so wichtige Verbindungen zur Physik, daß sie zugleich Gegenstand eigenständiger wissenschaftlicher Teildisziplinen sind. Ein klassisches Gebiet dieser Art ist die Geo- und Atmosphärenphysik. Als geophysikalisches Alltagsfaktum ist beispielsweise das Baer-Babinetsche Gesetz zu nennen, wonach bei den Flüssen der Nordhalbkugel – bei sonst symmetrischen geographischen Bedingungen – das rechte Ufer stärker unterspült, daher also steiler ist als das linke (auf der Südhalbkugel sind die Rollen vertauscht): Durch die Coriolis-Kraft bekommt die Strömung eine zur Strömungsgeschwindigkeit ![]()
proportionale, nach rechts gerichtete Beschleunigungskomponente, und da ![]()
wegen der Bodenreibung mit zunehmender Wassertiefe abnimmt, setzt eine quer zur Strömung gerichtete Zirkulationsströmung ein, bei der das linke Ufer ("Gleithang") mit langsamen Wasser aus Bodennähe und das rechte ("Prallhang") mit schnellerem Wasser aus höheren Schichten angespült und also stärker erodiert wird Abb. 9 ).
Als stark anwendungsorientierte Gebiete sind hier die Bauphysik, die Verkehrsphysik sowie Materialwissenschaft und Verfahrenstechnik zu nennen. Ein Beispiel verkehrsphysikalischer Art wurde mit den "singenden" Reifen oben schon genannt. Materialwissenschaftlich hochinteressante Alltagsmaterialien stellen z.B. Holz und Knochen dar. Sie sind Beispiele "intelligenter" Werkstoffe, die ihr Gefüge in Abhängigkeit von der Belastung auf größere Stabilität hin selbsttätig anpassen können. Die heutige Technik kann hier das Vorbild Natur nur sehr unvollkommen nachahmen; will man z.B. bei Druck- oder Biegebelastung einer Säule einen der Faktoren Höhe, Gewicht oder Tragkraft der Säule optimieren, so muß man einen möglichst großen Wert der Kenngröße E/ρ2 (E: Elastizitäsmodul, ρ: Dichte) haben, bei der Holz nur noch von Diamant übertroffen wird.
3. Weiterführende Überlegungen, Ausblick auf offene Fragen
Anhand der vorangehenden Beispiele wird deutlich, daß sich physikalische Alltagsphänomene in zwei Stufen präsentieren, sozusagen auf den ersten oder auf den zweiten Blick. Daß das Singen von Weingläsern etwas mit Physik, genauer Akustik zu tun hat, ist offensichtlich – ein Fall von Alltagsphysik auf den ersten Blick. Zunächst sehr fernliegend erscheint aber der Gedanke, daß das Dunkel der Nacht ein physikalisches erklärungsbedürftiges Phänomen darstellt (Olbers'sches Paradoxon).
Daß sich dahinter – ca. 15 Mrd. Lichtjahre "dahinter" – die endliche Ausdehnung und das endliche Alter des Kosmos verbergen, empfinden wir als höchst faszinierend und staunenswert – ein Fall von Alltagsphysik auf den zweiten Blick.
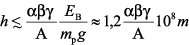
Es ist eine eigene Fähigkeit, das Besondere und Hinterfragenswerte im Alltäglichen sehen und vom scheinbar Banalen auf das Fundamentale schließen zu können. V. Weisskopf hat durch eine ihm eigene Art von Größenordnungsargumenten gezeigt [10], wie die Größe von Wassertropfen und Bergen auf den Wert des Planckschen Wirkungsquantums zurückgeführt werden kann: die Schwereenergie pro Molekül ES = Ampgh (A Massenzahl, mp Protonenmasse) muß kleiner sein als die Energie pro Molekül, die nötig ist, um in einem Stoff plastisches Fließen zu hervorzurufen. Diese Energie ist ein Bruchteil α der Schmelzwärme, die Schmelzwärme wiederum ein Bruchteil β der mittleren Bindungsenergie pro Elektron und diese schließlich ist ein Bruchteil γ der Bohrschen Energie EB ≈ 13,6 eV, so daß sich also insgesamt ergibt: ES![]()
αβγEB oder
Hier ist der zweite Bruch ein Quotient aus einer Energie und einer Kraft, hat also in der Tat die Dimension einer Länge, und das Wirkungsquantum steckt in ![]()
. Für Quarz (SiO2) lauten die Tabellenwerte für Schmelz- und Bindungsenergie 0,15 eV bzw. 6,5 eV, d.h. β = 0,023 und γ = 0,48; nimmt man α = 1, so ergibt sich als Maximalhöhe ca. 20 km, was von der Größenordnung her gut mit der Höhe des Mt. Everest übereinstimmt. Übrigens lassen sich die Werte von β und γ selbst wieder aus einfachen Abschätzungen gewinnen, und der Wert von α birgt schon eine erste Korrektur der Höhe nach unten, denn für plastisches Fließen muß die Kristallstruktur weniger aufgelöst werden als für vollständiges Schmelzen, also α 1. Die Maximalgröße von Wassertropfen ergibt sich aus einem ähnlichen Vergleich der Oberflächenenergie mit der Schwereenergie zu ca. 0,5 cm. Faszinierend ist, daß darüber hinaus auch die schiere Existenz und Stabilität der Materie im Großen ein buchstäblich mit den Händen zu greifendes, makroskopisches Quantenphänomen darstellt, denn ohne Pauliprinzip würde sie mit zunehmender Teilchenzahl unter Aussendung gewaltiger Energiemengen implodieren [11]. Dies ist ein Beispiel für die zunächst sehr unvermutete Verbindung zwischen Alltagsphänomenen und Quantenphysik. Ein weiteres Beispiel hierfür ist das Leuchten der Sonne, denn ohne Tunneleffekt gäbe es in Sternen keine Kernfusion. Eng verwandt mit den Weisskopf-Argumenten sind die Fermi-Fragen, beispielsweise: Ist es möglich, daß das Blut eines Erwachsenen noch Atome seiner Mutter enthält? Wenn ja, wieviele? Betrachten wir z.B. Natrium, wovon ein Mensch – ganz grob – 100 g insgesamt enthält und 3 g täglich benötigt (laut Ernährungstabellen). Es werden demnach pro Tag ca. 3% verstoffwechselt, entsprechend einer Halbwertszeit von ca. 23 Tagen. Also gibt es von den anfänglich rund 2,6 · 1024 Natrium- Atomen nach fünf Jahren kein einziges mehr. Ein Erwachsener hat nach wenigen Jahren alle Natriumatome in seinem Blut (und dem damit im Gleichgewicht stehenden Gewebe) restlos durch Stoffwechsel ausgetauscht. Anders verhält es sich mit dem wesentlich fester gebundenen Natrium und auch Kalzium im Skelett; für letzteres hat G.v. Hevesy mit radioaktiven Markierungmethoden (für die er den Nobelpreis erhalten hat) bei Mäusen nachgewiesen, daß es über mehrere Generationen weitervererbt wird. Ähnliches gilt auch für den Menschen, d.h. ein Mensch enthält Kalziumatome nicht nur der Mutter, sondern mindestens der Urgroßmutter.
Weisskopf-Argumente, Fermi-Fragen, oder, um mit de Gennes zu sprechen, der Franklinsche Geist, stehen zunächst für die immense fachdidaktische Bedeutung von Alltagsphänomenen, die z.B. in den Beispielsammlungen [12], Lehrerzeitschriften [13] und dem Lehrbuch [5] in hervorragender Weise zum Tragen kommt. Neben der enormen Motivationswirkung durch den starken Bezug zu Alltag und Anwendung zeichnet sich diese Art von Physik durch einen ausgeprägten Gebrauch von Analogie-, Dimensions- und Größenordnungsdenken aus: Analogien, die zwischen dem Alltäglichen, Anschaulichen und dem Abstrakten eine Brücke bilden wie in Abb. 4 , oder die erkenntnisleitende Denkform ganzer Teildisziplinen wie der Bionik sind; Dimensionsbetrachtungen, die z.B. in dem völlig unübersichtlichen Fahrwasser der Strömungsmechanik ein geistiger Rettungsanker sind; und Größenordnungsdenken als A und O jeden Experimentes und jeder Theorie. Dies bedeutet dann aber auch, daß die Physik gerade in ihren alltäglichen Anwendungen eine allgemeine Schule des Denkens bietet, nämlich für einen durch aufmerksame Beobachtung und – einfache! – Mathematik erheblich geschärften gesunden Menschenverstand.
Schließlich bietet die Alltagsphysik nicht nur für die Lehre, sondern auch für die Forschung ein heute noch längst nicht erschöpftes Potential, und hier schließt sich der Kreis zu den Eingangsfragen: Es ist bemerkenswert, daß gerade eine der Erscheinungen, die am Anfang der wissenschaftlichen Beschäftigung mit elektrischen Erscheinungen stand, nämlich die Reibungselektrizität, auch heute noch sehr unvollkommen verstanden ist. Es ist außerdem bemerkenswert, daß bei einer ebenfalls allgegenwärtigen Erscheinung, der Turbulenz, erst seit jüngster Zeit von einem auch nur annähernden Verständnis die Rede sein darf [14]. Und es ist überraschend und erfrischend, daß ein afrikanischer Schuljunge beim Eismachen eine Beobachtung machen konnte, die zwar auch Aristoteles schon bekannt war, die die Wissenschaft aber bis in heutige Zeit nicht geklärt, wenn nicht überhaupt abgestritten hat: der Mpemba-Effekt, d.h. die Tatsache, daß heißes Wasser unter Umständen schneller gefriert als kaltes. Dabei spielen mindestens ein halbes Dutzend durchaus nichttrivialer Faktoren eine Rolle, von der Löslichkeit von Luft bist zu der Unterkühlung des Wassers [15]. Der Effekt erschöpft sich also keineswegs in der Trivialität, daß von heißem Wasser mehr verdunstet und also weniger gefrieren muß, und Mpemba hat diesen und einen weiteren naheliegenden Grund durch Experimente ausgeschlossen, die er trotz des Spottes seines Physiklehrers und seiner Mitschüler durchführte. Er zeigte dabei jene wertvolle Fähigkeit, im Dunkel der Nacht ebenso wie im Leuchten der Sterne etwas Hinterfragenswertes zu erkennen und die eigenen Fragen auch ernst zu nehmen, die Fähigkeit, die P.-G. de Gennes den Weg von der Alltagsphysik bis zum Nobelpreis führte und die er so umschreibt: "Staunen können über einen Wassertropfen".
Literatur
[1] P.G. de Gennes, J. Badoz: Les Objets Fragiles, Librairie Plon, Paris 1994.
[2] P.G. de Gennes, Rev. Mod. Phys. 57 (1985) 827.
[3] H.-P. Zenner, A. Gitter, Physik in unserer Zeit18 (1987) 97.
[4] M. Euler, Biologie in unserer Zeit26 (1996) 163 u. 304.
[5] H. Vogel: Gerthsen Physik, Springer, Heidelberg 1995.
[6] W. Bialek, A. Schweitzer, Phys. Rev. Lett. 54 (1985) 725
[7] J. Bastian, Phys. Today (Feb. 1994) 30.
[8] H. Haken, M. Stadler (Hrsg.): Synergetics of Cognition, Springer, Berlin-Heidelberg-New York 1989.
[9] M.G. Velarde, C. Normand, Spektrum der Wissenschaft (Sept. 1980) 118.
[10] V. Weisskopf, Science187 (1975) 605; Am. J. Phys. 53 (1985) 19 und 54 (1986) 110.
[11] W. Thirring, Die Naturwissenschaften Bd. 73 (1986) 605-613.
[12] J. Walker: The Flying Circus of Physics, John Wiley & Sons, New York 1977, und die Beiträge Experiment des Monats in Spektrum der Wissenschaft; C.P. Jargocki: Eigentlich klar – Oder? Selbstverständliches physikalisch erklärt, Vieweg, Braunschweig 1986; I.K. Kikoin (Hrsg.): Physik: Experimentieren als Spielerei, Spektrum, Heidelberg 1991.
[13] W. Kuhn (Hrsg.): Praxis der Naturwissenschaften: Physik, Aulis-Verlag/Deubner und Co., Köln.
[14] S. Großmann, Phys. Bl. 51 (1995) 641.
[15] D. Auerbach, Am. J. Phys. 63 (1995) 882 und Spektrum der Wissenschaft (Apr. 1996) 15.










Wenn Sie inhaltliche Anmerkungen zu diesem Artikel haben, können Sie die Redaktion per E-Mail informieren. Wir lesen Ihre Zuschrift, bitten jedoch um Verständnis, dass wir nicht jede beantworten können.