Lexikon der Physik: Analytische Mechanik
Analytische Mechanik
Thomas Otto, Genf, und Joachim Schüller, Dossenheim
Die Mechanik ist eine zentrale Disziplin der Physik. Sie zeichnet sich wie kaum ein anderer Zweig durch einen großen Reichtum an Formulierungen und Prinzipien aus und hat zahlreiche Verbindungen zu anderen Gebieten der Physik und der Technik. Für den Physiker teilt sich die nichtrelativistische Mechanik in die "Mechanik der Massenpunkte und starren Körper" und in die "Mechanik der Kontinua". Für den Maschinenbauer ist Mechanik "Technische Mechanik", die sich mit Elastostatik, Dynamik und vor allem mit der Statik beschäftigt.
Die analytische Mechanik ist eine theoretische Disziplin und behandelt die nichtrelativistische Mechanik der Massenpunkte und starren Körper in mathematischer Sprache. Als ihre Schöpfer dürfen in einer ersten Phase Galilei, Huygens und insbesondere Newton gelten. Die Weiterentwicklung des Formalismus im Sinne der eigentlichen Formulierung der analytischen Mechanik wurde hauptsächlich von D. Bernoulli, Euler, de Maupertius, d'Alembert, Lagrange, Gauß, Hamilton und Jacobi betrieben.
Die drei Teilgebiete Newtonsche, Lagrangesche und Hamiltonsche Mechanik basieren auf denselben wenigen Axiomen und behandeln dieselbe Physik, arbeiten aber mit mathematisch völlig verschiedenen Formulierungen und haben daher verschiedene Stärken und Schwächen, in denen sich auch die historische Fortschreitung von der Newtonschen Mechanik über die Lagrangesche bis zur Hamiltonschen Formulierung und dem Konzept der kanonischen Transformationen widerspiegelt. Ferner unterscheiden sie sich in ihrer Zielsetzung und in ihrer Bedeutung für die Physik. Historisch betrachtet findet die lineare analytische Mechanik einen gewissen Endpunkt mit dem Noether-Theorem von 1918, das einen sehr allgemeinen Zusammenhang zwischen Symmetrien und Erhaltungsgrößen herstellt.
Die nichtlineare Dynamik erweitert das Gebäude der Mechanik um die Untersuchung chaotischer Bewegungsformen. Dieser Zweig der Mechanik hat in kurzer Zeit eine solche Bedeutung entwickelt, daß er allgemein als eigenständiges Teilgebiet der Physik betrachtet wird. Die Entwicklung der linearen analytischen Mechanik kann demgegenüber heute als abgschlossen gelten.
Die Newtonsche Mechanik
Die Newtonsche Mechanik beruht im wesentlichen auf den drei Newtonschen Axiomen, die Newton im Jahre 1687 in seinen "Philosophiae naturalis principia mathematica" veröffentlichte. Die zentrale Bewegungsgleichung der Newtonschen Mechanik ist das zweite Newtonsche Axiom ![]()
, eine Differentialgleichung, die den Zusammenhang zwischen der Kraft F auf einen Massenpunkt m und der Beschleunigung ![]()
des Massenpunktes beschreibt. Es gilt in Inertialsystemen, deren Existenz durch das erste Newtonsche Axiom postuliert wird, und nur für konstante Massen m (wie überall in diesem Beitrag). Die Lösung r(t) der Bewegungsgleichung beschreibt die Bahn des Massenpunktes. Die konsequente Anwendung seiner Axiome erlaubte Newton, die Keplerschen Gesetze aus dem Newtonschen Gravitationsgesetz abzuleiten sowie den freien Fall mathematisch zu beschreiben. Die überragende Bedeutung von Newtons Werk liegt darin, daß seine Axiome zum ersten Mal in der Geschichte der Naturwissenschaft ein mathematisches Fundament lieferten, mit dessen Hilfe Beobachtungen und Experimente rechnerisch nachzuvollziehen waren.
Ein wesentlicher Vorteil der Newtonschen Mechanik aus heutiger Sicht ist ihre Anschaulichkeit, die sich beispielsweise in der elementaren Verwendung der Begriffe Kraft und Drehmoment ausdrückt, die für Maschinenbauer von zentraler Bedeutung sind; die Lagrangesche und die Hamiltonsche Mechanik sind, daran gemessen, wesentlich abstrakter formuliert. Dem stehen zwei gravierende Nachteile der Newtonschen Mechanik gegenüber:
-Zur Beschreibung der Bewegung von Systemen mit Zwangsbedingungen müssen die Zwangskräfte mühsam berechnet werden, obwohl sie selbst meist nicht von Interesse sind. Die Aufstellung der Bewegungsgleichungen ist daher oft schwierig.
-Beim Übergang von kartesischen Koordinaten auf krummlinige Koordinaten und von inertialen auf beschleunigte Bezugssysteme – diese Übergänge werden durch Punkttransformationen der Koordinaten ![]()
beschrieben – sind die Bewegungsgleichungen ![]()
nicht forminvariant; vielmehr müssen die Beschleunigungen auf die neuen Koordinaten Xi umgerechnet werden, so daß die Gleichungen eine andere Gestalt annehmen
Die Lagrangesche Mechanik
Die Epoche nach Newton, die den Grundlagen der Mechanik nichts grundsätzlich Neues hinzufügte, war durch das Bemühen charakterisiert, einerseits die mathematische Seite der Theorie zu durchdringen, um die Schwierigkeiten der Newtonschen Mechanik umgehen zu können, und andererseits Prinzipien aufzufinden, die als der Mechanik übergeordnet angesehen werden konnten, um so einen geschlossenen, auf wenigen allgemeinen Axiomen beruhenden Formalismus entwickeln zu können.
In der gegenüber der Newtonschen Formulierung stärker abstrahierten Lagrangeschen Mechanik, deren Prinzipien J.-L. Lagrange in seiner "Mécanique analytique" von 1788 darlegte, entfallen die zwei gravierenden Nachteile der Newtonschen Mechanik. Kernstück der Lagrangeschen Mechanik sind die Lagrange-Gleichungen zweiter Art:
Hierin ist ![]()
(T = kinetische, V = potentielle Energie) die Lagrange-Funktion, die für ein System von N Massenpunkten mit k holonomen, also durch Bedingungsgleichungen der Koordinaten und der Zeit ![]()
formulierbaren Zwangsbedingungen, von 3N – kverallgemeinerten Koordinatenqi abhängt. Die Wahl der verallgemeinerten Koordinaten, deren Anzahl der Zahl der Freiheitsgrade des Systems entspricht, ist dabei nicht eindeutig; eine geeignete Wahl zu treffen, ist wichtig, um eine möglichst einfache Gestalt der Bewegungsgleichung zu erhalten.
Es handelt sich bei den Lagrange-Gleichungen zweiter Art, die oft auch einfach als Lagrange-Gleichungen bezeichnet werden, um einen Satz von 3N – k Differentialgleichungen zweiter Ordnung. Die Wichtigkeit dieser Gleichungen kann kaum überschätzt werden. Sie bilden den Ausgangspunkt der formalen Weiterentwicklung der Mechanik, und aufgrund ihrer Einfachheit und Forminvarianz unter Punkttransformationen sowie der geradezu idealen Anpassung an holonome Nebenbedingungen eignen sie sich von allen Prinzipien und Formalismen in der Regel am besten zur Aufstellung von Bewegungsgleichungen.
Von viel geringerer Bedeutung sind die Lagrange-Gleichungen erster Art, obwohl sie auch für Systeme mit differentiellen Zwangsbedingungen gelten und Zwangskräfte relativ einfach berechnen.
Die Ableitung der Lagrange-Gleichungen beruht neben dem zweiten Newtonschen Axiom auf dem d'Alembertschen Prinzipder virtuellen Verrückung, dem zufolge die Zwangskräfte, die Kräfte also, die ein System zur Einhaltung der Nebenbedingungen zwingen, keine Arbeit verrichten. Dieses Prinzip kann nicht aus der Newtonschen Mechanik abgeleitet werden, muß also als ein neues, auf der Erfahrung beruhendes Prinzip in die Physik eingeführt werden. Die Erfahrung, die hinter diesem Prinzip steckt, ist die, daß beispielsweise das Gestänge einer Dampfmaschine selbst keine Arbeit leistet, sondern lediglich Kräfte überträgt. Durch die Anwendung des d'Alembertschen Prinzips verschwinden die Zwangskräfte aus den Gleichungen.
Ein Beispiel, das die Schwierigkeiten der Newtonschen Mechanik illustrieren kann, ist das Fadenpendel, also eine in festem Abstand von einem Drehpunkt aufgehängte Punktmasse. Das erste Problem bei der Aufstellung der Bewegungsgleichung tritt auf, wenn man von den üblichen kartesischen Koordinaten zu Polarkoordinaten übergehen will. Polarkoordinaten sind dem Problem des Fadenpendels besser angepaßt, jedoch hat das zweite Newtonsche Axiom in ebenen Polarkoordinaten nicht die oben angegebene Gestalt; es lautet jetzt: ![]()
. Die zweite, weitaus problematischere Schwierigkeit ist die Berechnung der resultierenden Kraft, die auf die Masse wirkt, denn diese Kraft umfaßt neben der Schwerkraft auch die Zwangskraft, die der Faden auf die Masse ausübt; letztere ist etwas mühsam zu bestimmen, da sie neben der Schwerkraft auch die Zentrifugalkraft der Pendelschwingung kompensieren muß. Der Weg zur Bewegungsgleichung ist also recht umständlich, wenn man nicht die Energieerhaltung ausnutzt.
Erhaltungsgrößen und das Noether-Theorem
Das größte Problem bei der Untersuchung mechanischer Systeme ist oft nicht die Aufstellung der Bewegungsgleichungen, die in Form der Lagrange-Gleichungen des betrachteten Systems in vielen Fällen sehr einfach niedergeschrieben werden können, sondern ihre Lösung. Leider ist eine analytische Lösung der Bewegungsgleichungen nur in seltenen Fällen möglich. Erhaltungsgrößen helfen hier einen entscheidenden Schritt weiter bei dem Versuch, auch ohne Integration Kenntnisse über das Verhalten der untersuchten Systeme zu gewinnen: Sie liefern wesentliche Informationen ohne Lösung der Bewegungsgleichungen. Zudem erniedrigt jede Erhaltungsgröße die Zahl der Integrationen, die zur Lösung der Bewegungsgleichungen erforderlich sind, um Eins; die Lösung wird also in vielen Fällen einfacher.
Jedes abgeschlossene mechanische System weist sieben fundamentale Erhaltungsgrößen, die sogenannten Bewegungsintegrale, auf, nämlich die Energie sowie die je drei Komponenten des Impulses und des Drehimpulses. Diese Erhaltungssätze haben ihre tiefere Ursache in einer räumlich-zeitlichen Symmetrie des Systems, nämlich in der Invarianz gegenüber einer beliebigen zeitlichen und räumlichen Translation und einer beliebigen räumlichen Drehung.
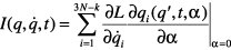
Der Zusammenhang zwischen Symmetrien des Systems und Erhaltungssätzen läßt sich zu der Erkenntnis erweitern, daß jede kontinuierliche Koordinatentransformation, die die Lagrange-Funktion invariant läßt, auf eine Erhaltungsgröße hinweist und deren einfache Berechnung ermöglicht. Dies findet seine Formulierung im 1918 von A.E. Noether und D. Hilbert abgeleiteten Noether-Theorem, dem zufolge die Funktion
erhalten ist, wenn die Lagrange-Funktion Invarianz unter einer kontinuierlichen Koordinatentransformation zeigt; die Transformation wird dabei durch den stetig differenzierbaren Parameter α gemäß ![]()
definiert. Zu jeder solchen Symmetrietransformation gehört also eine Erhaltungsgröße.
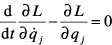
Anhand des Fadenpendels, das bereits oben als Beispiel diente, läßt sich die perfekte Anpassung des Lagrange-Formalismus an holonome Zwangsbedingungen zeigen. In einem ersten Schritt wählt man geeignete unabhängige Koordinaten, das ist bei einem ebenen Pendel der Fadenlänge l nur der Winkel ϕ, und berechnet unter Verwendung der Erdbeschleunigung g die Lagrange-Funktion zu
.
Daraus ergibt sich dann die Lagrange-Gleichung ![]()
, die mit der für kleine Auslenkungen zulässigen Näherung ![]()
unmittelbar gelöst werden kann. Das Problem der Zwangskräfte stellt sich nicht, da diese in den Lagrange-Gleichungen prinzipiell nicht auftreten.
Wichtige Anwendungen der analytischen Mechanik
Die meisten elementaren Anwendungen der Mechanik werden wegen der oben beschriebenen Vorteile bevorzugt auf der Basis des Lagrangeschen Formalismus behandelt.
Eine historisch in der Enwicklung der Mechanik zentrale Anwendung ist die Zentralkraftbewegung, die Bewegung eines Körpers in einem Zentralfeld. Es war einer der großen Erfolge der Newtonschen Mechanik, Keplers empirisch gefundene Gesetze der Planetenbewegung auf das Gravitationsgesetz und das zweite Newtonsche Axiom zurückführen zu können. Die Zentralkraftbewegungen sind auch aus heutiger Sicht von herausragender Bedeutung für die Mechanik, da sie zu den wenigen Aufgaben gehören, die analytisch exakt gelöst werden können. Die Behandlung im Rahmen des Lagrangeschen Formalismus bringt hier gegenüber der Newtonschen Betrachtung den Vorteil, daß die Bewegungsgleichungen durch leichteres Auffinden der Erhaltungsgrößen einfacher zu integrieren sind.
Der starre Körper zählt zu den faszinierendesten Objekten der Mechanik; besonders die Theorie des Kreisels, die vielfach als die "Hohe Schule der Mechanik" angesehen wird, zeigt immer wieder verblüffende Effekte. Die Berechnung von Trägheitsmomenten starrer Körper und die Untersuchung von Drehbewegungen, rotierenden Maschinenteilen und Unwuchten sind auch für Ingenieure wichtig.
Schwingungen sind ein zentrales Thema auf vielen Gebieten der Physik. Die Schwingungslehre ist für Naturwissenschaftler und Ingenieure unentbehrlich und gehört zu den Grundlagen der technischen Mechanik und der Elektrotechnik. Der harmonische Oszillator ist schlechthin das wichtigste Modellsystem der Physik überhaupt, dies einerseits, weil der harmonische Oszillator gleich der Zentralkraftbewegung zu den ganz wenigen analytisch exakt lösbaren Aufgaben gehört, und andererseits, weil viele in der Natur vorkommende Systeme näherungsweise als harmonische Oszillatoren betrachtet und so ihre Bewegungsgleichungen gelöst werden können.
Beim Beispiel des ebenen Pendels ist der zentrale Erhaltungssatz derjenige der Energie, dem zufolge die Summe aus kinetischer und potentieller Energie konstant ist. Legt man insbesondere den Nullpunkt der potentiellen Energie des Schwerefeldes in den tiefsten Punkt der Pendelschwingung, so muß die kinetische Energie in diesem Punkt der potentiellen Energie in den Wendepunkten der Bewegung entsprechen, in denen die kinetische Energie verschwindet: ![]()
. Man erhält so direkt Informationen über die maximale Auslenkung und die Geschwindigkeit im tiefsten Punkt der Schwingung. Es ist nun auch möglich, mittels der allgemeinen Form der Energieerhaltung ![]()
die Ableitung des Winkels ![]()
durch die Energie E und den Winkel ϕ auszudrücken und dies in die Lagrange-Gleichung einzusetzen, die dadurch von einer Gleichung zweiter zu einer Gleichung erster Ordnung in der Zeitableitung wird. Die Zahl der Integrationen zur Lösung der Gleichung verringert sich dann von Zwei auf Eins. Auf solchen Informationen beruht zu einem großen Teil die Bedeutung der Erhaltungsgrößen für die Mechanik.
Das Prinzip der kleinsten Wirkung
Statt aus der Newtonschen Mechanik unter Verwendung des D'Alembert-Prinzips kann die Lagrangesche Mechanik auch aus einem einzigen grundlegenden Axiom, dem Hamiltonschen Prinzip der kleinsten Wirkung entwickelt werden. Dieses 1823 von W.R. Hamilton aufgestellte Variationsprinzip geht nicht wie das D'Alembert-Prinzip von virtuellen Verrückungen des momentanen Zustandes aus, sondern stellt eine Extremalforderung an die gesamte Bewegung zwischen den Zeiten t1 und t2, die derart verlaufen soll, daß die Wirkung S extremal, in der Regel minimal wird; anders ausgedrückt, daß die erste Variation der Wirkung

oder, ausgeschrieben

verschwindet. Dabei sind δqj Variationen der Koordinate qj zur Zeit t. Das Hamiltonsche Prinzip gilt für alle Systeme, die holonomen oder differentiellen Zwangsbedingungen unterworfen sind, und für Kräfte, die aus einem geschwindigkeitsabhängigen Potential abgeleitet werden können. Es ist äquivalent zu den Lagrange-Gleichungen zweiter Art.
Für die Lösung konkreter mechanischer Aufgaben bietet sich das Hamiltonsche Prinzip nicht an. Seine Bedeutung beruht vielmehr auf folgenden Punkten:
-Es enthält über die Lagrange-Funktion L = T – V nur die kinetische und potentielle Energie und hat daher eine von der Wahl der Koordinaten unabhängige Bedeutung. Daher wird es gerne bei der Untersuchung von Transformationen der Variablen verwendet.
-Das Prinzip der kleinsten Wirkung gehört zu den allgemeinen Prinzipien der Physik; es tritt auch in anderen Gebieten auf und führt z.B. auf die Wellengleichung. Damit ist es gelungen, die gesamte Mechanik auf ein einziges sehr allgemeines Prinzip zurückzuführen.
Ein axiomatisch aufgebautes Bild der analytischen Mechanik kann daher das Hamiltonsche Prinzip als grundlegendes Axiom betrachten, um von dort aus die Lagrangesche Mechanik zu entwickeln; von diesem strengen theoretischen Blickwinkel aus ist die Newtonsche Formulierung der Prinzipien der Mechanik heute hauptsächlich von historischem Interesse.
Die Hamiltonsche Mechanik
Die Bewegungsgleichungen der Newtonschen und der Lagrangeschen Mechanik sind von zweiter Ordnung in der Zeit; eine alternative Formulierung der Mechanik, deren Bewegungsgleichungen von erster Ordnung in der Zeit sind, liefert die Hamiltonsche Mechanik.
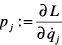
Während die beiden älteren Darstellungen im n-dimensionalen Raum der unabhängigen Koordinaten qj, dem Konfigurationsraum, formuliert sind, ist der Raum der Hamiltonschen Mechanik der 2n-dimensionale Phasenraum, der durch die unabhängigen Koordinaten qj und zusätzlich durch die von den Koordinaten unabhängigen kanonischen Impulse![]()
aufgespannt wird.
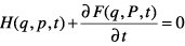
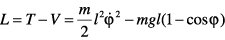
Die Hamilton-FunktionH wird gemäß
über die Lagrange-Funktion eingeführt. (Mathematisch handelt es sich bei dieser Koordinatentransformation von den Geschwindigkeiten ![]()
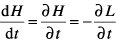
zu den Impulsen pi um eine Legendre-Transformation.) In der Regel – präziser: im Falle skleronomer, holonomer Zwangsbedingungen, ruhender Koordinaten und konservativer Kräfte – kann H mit der Energie E des Systems idendifiziert werden. Die Berechnung des totalen Differentials dH liefert die Bewegungsgleichungen der Hamiltonschen Mechanik, die Hamiltonschen Gleichungen:
sowie die Gleichung
Die Hamiltonschen Gleichungen sind 2n explizite Differentialgleichungen erster Ordnung in den Koordinaten und kanonischen Impulsen. Wegen ihrer formalen Einfachheit und Symmetrie heißen sie auch kanonische Gleichungen. Die Hamiltonschen Gleichungen sind, gleich den Lagrange-Gleichungen, äquivalent zum Hamiltonschen Variationsprinzip, beschreiben also die gleiche Physik.
Da die 2n Hamiltonschen Gleichungen eines mechanischen Systems im allgemeinen nicht einfacher aufzustellen und zu lösen sind als die n Lagrange-Gleichungen zweiter Art – der Lösungsweg ist, zumindet bei einfachen Problemen, sogar eher umständlicher –, haben sie im Vergleich zu letzteren für die Lösung mechanischer Aufgaben nur geringe Bedeutung. Ihre äußerst große Wichtigkeit für die Physik beruht auf folgenden Punkten:
-Die Hamiltonsche Mechanik ist der Ausgangspunkt für die Formulierung der Quantenmechanik. Der Übergang wird vollzogen, indem die Koordinaten und die kanonischen Impulse durch entsprechende Operatoren ersetzt werden, die auf die Wellenfunktion wirken; die Hamilton-Funktion der Mechanik wird so zum Hamilton-Operator der Quantentheorie.
-Die Hamiltonschen Gleichungen sind Differentialgleichungen im Phasenraum. Sie bilden daher die Grundlage der statistischen Mechanik, die als Mechanik bei sehr großen Teilchenzahlen im Phasenraum entwickelt wird. Die Hamiltonschen Gleichnungen werden auch gerne für qualitative, geometrische Beschreibungen der Bewegung in chaotischen Systemen verwendet.
Die Poisson-Klammern
Das Konzept der Poisson-Klammern stellt eine Weiterentwicklung auf der Basis des Hamilton-Formalismus dar, die besonders für den oben erwähnten Übergang von der Mechanik zur Quantenmechanik von großer Bedeutung ist.
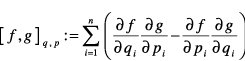
Wenn f(q,p,t) und g(q,p,t) zwei beliebige differenzierbare Funktionen der Koordinaten, der Impulse und der Zeit sind – solche Größen heißen Observablen, da sie gewöhnlich einer Meßgröße entsprechen –, werden die Poisson-Klammern dieser Observablen in der Form

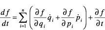
definiert. Es läßt sich leicht zeigen, daß man mit Hilfe dieser Klammern die totale Zeitableitung einer Observablen f gemäß

in einfacher Form schreiben kann, und die kanonischen Gleichungen lauten dann gleichfalls sehr einfach
und ![]()
.
In diesem Zusammenhang, auch im Hinblick auf die kanonischen Transformationen, werden die unabhängigen Koordinaten und die kanonischen Impulse als kanonisch konjugierte Variablen bezeichnet.
Die Poisson-Klammern haben die gleiche algebraische Struktur wie die Operatoren der Quantenmechanik bzw. deren Kommutatoren und eröffnen daher die Möglichkeit, die Quantenmechanik – genauer: die Heisenbergsche Matrizenmechanik – analog der analytischen Mechanik aufzubauen: In oben angegeben Form entsprechen die kanonischen Gleichungen denjenigen der Matrizenmechanik, wobei der Kommutator zweier Operatoren die Stelle der Poisson-Klammer der klassischen Mechanik einnimmt.
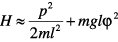
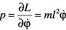
Es sei an dieser Stelle nochmals das Beispiel des ebenen Pendels aufgegriffen: Der zum Winkel ϕ gehörige kanonische Impuls ist ![]()
. Damit berechnet sich die Hamilton-Funktion zu ![]()
;
H entspricht damit genau der Summe aus kinetischer und potentieller Energie. Die kanonischen Gleichungen lauten ![]()
und ![]()
; dieses Gleichungssystem kann, wiederum unter Verwendung der Näherung ![]()
, integriert werden. Man erhält also im Hamilton-Formalismus zwei Gleichungen erster Ordnung statt einer einzigen von zweiter Ordnung im Lagrange-Formalismus.
Die Hamilton-Jacobi-Theorie der kanonischen Transformationen
Im Rahmen der Hamilton-Jacobi-Theorie, gleichfalls eine Weiterentwicklung der Hamiltonschen Mechanik, wird die Lösung einer speziellen Klasse von Problemen, der separierbaren Aufgaben, auf die Berechnung eindimensionaler Integrale zurückgeführt, die im allgemeinen einfacher auszuführen sind als die Lösung der gekoppelten Gleichungssysteme des Lagrange- oder des Hamilton-Formalismus. Am Anfang der Hamilton-Jacobi-Theorie steht die Betrachtung der sogenannten kanonischen Koordinatentransformationen:
Die Hamiltonsche Mechanik hat 2n unabhängige und völlig gleichberechtigte Variablen qi, pi. Daher können erweiterte Transformationen der Koordinaten und Impulse
untersucht werden. Unter diesen unzähligen erdenklichen Transformationen sind nicht alle von Interesse, sondern nur diejenigen, die die kanonischen Gleichungen unverändert lassen. Es muß also auch in den neuen Variablen eine Hamilton-Funktion K(Q,P,t) existieren, mit der die kanonischen Gleichungen die bekannte Form annehmen:
Die kanonischen Transformationen bilden die maßgebliche Teilmenge dieser brauchbaren Transformationen. Sie werden durch Funktionen, sogenannte Erzeugende, gekennzeichnet, die von den alten (qi, pi) und den neuen Variablen (Qi, Pi) sowie von der Zeit abhängen. Eine Transformation, bei der z.B. die 2n Variablen pi, Pi unabhängig voneinander sind, ist genau dann kanonisch, wenn eine Erzeugende F(q,P,t) existiert mit den Transformationsgleichungen
Die kanonischen Transformationen liefern neue Einsichten und Formulierungen der Mechanik und führen unter anderem zur Hamilton-Jacobi-Theorie, zu den Winkel- und Wirkungsvariablen, zur statistischen Mechanik und zur Schrödingerschen Wellenmechanik.
Die Hamilton-Jacobi-Theorie sucht kanonische Transformationen auf Variablen, die Erhaltungsgrößen sind: ![]()
. Eine solche Transformation ist gefunden, wenn die neue Hamilton-Funktion K – und mit ihr auch die Poisson-Klammern ![]()
und ![]()
– verschwinden. Es ergibt sich also die Bedingungsgleichung
Von den 3n Variablen qi, pi, Pi – von der Zeit wird abgesehen – sind aufgrund der Transformationsgleichungen nur 2n unabhängig voneinander. Ersetzt man die Impulse pi durch ![]()
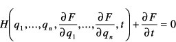
, so erhält man die Hamilton-Jacobi-Gleichung

Die Hamilton-Jacobi-Gleichung ist eine nichtlineare, partielle Differentialgleichung erster Ordnung in den Variablen ![]()
für die Erzeugende F(q,P,t) einer kanonischen Transformation auf konstante Variable Qi, Pi . Nach der Berechnung der Erzeugenden ergeben sich die neuen Variablen aus den Transformationsgleichungen.
Im allgemeinen ist die Hamilton-Jacobi-Gleichung nur dann lösbar, wenn die Variablen separiert werden können. Dann aber ist das System integrabel, d.h. die Lösung ist auf eindimensionale Integrale rückführbar und wird so verhältnismäßig leicht durchführbar.
Wie das Beispiel zeigt, ist die Hamilton-Jacobi-Theorie bei einfachen Aufgaben recht schwerfällig (siehe Randspalte); ihre Vorzüge kommen erst in schwierigeren Problemen, so zum Beispiel bei der Überlagerung eines Zentralkraftfeldes mit einem homogenen Feld oder beim Zweizentrenproblem voll zur Geltung. Es gibt auch Probleme, die nur mit der Hamilton-Jacobi-Theorie exakt gelöst werden können.
Die Ähnlichkeit zwischen der Hamilton-Jacobi-Gleichung und der Eikonalgleichung der geometrischen Optik führte E. Schrödinger im Jahre 1926 zur Aufstellung der zeitunabhängigen Schrödinger-Gleichung.
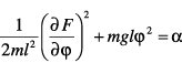
Beim Beispiel des ebenen Pendels kann die Hamilton-Funktion näherungsweise als ![]()
geschrieben werden. Die Hamilton-Jacobi-Gleichung des Systems ist daher 
Mittels des Ansatzes ![]()
mit dem freien Parameter α wird die Zeit separiert, man erhält die Gleichung 
,
die die Zeit nicht mehr enthält. Der Parameter α entspricht offensichtlich der Energie E. Damit ist die Lösung leicht zu ![]()
zu finden.
Ausblick auf die nichtlineare Dynamik
Es ist ein Irrtum anzunehmen, daß die überwiegende Anzahl der Systeme der klassischen Mechanik analytisch gelöst werden kann, und daß die Lösung dann reguläres Verhalten zeigt. Bereits 1892 hat Poincaré erkannt, daß das nicht integrierbare Dreikörperproblem unter Umständen chaotisches Verhalten zeigen kann. Kolmogorow (1954), Arnold (1963) und Moser (1967) bewiesen in ihrem berühmten KAM-Theorem, daß es in empfindlicher Weise von den Anfangsbedingungen eines klassischen Systems abhängt, ob seine Bewegung regulär oder chaotisch verläuft; es zeigte sich, daß die klassische stabile, reguläre Bewegung eine Ausnahme darstellt, die in der Natur nur selten in reiner Form realisiert ist. Die Untersuchung solcher zu irregulärem Verhalten tendierender Systeme ist Gegenstand der nichtlinearen Dynamik (Chaos), die im Prinzip als eine Erweiterung der klassischen Mechanik verstanden werden kann; tatsächlich jedoch haben sich in diesem bedeutenden Bereich, der in einer stürmischen Entwicklung begriffen ist, in solchem Maße eigene Methoden ausgebildet, daß er meist als ein eigenständiger Zweig der Physik gilt.
Die Entwicklung der klassischen, nichtrelativistischen, linearen analytischen Mechanik hingegen kann heute als weitgehend abgeschlossen betrachtet werden; ihre Prinzipien haben sich jedoch auf fast allen Gebieten der Physik bewährt. Neben der nichtlinearen Dynamik dürfen besonders die Quantenmechanik und die statistische Physik in diesem Sinne als moderne Weiterentwicklungen der klassischen Mechanik angesehen werden.

Wenn Sie inhaltliche Anmerkungen zu diesem Artikel haben, können Sie die Redaktion per E-Mail informieren. Wir lesen Ihre Zuschrift, bitten jedoch um Verständnis, dass wir nicht jede beantworten können.