Lexikon der Physik: Dispersion
Dispersion, 1) Wellen: im allgemeinen Sinne die Abhängigkeit einer bei der Wellenausbreitung relevanten Größe von der Wellenlänge λ bzw. der Kreisfrequenz ω; im engeren Sinne die Wellenlängenabhängigkeit der Ausbreitungsgeschwindigkeit. Dabei ist zwischen der Gruppengeschwindigkeit vg eines endlichen Wellenzuges (Wellenpaket), d.h. der Geschwindigkeit seines Schwerpunktes, und der Phasengeschwindigkeit vp zu unterscheiden. Der Zusammenhang zwischen den beiden Geschwindigkeiten ist durch die Rayleighsche Beziehung
gegeben, die unabhängig von der Art der Welle ist und damit sowohl für optische (allgemeiner elektromagnetische) Wellen und elastische Wellen (z.B. Schallwellen) als auch Materiewellen gilt.
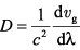
Der DispersionsparameterD ist definiert als
.
Die Gruppengeschwindigkeit repräsentiert diejenige Geschwindigkeit, mit der sich ein bestimmter Energiebetrag fortpflanzt oder mit der Informationen übertragen werden können. Sie ist gemäß den Postulaten der Speziellen Relativitätstheorie stets kleiner oder gleich der Vakuumlichtgeschwindigkeitc. Bei dispersionsfreier Wellenausbreitung sind vg und vp gleich; in einem dispergierenden Medium hingegen zerfließt ein kompakter Wellenzug, der als Überlagerung monofrequenter Wellen dargestellt werden kann (Fourier-Analyse), mit der Zeit; seine räumliche Ausdehnung ändert sich also, da sich seine Komponenten mit unterschiedlichen Geschwindigkeiten ausbreiten. Monochromatische Wellen unterliegen definitionsgemäß keiner Dispersion.
Die konkrete Form der Dispersion hängt stark von der Art der Welle und des dispergierenden Mediums ab, durch das sich die Welle fortpflanzt.
Elektrodynamik, Optik:
Die Dispersion elektromagnetischer Wellen wird durch die Frequenzabhängigkeit des Realteils der komplexen Dielektrizitätskonstantenε*(ω) bzw. der Brechzahln(ω) beschrieben, die angenähert die Beziehung ![]()
erfüllen (Abb. 1, Brechzahl).
Der einfache empirische Ansatz von A. Cauchy vom Ende des 19. Jh. beschreibt die Dispersion im sichtbaren Bereich des Spektrums zufriedenstellend:
mit den empirischen Parametern A, B, C, ... Eine demgegenüber verfeinerte Beschreibung liefert die Ketteler-Helmholtzsche Gleichung.
Im Rahmen des mikroskopischen Oszillatormodells für die Dielektrizitätskonstante werden die Elektronen und Atomkerne der Materie im elektromagnetischen Feld zu erzwungenen Schwingungen angeregt und treten dadurch in Wechselwirkung mit der Strahlung. Aus diesen Modellvorstellungen folgt für die Frequenzabhängigkeit der Brechzahl die Beziehung

(ε0: Dielektrizitätskonstante des Vakuums, N: Moleküldichte des Mediums, e: Elektronenladung, me: Elektronenmasse, fj, ωj: Oszillatorstärke und Bindungsfrequenz der Elektronen, γj: Dämpfungskonstante) (Drudesche Formel).
In der Umgebung der Resonanzfrequenzen ωj treten starke Schwankungen auf. Man unterscheidet hier zwischen Bereichen normaler Dispersion, in denen dn/dω > 0 bzw. d(Re ε*)/dω > 0 gilt, und Bereichen anomaler Dispersion, in denen dn/dω 0 bzw. d(Re ε*)/dω 0 ist. Normale Dispersion beobachtet man in allen Frequenzbereichen außer in der Umgebung der Resonanzfrequenzen, anomale Dispersion entsprechend nur dort. Bei ω = ωj verschwindet in der Drudeschen Formel der Realteil des Nenners, so daß hier entsprechend den Dispersionsrelationen der Imaginärteil α der Dielektrizitätskonstanten, der das Absorptionsverhalten bezüglich elektromagnetischer Wellen beschreibt, sehr groß wird. Die Bereiche der anomalen Dispersion sind daher auch die Bereiche mit Resonanzabsorption.
Bei der Signalübertragung ist sowohl normale als auch anomale Dispersion als eine Störungserscheinung zu betrachten, da das Zerfließen der Wellenzüge mit einer nur schwer kontrollierbaren Verzerrung der elektromagnetischen Signale verbunden ist (man spricht auch von der Varianz der Signale). Daher muß insbesondere in der Nachrichtentechnik darauf geachtet werden, die Übertragungswege möglichst dispersionsfrei zu realisieren.
In diesem Zusammenhang ist die Dispersion u. a. bei der Lichtnachrichtenübertragung in Lichtwellenleitern von Bedeutung, da sie die Dichte der Informationen und damit die Übertragungsrate bestimmt (Abb. 2). Die Dispersion führt über die unterschiedlichen Ausbreitungsgeschwindigkeiten zu einem "Verschmieren" des Pulses, wobei die Zeitdifferenz der einzelnen Wellenlängenkomponenten innerhalb des Pulses ![]()
beträgt (D: Dispersionsparameter, L: Länge der Übertragungsstrecke). Das in der Anwendung wichtige Produkt aus Übertragungsrate B und Wegstrecke L berechnet sich zu ![]()
. Mit Hilfe sich dispersionsfrei ausbreitender Einzelwellen (Solitonen) versucht man diese Bitratenbegrenzung zu umgehen.
Optik:
Optisch versteht man unter Dispersion die Farbzerlegung von Licht (chromatische Dispersion). Neben der oben beschriebenen elektromagnetischen Dispersion, die bei der Zerlegung von einfallendem weißem Licht in seine Spektralfarben beim Durchgang durch ein Prisma beobachtet werden kann (Brechungsdispersion, Brechung), treten optische Dispersionsphänomene auch bei der Beugung von Licht auf, da der Ort der Beugungsmaxima von der Wellenlänge abhängt (Beugungsdispersion). Dies ist die Grundlage vieler Spektralapparate, z.B. der häufig eingesetzten Beugungsgitter. Die Dispersion eines solchen Apparates läßt sich als dφ/dω (Winkeldispersion) oder dl/dω (Lineardispersion) angeben, wobei φ der Ablenkungswinkel bzw. l die Auslenkung auf einem Beobachtungsschirm ist. Bei einem Gitter der Gitterkonstante d hat die Winkeldispersion bei senkrechtem Lichteinfall den Betrag
(m: Ordnungszahl, α: Ablenkungswinkel).
Eine weitere optische Variante der Dispersion ist bei der Doppelbrechung zu beobachten, bei der neben der Differenz der Hauptbrechungsindizes auch die Lage der optischen Symmetrieachsen Ursache einer Dispersionserscheinung, der Lagendispersion, ist.
Schließlich findet man Dispersion auch beim optischen Drehvermögen einiger Substanzen. Man spricht dann von Dispersion der Zirkularpolarisation oder auch von Rotationsdispersion.
In der praktischen Optik verwendet man zur Charakterisierung von Glassorten häufig die relative Dispersionϑrel oder ihren Kehrwert, die Abbesche Zahlν. Die relative Dispersion setzt die Differenz der Brechzahlen der Fraunhoferschen Linien C und F (nC, nF) in Beziehung zu der um Eins verminderten Dispersion der D-Linie:
.
Paramagnetismus:
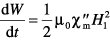
Hier ist die Dispersion ein durch paramagnetische Relaxation in einem magnetischen Wechselfeld verursachter Effekt. Die MagnetisierungM eines Paramagneten folgt einem äußeren Magnetfeld H = H1 · eiωt mit einer Phasenverzögerung, die von der Frequenz ω abhängt. Dies äußert sich in einer komplexen und frequenzabhängigen magnetischen Suszeptibilität![]()
, die experimentell mit der Dispersions-Absorptions-Methode untersucht werden kann (Äquivalent zur komplexen Suszeptibilität ist die Verwendung einer komplexen Permeabilitätμ*). Der zu ![]()
proportionale Anteil der Magnetisierung ist mit dem Feld H in Phase, während der Anteil M ˜ ![]()
'um π/2 phasenverschoben ist. Außerdem ist der Imaginärteil ![]()
mit der Energieabsorption pro Volumeneinheit verknüpft: ![]()
(μ0: Permeabilität des Vakuums).
Radioastronomie:
die von der Wellenlänge bzw. Frequenz abhängige Verzögerung von Radiowellen beim Durchlaufen eines Plasmas.
Akustik:
die Frequenzabhängigkeit der Phasengeschwindigkeit von Schallwellen (Schalldispersion).
2) Hydrodynamik: über die Diffusion hinaus vergrößerte Ausbreitung eines mit einer Strömung transportierten Stoffes. Im Gegensatz zum Zerlaufen eines Wellenpaketes in einem dispergierenden Medium, sind für die hydrodynamische Dispersion nicht unterschiedliche Ausbreitungsgeschwindigkeiten für verschiedene Wellenlängen der Auslöser, sondern relativ zur Größe des betrachteten Transportphänomens kleinskalige Variationen der Strömungsgeschwindigkeit.
3) Physikalische Chemie: eine aus zwei oder mehreren Phasen bestehende Mischung, bei der eine Substanz (das Dispergens) in einer anderen (dem Dispersionsmittel) in feinster Form verteilt ist. Die Substanzen können dabei fest, flüssig oder gasförmig sein. Je nach Teilchengröße des Dispergens unterscheidet man zwischen a) molekulardispersen (Durchmesser unter 1 nm), b) kolloiddispersen (Durchmesser 1-100 nm) und c) grobdispersen (Durchmesser über 100 nm) Systemen.
Beispiele für Dispersionen sind Suspensionen, Emulsionen, Aerosole und Rauch. Bei genauer Kenntnis der Phasengleichgewichte können Art und Ausmaß der Dispersion beeinflußt werden und so die mechanischen Eigenschaften von z.B. Werkstoffen eingestellt werden. So ist für gehärteten Stahl die Bildung einer Carbidphase als feine Verteilung in der gesättigten festen Eisenphase erwünscht.


Wenn Sie inhaltliche Anmerkungen zu diesem Artikel haben, können Sie die Redaktion per E-Mail informieren. Wir lesen Ihre Zuschrift, bitten jedoch um Verständnis, dass wir nicht jede beantworten können.