Lexikon der Physik: Chaos
Chaos
Heinz Georg Schuster, Kiel
Einleitung
Das ursprünglich altgriechische Wort Chaos (χαος) bezeichnet die gestaltlose Urmasse, aus der die Erde (altgriechisch Gaia bzw. Γαια) entstand. Heute verstehen wir unter Chaos ganz allgemein einen ungeordneten, schwer vorhersagbaren Zustand, wir sprechen z.B. vom "Verkehrschaos". Während dieses Bild das Zusammenspiel von vielen Verkehrsteilnehmern, welchen in der Chaostheorie viele Freiheitsgrade entsprechen, beschreibt, zeigte sich in jüngster Zeit, daß auch Systeme mit wenigen Freiheitsgraden, wie etwa ein periodisch getriebenes Pendel, chaotisches Zeitverhalten zeigen können. Dies bedeutet, daß seine Winkelposition als Funktion der Zeit irregulär und auf lange Sicht unvorhersagbar wird ( Abb. 1a ). Diese Art von Chaos bezeichnet man als deterministisches Chaos.
Der Schmetterlingseffekt
Zunächst erscheint der Begriff "deterministisches Chaos" als ein Widerspruch in sich selbst, da das Unvorhersagbare nicht determiniert "sein kann". Dieser scheinbare Widerspruch erklärt sich folgendermaßen: Obwohl das Zeitverhalten des Pendels durch Differentialgleichungen vollständig beschrieben wird, aus denen sich Schritt für Schritt die Trajektorie berechnen läßt, benötigt man doch zum Finden einer Lösung die Kenntnis der Anfangsbedingungen.
Systeme, die deterministisches chaotisches Verhalten zeigen, haben die Eigenschaft, daß kleine Abweichungen in den Anfangsbedingungen sich im Laufe der Zeit exponentiell verstärken ( Abb. 1b ). Der Meteorologe E.N. Lorenz hat dafür das Wort "Schmetterlingseffekt" geprägt; damit ist gemeint, daß der Flügelschlag eines Schmetterlings in Rio de Janeiro im Prinzip auch das Wetter in Berlin beeinflussen kann. Da die Anfangsbedingungen experimentell stets nur mit endlicher Genauigkeit bekannt sein können, es also immer einen "Anfangsfehler" gibt, führt die Verstärkung dieses Anfangsfehlers dazu, daß die Systeme langfristig unvorhersagbar werden. Die unabdingbare Voraussetzung für das Auftreten von deterministischem Chaos ist die Nichtlinearität des untersuchten Systems. Die linearisierte Pendelgleichung, bei der der Ausdruck sinθ durch θ ersetzt wird, zeigt kein chaotisches Verhalten. Mathematisch gesprochen können alle nichtlinearen dynamischen Systeme mit mehr als zwei Freiheitsgraden, insbesondere viele biologische, meteorologische oder ökonomische Systeme, chaotisches Verhalten zeigen und damit über lange Zeiträume unvorhersagbar werden. Die Tabelle zeigt, daß diese empfindliche Abängigkeit von den Anfangsbedingung eine typische Eigenschaft zahlreicher nichtlinearer Systeme ist.
Chaos 1: Chaotische Syteme. Bei konservativen Systemen bleibt die Energie erhalten, bei dissipativen Systemen, wie dem getriebenen Pendel, muß die dissipierte (z.B. durch Reibung verlorene) Energie durch Antrieb wieder von außen zugeführt werden.
| |
| Dissipative Systeme | Konservative Systeme |
| Getriebenes Pendel | Die meisten Systeme der klassischen Mechanik |
| Flüssigkeiten bei einsetzender Turbulenz | Planetenbewegung |
| Laser | Teilchenbeschleuniger |
| Chemische Reaktionen |
Die Bernoulli-Abbildung
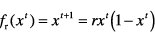
Um zu verstehen, wie deterministisches Chaos zustande kommt, betrachten wir die in Abb. 2 dargestellte iterative Bernoulli-Abbildung![]()
("t" bzw. "t + 1" sind hier nicht als Exponent, sondern als Iterations-Indizes aufzufassen), die eine chaotische Punktfolge erzeugt. Diese Abbildung hat zwei wesentliche Eigenschaften: Erstens verstärken sich kleine Fehler in den Anfangsbedingungen (s.o.). Zweitens wird die Trajektorie – analog zur Winkelvariablen beim Pendel – immer wieder auf ein endliches Intervall zurückgefaltet. Die Differenz zwischen zwei Anfangswerten, die sich um ε0 unterscheiden, wird schon nach einem Iterationsschritt um einen Faktor 10 erhöht. Die Fehlerverstärkung erfolgt exponentiell mit der Zeit t: ![]()
. Der Ljapunow-Exponentλ beschreibt dabei die Rate der exponentiellen Fehlerverstärkung und hat in unserem Beispiel den Wert ln 10. Betrachten wir die Wirkung von σ(x) z.B. auf den Anfangswert ![]()
:
Wir sehen, daß die Ziffern bei jeder Iteration um eine Stelle nach links wandern und alle Stellen vor dem Komma, bis auf eine, abgeschnitten werden. Damit werden Ziffern, die in π weit hinter dem Komma stehen, eine nach der anderen nach vorne geholt und "sichtbar gemacht". Stellen wir uns nun vor, daß die Anfangsbedingung eine Zahl ist, die wir aus einem Experiment nur bis auf drei Stellen nach dem Komma genau kennen, so können wir schreiben: ![]()
, wobei die Fragezeichen für die unbekannten Ziffern stehen. Nach drei bzw. vier Iterationen mit σ(x) erhalten wir ![]()
und ![]()
, d.h. schon die vierte Iterierte besteht nur noch aus Fragezeichen, ist also völlig unbekannt. Wir können über sie somit keine Vorhersagen mehr machen, das System zeigt chaotisches Verhalten. Wir sehen aber auch, daß für kurze Zeiten (im obigen Beispiel für drei Zeitschritte) das Verhalten des chaotischen Systems berechnet, d.h. vorhergesagt werden kann. Für längere Zeiten sind nur noch statistische Aussagen über das Systemverhalten möglich.
Dissipative Systeme: Seltsame Attraktoren
Dies führt zum Begriff des Seltsamen Attraktors. Nichtlineare Systeme lassen sich mit Differentialgleichungen erster Ordnung von der Form ![]()
mit ![]()
oder durch Iterationsgleichungen der Form ![]()
beschreiben. Die Gesamtheit der Vektoren ![]()
spannt den Phasenraum auf. Ein Attraktor ist nun ein beschränktes Gebiet dieses Phasenraumes, in das die Trajektorie ![]()
im Laufe der Zeit gezogen wird. Einfache Attraktoren sind z.B. Fixpunkte
oder Grenzzyklen ( Abb. 3a , Abb. 3b , Abb. 3c , Abb. 3d , Abb. 3e ,). Ein Seltsamer Attraktor ist dadurch gekennzeichnet, daß in einem beschränkten Gebiet des Phasenraumes benachbarte Punkte im Laufe der Zeit exponentiell auseinanderlaufen. Abb. 3b und Abb. 3c zeigen, wie in einem dissipativen System, in welchem die Energie nicht erhalten ist, sondern z.B. durch Reibung dissipiert wird, Chaos entsteht: durch Strecken und Falten entsteht aus einem Würfel im Phasenraum unter dem Einfluß der chaotischen Dynamik eine fraktale Blätterteigstruktur, die die Eigenschaften eines Seltsamen Attraktors besitzt ( Abb. 3b ). Der in Abb. 3c gezeigte Poincaré-Schnitt dieses Attraktors zeigt diese Struktur ebenfalls. Kenngrößen des Attraktors sind einmal seine Punktdichteρ( ![]()
) – sie gibt an, wie häufig ein Punkt des Phasenraums von der Trajektorien besucht wird – und zum anderen seine lokalen Ljapunow-Exponenten ![]()
, die angeben, wie rasch benachbarte Trajektorien in unterschiedliche Richtungen lokal separieren ( Abb. 3d und Abb. 3e ).
Wege ins Chaos
Ein wichtiges Ziel der Chaosforschung ist es, das Einsetzen von Turbulenz zu verstehen. Während aber Turbulenz in realen Flüssigkeiten oder Gasen ein raum-zeitliches Phänomen ist, d.h. viele Freiheitsgrade betrifft, hat man bisher nur Übergänge ins rein zeitliche deterministische Chaos mit wenigen Freiheitsgraden untersucht. Ein wichtiger Weg ins zeitliche Chaos ist die sogenannte Periodenverdopplungsroute oder Feigenbaumroute. Sie wurde von Großmann und Thomae (1977) und von M.J. Feigenbaum (1978) durch Untersuchung der logistischen Abbildung![]()
gefunden. Diese Abbildung beschreibt z.B. das Wachstum einer Tierpopulation auf einer beschränkten Fläche, wobei xt die auf das Intervall [0, 1] normierte Individuenzahl der Population ist. Diese Abbildung führt für komplexe Werte von r und xt zu den fraktalen Formen der Mandelbrot-Mengen (der sog. Apfelmännchen). Kleine Populationen mit ![]()
wachsen exponentiell, denn dann ist ![]()
und damit ![]()
. Für große xt wird das Wachstum durch den beschränkten Futtervorrat auf der Fläche, d.h. den Faktor (1 – xt), gebremst. Wenn man die Iterierten x1, x2, ... der logistischen Abbildung mit dem Computer für verschiedene Werte des Kontrollparameters r berechnet, so erhält man Abb. 4b . Für kleine Werte des Kontrollparameters hat die Abbildung einen Fixpunkt. Dieser wird bei r = r1 instabil zugunsten eines Zweierzyklus, bei r = r2 entsteht ein Viererzyklus, bei r = rn ein Zyklus der Länge 2n. Schließlich wird bei einem endlichen Wert r∞ = 3,5699456... die Zykluslänge unendlich. Die normierte Individuenzahl xt der Population springt zwischen unendlich vielen Werten hin und her, das System fängt an, Chaos zu zeigen, und der Ljapunow-Exponent λ wird bei r∞ positiv. Feigenbaum hat als erster erkannt, daß diese Periodenverdopplungsroute ins Chaos universelle Eigenschaften hat. Sie tritt für alle Abbildungen auf, die im Einheitsintervall nur ein quadratisches Maximum haben, z.B. auch für ![]()
. Das Verhältnis ![]()
strebt für n ![]()
∞ gegen den Wert δ = 4,6692016, das Verhältnis ![]()
(dn beschreibt im wesentlichen den Abstand benachbarter Fixpunkte, siehe Abb. 4c ) gegen den Wert α = 2,5029078. α und δ werden als die universellen Feigenbaum-Zahlen bezeichnet. Diese universellen Werte lassen sich im Rahmen der Renormierungsgruppentheorie verstehen. Die Periodenverdopplungsroute und mit ihr die Feigenbaumzahlen wurden in vielen Systemen experimentell gefunden ( Abb. 5 ). Außer der Feigenbaumroute gibt es noch eine Fülle anderer Wege ins Chaos, die ebenfalls universelles Verhalten zeigen.
Konservative Systeme: das KAM-Theorem
Wir kommen nun zum zweiten Zweig der Tabelle, der die Bewegung in konservativen Systemen beschreibt. Schon 1893 wußte der französische Mathematiker H. Poincaré, daß die Bewegungsgleichungen von drei durch Gravitation wechselwirkenden Körpern (Dreikörperproblem) nicht integrabel sind und zu völlig chaotischen Bewegungen im Raum führen können. Das Studium konservativer (d.h. nicht-dissipativer) chaotischer Systeme wird dadurch erschwert, daß es aus Gründen der Energieerhaltung keine Attraktoren wie bei dissipativen Systemen gibt. Um 1950 bewiesen A.N. Kolmogorow, W.I. Arnold und J. Moser das sogenannte Kolmogorow-Arnold-Moser-Theorem (KAM-Theorem). Es besagt, daß die Bewegung im Phasenraum der klassischen Mechanik weder vollständig regulär noch vollständig chaotisch ist, sondern daß das Verhalten der Trajektorie empfindlich von den Anfangsbedingungen abhängt. Das bedeutet, daß stabile, reguläre Bewegung, wie sie in den meisten Lehrbüchern behandelt wird, bei klassischen Systemen die Ausnahme ist! Abb. 6 zeigt die sog. Cassinische Teilung im Ring des Saturn. Sie ist darauf zurückzuführen, daß die Trajektorien im Gebiet der Cassinischen Teilung instabil sind, so daß die Gesteinsbrocken, die sich bei der Entstehung des Saturnringes zunächst dort befanden, im Laufe der Zeit chaotisch abgewandert sind.
Ausblick
Das Langzeitverhalten konservativer chaotischer Systeme berührt eine ganze Reihe grundsätzlicher Fragen, die von der Stabilität des Sonnensystems über die Stabilität von Strahlen in Teilchenbeschleunigern bis hin zur Begründung der Ergodenhypothese der statistischen Mechanik reichen. Zu den wichtigsten neuen Zweigen der Chaosforschung gehören die Erforschung des Quantenchaos, wo die Frage untersucht wird, wie sich quantenmechanische Systeme verhalten, deren klassischer Grenzfall Chaos zeigt, und das Phänomen der Chaoskontrolle, bei dem durch Rückkopplung in chaotischen Systemen ursprünglich instabile Trajektorien resonanzartig stabilisiert werden. Die wesentliche Grunderkenntnis aus der Entdeckung des deterministischen Chaos in dissipativen und konservativen Systemen ist die, daß selbst schon recht einfache Systeme in ihrem Langzeitverhalten unvorhersagbar werden. Diese Einsicht wird uns bei der täglichen Wettervorhersage zwar vor Augen geführt, sie wurde uns aber erst durch die Entdeckung des deterministischen Chaos in ihren Wurzeln verständlich.
Chaos 1: Das getriebene Pendel: a) Sein Winkel θ verhält sich als Funktion der Zeit t chaotisch. b) Zwei Trajektorien im Phasenraum (θ, ![]()
), die sich durch die Anfangsbedingungen unterscheiden, laufen mit der Zeit exponentiell auseinander (grau: θ(t = 0) = 0, ![]()
(t = 0) = 0, schwarz: θ(t = 0) = 0, ![]()
(t = 0) = 0,2). Die Bahnen wurden durch numerische Integration der Pendelgleichung![]()
erhalten mit den Werten γ = 0,3 für die Dämpfungskonstante, A = 4,5 für das Antriebsmoment und ω = 0,6 für die Antriebsfrequenz.

Chaos 3: Seltsame Attraktoren: a) schematische Darstellung verschiedener Attraktoren im Phasenraum des getriebenen Pendels: (i) Fixpunkt, (ii) Grenzzyklus, (iii) Seltsamer Attraktor; b) durch Streckung und Faltung entsteht aus einem Würfel eine fraktale "Blätterteigstruktur"; der Poincaré-Schnitt des zum Duffing-Oszillator gehörenden Seltsamen Attraktors (c) zeigt ebenfalls diese Struktur. Auf diesem Attraktor, der eine schleifenförmige Struktur besitzt, sind die lokalen Ljapunow-Exponenten λ (d) ganz anders verteilt als die lokalen Punktdichte ρ; e) Eine hohe lokale Instabilität, d.h. ein großer lokaler Ljapunow-Exponent, geht also durchaus nicht in Hand mit einer besonders hohen oder niedrigen lokalen Aufenthaltswahrscheinlichkeit. Die Farbskala reicht für beide Variablen von blau (minimal) bis gelb (maximal).

Chaos 4: Die Periodenverdopplungsroute ins Chaos: a) die logistische Abbildung, b) ein Zweierzyklus stellt sich ein. c) Die Iterierten der logistischen Abbildung als Funktion des Kontrollparameters r zeigen den Übergang von einfacher über doppelte und vierfache Periode ins Chaos (unendlich große Periode). d) Der Liapunov-Exponent der logistischen Abbildung als Funktion des Kontrollparameters r; er ist für r r∞ negativ oder Null (Dämpfung) und kann oberhalb von r∞ positive Werte annehmen (exponentielle Verstärkung).
Chaos 5: Die Periodenverdopplungsroute bei einem nichtlinearen elektronischen Oszillator. a) Der getriebene Schwingkreis enthält eine nichtlineare Kapazitätsdiode C; b) Die Oszilloskopbilder zeigen die Strom-Spannungs-Kennlinie für verschiedene Werte der Antriebsspannung V0. Man erkennt den Übergang von einfacher über doppelte und vierfache Periode ins Chaos (unendlich große Periode).












Wenn Sie inhaltliche Anmerkungen zu diesem Artikel haben, können Sie die Redaktion per E-Mail informieren. Wir lesen Ihre Zuschrift, bitten jedoch um Verständnis, dass wir nicht jede beantworten können.