Lexikon der Physik: Beugung
Beugung, Diffraktion, die bei einer Wellenbewegung auftretende Abweichung von der ursprünglichen Richtung der Wellennormalen, die nicht durch Brechung, Reflexion oder Streuung hervorgerufen wird, sondern durch im Weg stehende Hindernisse (z.B. Beugungsspalt, Blende, Kante usw.) oder Dichteänderungen des Mediums (z.B. Erdatmosphäre). Sie ist stets mit Interferenz verbunden. Durch Beugung gelangt auch in ursprünglich von der Strahlung abgeschirmte Gebiete Energie. Beugung tritt bei jeder Art von Wellen auf (Materiewellen, elektromagnetische Wellen, Schallwellen usw.). Die Abweichung vom geometrischen Strahlenverlauf wird bemerkbar, wenn die Dimension der Hindernisse oder der Öffnung in der Größenordnung der Wellenlänge liegt oder kleiner als diese ist. Insofern spielt die Beugung in der Akustik, wo die Länge der Schallwellen in der Größenordnung von Metern liegt, eine wichtige Rolle, da sie ein Hören hinter Hindernissen überhaupt erst ermöglicht. Dagegen spielt die Röntgenbeugung im Alltag keine Rolle, da als beugende Strukturen nur Atome in einem Kristallgitter in Fage kommen, deren Abstand voneinander in der Größenordnung der Wellenlänge liegt. Ähnliches gilt für Materiestrahlen (Elektronenbeugung, Neutronenbeugung).
Die Beugungserscheinungen in der Optik sind infolge der eng mit ihr verknüpften Interferenzerscheinungen sehr eingehend untersucht worden. Man unterscheidet zwei Klassen von Beugung: Fraunhofersche Beugung bzw. Fraunhofersche Interferenz liegt vor, wenn die Lichtstrahlen (nahezu) parallel auf das Hindernis auftreffen; dies ist z.B. der Fall, wenn die Lichtquelle sehr weit vom Hindernis entfernt oder im Brennpunkt einer Sammellinse steht. Bei der Fresnelschen Beugung bzw. Fresnelschen Interferenz konvergiert oder divergiert das Strahlenbündel; der Abstand Quelle-Hindernis ist nur sehr gering. Die Beugungserscheinungen werden im Prinzip durch die Lösung der entsprechenden Wellengleichung theoretisch behandelt (Kirchhoffsche Formel). Qualitativ lassen sich Beugungserscheinungen auf Grund des Huygensschen Prinzips der Elementarwellen verstehen: Jeder Punkt einer Wellenfläche wird als Ausgangspunkt einer Elementarwelle angesehen. Die Überlagerung aller dieser Elementarwellen ergibt die neue Wellenfront, die i.a. mit der alten identisch ist. Ist jedoch ein Hindernis im Weg, finden die Elementarwellen am Rand des Hindernisses keine Partialwellen, mit denen sie interferieren können. Daher breiten sie sich dort als Kugelwellen aus und gelangen so in den Raum hinter dem Hindernis. Die Intensität dieser Beugungswelle (entstanden aus der Interferenz der beteiligten Elementarwellen) ist stark richtungsabhängig, so daß ein sog. Beugungsmuster entsteht. Das Beugungsmuster ist bei einem symmetrischen beugenden Objekt ebenfalls symmetrisch. Ein Beugungsspalt (Abb. 1) erzeugt z.B. bei der Beleuchtung mit monochromatischem Licht eine Reihe nebeneinanderliegender heller und dunkler Streifen (Intensitätsmaxima und -minima), wobei der mittlere Streifen der hellste ist und die Helligkeit der anderen Intensitätsmaxima von der Mitte her nach außen hin abnimmt. Die einzelnen Maxima werden von der Mitte her durchgezählt und als Maxima n-ter Beugungsordnung bezeichnet. Die genaue Lage der Maxima hängt von der Größe des beugenden Objekts und der Wellenlänge des verwendeten Lichts ab. Korrekterweise sollte man nicht von Beugungs-, sondern von Interferenzmustern sprechen, da die Intensitätsverteilung (Intensitätsmaxima und -minima) eine Folge der Interferenz der Elementarwellen ist. Aus historischen Gründen wird die Bezeichnung Beugungsmuster usw. aber beibehalten.
Da es bei jedem Auftreffen einer Lichtwelle auf ein Objekt zu Beugungserscheinungen kommt, beeinflußt der Effekt u.a. das Auflösungsvermögen optischer Geräte wie Mikroskop oder Fernrohr. Die Wellenlängenabhängigkeit des Beugungseffektes wird z.B. für Spektrographen oder durchstimmbare Laser ausgenutzt.
Im Rahmen der Beugungstheorie läßt sich auch das Babinetsche Theorem herleiten, nach dem die Beugungserscheinungen zweier zueinander komplementärer Beugungsschirme (z.B. Kreisblende und "Teilchen", Spalt und Draht) außerhalb des geometrisch-optischen Bereichs identische Beugungserscheinungen hervorrufen.
Im Grenzfall der Beugung von Licht an sehr kleinen Teilchen spricht man meist von Streuung des Lichts. Dabei wird das Licht z.T. um Winkel bis zu 180° zurückgestreut.
Erste historische Hinweise auf die Entdeckung des Beugungsphänomens finden sich im 17. Jh.: F. Grimaldi beobachtete bereits vor 1663, daß ein durch eine kleine Öffnung in ein verdunkeltes Zimmer einfallender Sonnenstrahl auf der gegenüberliegenden Wand einen Lichtfleck erzeugt, der zum einen bedeutend größer ist, als er entsprechend der geradlinigen Ausbreitung des Lichts sein sollte, und zum anderen einen verwaschenen und mit farbigen Ringen durchzogenen Rand hat, d.h. nicht scharf begrenzt ist.
Im folgenden werden die wichtigsten Beugungserscheinungen aufgeführt. Bei allen wird die Beleuchtung mit parallelem Licht (Fraunhofer-Beugung) vorausgesetzt:
1) Beugung am einfachen Spalt
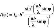
Hier wird eine unendlich lange, schmale rechteckige Blende (Beugungsspalt) beleuchtet, und hinter der Blende entsteht durch Interferenz ein Beugungsbild. Nach dem Huygensschen Prinzip gehen von jedem Punkt innerhalb des Spaltes kreisförmige Sekundärwellen aus. Alle Strahlen, die in die gleiche Richtung gehen, interferieren im unendlich weit entfernten Beobachtungspunkt, der meist mit einer Linse in endliche Entfernung gebracht wird. Man spricht deshalb von Vielstrahlinterferenz. Die Gesamtfeldstärke E in einer Richtung ϕ ergibt sich als geometrische Reihe aus den Beiträgen der Einzelwellen, und für unendlich viele Sekundärwellen ergibt sich die Intensität E2 = I(ϕ) zu

(1)
mit der Spaltbreite b, dem Beobachtungswinkel ϕ und der Lichtwellenlänge λ (Abb. 1, 2). Trifft die Welle nicht senkrecht auf die Spaltebene, sondern unter einem Winkel β zum Lot auf, dann muß man in Gl. 1 sin ϕ durch sin ϕ – sin β ersetzen.
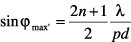
Aus den Nullstellen des Zählers der Funktion I(ϕ) werden die Richtungen ϕmin der Intensitätsminima berechnet:
mit m = 1, 2, 3, ... (2)
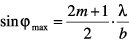
(Abb. 3). Die Richtung ϕmax der Maxima ergibt sich nur näherungsweise aus den Maxima des Zählers, da der Nenner nicht linear in ϕ ist:
mit m = 1, 2, 3, ... (3)
m wird auch die Ordnung des Maximums oder Minimums genannt. Anschaulich bedeutet dies, daß es zu destruktiver/konstruktiver Interferenz kommt, wenn der Gangunterschied der betrachteten Randstrahlen ein ganzzahliges Vielfaches der Wellenlänge/ungerades Vielfaches der halben Wellenlänge ist. Die maximale Intensität liegt bei ϕ = 0, d.h. im unabgelenkten sog. Zentralbild. m = 0 ist in Gl. (2) ausgeschlossen, da dann sowohl der Zähler als auch Nenner der Funktion I(ϕ) verschwinden und so kein Minimum, sondern im Gegenteil das Hauptmaximum vorliegt. In Gl. (3) bleibt m = 0 ausgeschlossen, weil man dort zwar Helligkeit, aber kein Maximum hat. Während die Lage der Maxima und Minima für m > 0 von der beobachteten Wellenlänge abhängig sind, ist das Maximum für m = 0 achromatisch.
2) Beugung an kreisförmiger Öffnung
Bei dieser Beugungserscheinung liegt hinter der Blende ein Beugungsbild vor, das aus aus einem zentralen, hellen, kreisförmigen Scheibchen besteht, welches (bei der Verwendung von monochromatischem Licht) abwechselnd von dunklen und hellen Ringen umgeben ist (Abb. 4). Diese Scheibe bezeichnet man als Airy-Scheibe, benannt nach G.B. Airy, der als erster die Intensitätsverteilung I(ϕ) der Beugungserscheinung mathematisch bestimmte:

ϕ ist der Richtungswinkel, R der Radius der Kreisblende und J1 die Bessel-Funktion erster Ordnung. Die Winkel ϕmin1, ϕmin2, ..., für die minimale Intensität auftritt (dunkle Ringe), ergeben sich aus den tabellierten Nullstellen der Bessel-Funktion zu sin ϕmin1 = 0,610λ/R, sin ϕmin2 = 1,116λ/R, sin ϕmin3 = 1,619λ/R...
Zwischen den Minima befinden sich die Maxima (helle Ringe) bei den Winkeln sin ϕmax1 = 0,819λ/R, sin ϕmax2 = 1,346λ/R, sin ϕmax3 = 1,850λ/R...
Bildet man die kreisförmige Öffnung durch eine Linse der Brennweite f auf einen Schirm ab, so erhält man für die Radien der dunklen Ringe die Werte r1 = 0,610λf/R, r2 = 1,116 λf/R, r3 = 1,619λf/R...
Der Radius r1 des ersten dunklen Rings ist mit dem Radius der Airy-Scheibe identisch; er beträgt nach obiger Auflistung r1 = 0,610λf/R, und für den in praktischen Berechnungen häufig verwendeten Durchmesser d der Airy-Scheibe gilt somit d = 1,22λf/R. Eine wichtige Rolle spielen diese Berechnungen bei der Bestimmung des Auflösungsvermögens optischer Instrumente und bei der Berechnung von Beugungserscheinung an Teilchen (s.u.).
3) Beugung am Gitter
Hinter einem Beugungsgitter entsteht durch Interferenz ein Beugungsmuster, das sich durch das Huygensschen Prinzip erklären läßt. Eine einfallende Welle wird an jedem der Gitterelemente gebeugt. Die Summe der Teilwellen ergibt die Beugungsverteilung des Beugungsgitters und kann als Überlagerung der Beugungserscheinungen der vielen einzelnen Gitterelemente verstanden werden. Dementsprechend ist die Intensitätsverteilung I(ϕ) in Richtung ϕ das Produkt aus zwei Termen:

In diesem Fall sei ein Gitter betrachtet, das aus p mit kohärentem Licht ausgeleuchteten Einzelspalten der Breite b besteht und die Gitterkonstante d hat (Abb. 5). Der erste Term beschreibt die Beugung am Einzelspalt, der zweite die Interferenz zwischen den p Spalten. Die Beugungserscheinung entspricht im wesentlichen der eines Einzelspaltes, wobei die hellen Gebiete noch von dunklen Interferenzstreifen durchzogen werden, deren Anzahl mit der Zahl der beleuchteten Gitterstriche wächst (Abb. 6). Aus der Gittergleichung dsinϕ = mλ ergeben sich sofort die Lagen der Beugungsmaximam-ter Ordnung (Hauptmaxima): ![]()
(m = 0,1,2,3...). Die Höhe eines Maximums ergibt sich aus dem ersten Faktor. Die maximale Anzahl der möglichen Ordnungen berechnet sich mit sin ϕ 1 zu mmax = d/λ. Zwischen den Hauptmaxima liegen bei p Spalten p – 2 kleine Nebenmaxima: ![]()
(n = 1,2, ... , p – 2). Aus den Nullstellen des ersten Zählers und des zweiten Zählers ergeben sich die Beugungsminima zu ![]()
, bzw. ![]()
(n = 1,2,3..., n ≠ pN, N = 0,1,2,3...).
Wie bei allen Interferenzerscheinungen sind die Abstände der Maxima auch hier proportional zur Wellenlänge, d.h. Gitter eignen sich zur Trennung verschiedener Wellenlängen. (Beugungsgitter, Auflösungsvermögen)
4) Beugung am Doppelspalt
Spezialfall eines Gitters, bei dem zwei schmale, eng nebeneinander liegende Blendenöffnungen als Beugungsspalt dienen. Die dadurch entstehenden Interferenzmuster können mit der für die Beugung am Gitter entwickelten Theorie beschrieben werden (s.o.).
5) Beugung an Teilchen
Bei Teilchendurchmessern mindestens in der Größenordnung der Lichtwellenlänge entspricht die Beugungserscheinung nach dem Babinetschen Theorem derjenigen, die bei der Beugung an einer kreisförmigen Öffnung gleicher Größe auftritt (s.o.). Für Teilchen mit kleineren Durchmessern entwickelte G. Mie aus den Maxwellschen Gleichungen eine Theorie der Lichtausbreitung, die auch als Mie-Streuung bezeichnet wird. Damit lassen sich z.B. Beugungserscheinungen an Aerosolen zur Messung von Staubkonzentrationen und Teilchengrößen in der Atmosphäre heranziehen (LIDAR).
In der Natur hat man es sehr häufig mit der Beugung an sehr vielen, statistisch verteilten Objekten zu tun. Statt von Beugung an unregelmäßig verteilten Objekten spricht man oft eher von Streuung. Betrachtet man alle Wellen, die in einem solchen Fall von n Objekten in eine bestimmte Richtung laufen, so haben diese Wellen keine konstante Gangdifferenz, wie z.B. bei der Beugung an einem Gitter. Aufgrund der großen Zahl der Wellen kann man sich jedoch auf die Betrachtung einer mittleren Gangdifferenz beschränken. Die resultierende Intensität in der betrachteten Richtung ergibt sich dann als n-faches der Intensität, die ein einzelnes Beugungszentrum in diese Richtung erzeugt hätte, d.h. die n Beugungszentren rufen zusammen die gleiche Beugungsfigur hervor, die ein einzelnes beugendes Zentrum erzeugt hätte. Die große Anzahl n der beugenden Zentren bewirkt lediglich die Verstärkung der Intensität um das n-fache. Ein Beispiel für diese Beugung an statistisch verteilten Teilchen ist der Mondhof, also der Lichtschein um den Mond bei Beugung an den Wassertröpfchen in feuchter Luft, sowie das Himmelsblau, Morgen- und Abendrot (Optik, atmosphärische), das auf die Beugung an regellos verteilten Molekülen in der Atmosphäre zurückzuführen ist (Rayleigh-Streuung).

Beugung 6: Interferenzfigur der die p Spalte eines Gitters passierenden Teilbündel bei Vernachlässigung der Beugung des Einzelspalts in Abhängigkeit von sinϕ (oben). Bei Berücksichtigung der Intensitätsmodulation durch die Beugung am Einzelspalt (unten) ergibt sich die wirkliche Intensitätsverteilung der Beugungsfigur.





Wenn Sie inhaltliche Anmerkungen zu diesem Artikel haben, können Sie die Redaktion per E-Mail informieren. Wir lesen Ihre Zuschrift, bitten jedoch um Verständnis, dass wir nicht jede beantworten können.