Lexikon der Physik: Nanoröhrchen
Nanoröhrchen
Siegmar Roth, Catherine Journet, Andrea Quintel, Michael Schmid, Stuttgart
Kohlenstoff ist mit weitem Abstand jenes Element, das an den meisten chemischen Verbindungen beteiligt ist. Deswegen darf es nicht überraschen, daß auch der elementare Kohlenstoff in zahlreichen verschiedenen Erscheinungsformen auftritt. Die Grundformen Diamant und Graphit sind seit langem bekannt. In den letzten Jahren haben von Graphit abgeleitete Nanostrukturen viel Aufmerksamkeit erregt. Eine Gruppe dieser Nanostrukturen umfaßt die Fullerene, deren Prototyp C-60 eine Hohlkugel aus 60 Kohlenstoff-Atomen ist. Diese Hohlkugel hat einen Durchmesser von etwa 1 nm. Eine andere Gruppe sind die Kohlenstoff-Nanoröhrchen (Carbon Nanotubes). Diese Röhrchen können ein- oder mehrwandig sein, haben einen Innendurchmesser von einem bis zu zehn oder zwanzig Nanometern und erreichen Längen von einigen hundert Nanometern bis zu einigen Millimetern. Die Kohlenstoff-Nanoröhrchen sind chemisch sehr stabil, können unter Luftausschluß bis zu 2 000 Grad erhitzt werden, gehören mit einem Elastizitätsmodul von 1 Terapascal zu den festesten bekannten Festkörpern und sind – elektrisch betrachtet – entweder Metalle oder schmalbandige Halbleiter. Es darf uns nicht wundern, wenn diese Gebilde unsere Phantasie beflügeln und uns zu Experimenten über Einzelelektronen-Effekte und Quanteninterferenzen anregen und uns an solche Anwendungen denken lassen wie Nanotransistoren in superintegrierten Schaltkreisen, kalte Elektronenquellen für Flachbildschirme, Wasserstoff-Speicher für Brennstoffzellen-getriebene Autos, künstliche Muskeln und nanofaserverstärkte Verbundwerkstoffe. Angeregt durch die Euphorie um die Kohlenstoff-Nanoröhrchen sind in den letzten Jahren auch Nanoröhrchen aus Übergangsmetall-Chalkogeniden (Wolframsulfid, Vanadiumoxid) und aus anderen Stoffen entdeckt und untersucht worden.
Herstellung
Grob gesprochen sind die Nanoröhrchen eine Art Ruß. Wann immer Kohlenwasserstoff-Verbindungen unvollständig verbrennen, entstehen auch ein paar Nanoröhrchen. Heute sind drei Herstellungsverfahren bedeutsam:
1. Kohlenstoff-Bogenlampe (Krätschmer-Generator): Zwei Graphitelektroden werden an einen Schweiß-Transformator angeschlossen. Im Entladungsbogen wird der Graphit verdampft. Wenn man das Kohlenstoff-Plasma durch Kollision mit den Atomen eines inerten Gases (Helium, Argon) rasch abkühlt [1], entstehen verschiedene Ruß-Nanaopartikel: Fullerene, amorpher Kohlenstoff, Nanoröhrchen [2]. Durch Zugabe von Katalysatoren aus Eisen, Nickel, Kobald u.a. kann man hohe Ausbeuten an einwandigen Nanoröhrchen erreichen [3].
2. Laser-Ablation: Ein Graphit-Target wird durch Laserbestrahlung im Inertgas verdampft [4]. Wiederum sind Katalysatoren notwendig, um gezielt einwandige Röhrchen zu erhalten. Vermutlich sorgen die besseren Strömungsverhältnisse des Inertgases dafür, daß bei diesem Verfahren längere Röhrchen erhalten werden als im Krätschmer-Generator.
3. Thermische Zersetzung von Kohlenwasserstoffen: Kohlenwasserstoffe (Acetylen, Benzol u.a.) werden über Katalysatorpartikeln erhitzt [5,6,7,8,9]. Dieses Verfahren hat den Vorteil, daß es am ehesten großtechnisch anwendbar ist. Je nach Wahl der Prozeßparameter entstehen einwandige oder mehrwandige Nanoröhrchen oder auch Nanofasern und Übergangsformen zwischen Fasern und Röhrchen. Eine dieser Übergangsformen, bei der die Graphitschichten eher konische Hütchen als zylindrische Röhrchen bilden, scheint für die Wasserstoff-Speicherung besonders geeignet zu sein [10].
Für die meisten Zwecke müssen die Nanoröhrchen nach der Herstellung noch ›gereinigt‹ werden. Ein einfaches Reinigungsverfahren besteht darin, heißen Sauerstoff über das Rohmaterial zu blasen. Perfekte ebene Graphitflächen sind ziemlich stabil, aber die Ränder und gekrümmte Teile werden vom Sauerstoff leicht angegriffen. Die Sauerstoff-Behandlung entfernt hauptsächlich die Partikel aus amorphem Kohlenstoff und brennt die Endkappen der Röhrchen ab. Die glatten zylindrischen Teile bleiben eher übrig. Doch meistens geht bei diesem Verfahren auch ein großer Teil der Nanoröhrchen verloren. Schonender ist das Kochen in Salpetersäure. Doch wenn größere Mengen von Röhrchen benötigt werden, sind eher Filtrations- und Chromatographie-Verfahren zu empfehlen. Dazu müssen die Nanotubes zunächst mit Hilfe von Detergenzien in stabile Suspensionen gebracht werden [11,12]. Heute (Stand: August 1999) gibt es mehrere kleine Firmen, oft Ableger der Universitäts-Forschung, die Nanotubes als Pulver, in Suspension oder als ›Buckypaper‹ anbieten. (Die Bezeichnung Buckypaper leitet sich vom Fulleren ab, das nach dem Architekten Buckminster Fuller benannt worden ist, der Kuppelbauten aus Fünfecken und Sechsecken konstruiert hat, und die so ähnlich aussehen wie die neuen Kohlenstoff-Modifikationen). Buckypaper erhält man, wenn man eine gereinigte Suspension langer einwandiger Röhrchen durch einen engporigen Teflonfilter saugt (Porengröße etwa 0,25 μm). Auf dem Filter scheidet sich ein schwarzer Film ab, der sich leicht ablösen läßt.
Abb. 1 zeigt eine Probe aus Buckypaper im Rasterelektronenmikroskop [13]. Das Bild erinnert an einen Teller Spaghetti. Doch was wie eine Spaghetti-Nudel aussieht, ist nicht etwa ein einzelnes Nanoröhrchen sondern ein Bündel (Rope) aus etwa zehn bis hundert Röhrchen. In Abb. 2 sehen wir ein solches Bündel im hochauflösenden Transmissions-Elektronenmikroskop [3]. Wo das Bündel durch die Bildebene stößt, sind die einzelnen Röhrchen deutlich zu erkennen. Sie bilden ein regelmäßiges Dreiecksgitter. Dieses regelmäßige Gitter führt auch zur Beugung von Röntgenstrahlen ([11], siehe Abb. 3 ). Abb. 4 zeigt im hochauflösenden Elektronenmikroskop einige dünne Bündel aus einwandigen Kohlenstoff-Nanoröhrchen, die aus einem Klumpen amorphen Kohlenstoffs herausragen [14] und Abb. 5 ein einzelnes mehrwandiges Röhrchen [15]. Den Hohlraum im Inneren der Röhrchen kann man mit verschiedenen Stoffen füllen, so z.B. auch mit Metallen.
Elektronische Bandstruktur
Um einen Überblick über das physikalische und insbesondere das elektronische Verhalten der Kohlenstoff-Nanoröhrchen zu erlangen, betrachtet man am besten das sog. Graphen. Graphen ist ein abstrakter zweidimensionaler Festkörper, der aus einer einzigen Graphitschicht besteht (Die Endung ›en‹ deutet, wie in der organischen Chemie üblich, die Doppelbindungen an). Durch regelmäßiges Aufeinanderstapeln von Graphenlagen erhält man Graphit-Kristalle, Rollen von Graphen führt zu Nanoröhrchen. Beim Rollen kann man nicht nur den Durchmesser variieren, man kann auch schraubenartig rollen und die Ganghöhe der Schraube einstellen. Schraubenartiges Rollen führt zu sog. ›helischen‹ oder ›chiralen‹ Röhrchen. Die Röhrchen kann man nach dem ›Aufroll-Vektor‹ klassifizieren. Dazu denkt man sich einen Gürtel am Mantel des Röhrchens, schneidet das Röhrchen auf und betrachtet den Gürtel als Vektor im Kristallgitter des Graphens. Die Vektorkomponenten m und n bestimmen dann das Röhrchen eindeutig (siehe Abb. 6 ) [17].
Die elekronischeBandstruktur des Nanoröhrchens ergibt sich aus der des Graphens und den Randbedingungen beim Rollen. Grob gesprochen kann man sagen, daß sich ein Nanoröhrchen im Querschnitt wie ein Molekül verhält, entlang der Achse aber wie ein ausgedehnter Festkörper. Das ist auch nicht verwunderlich, denn der Durchmesser von einigen Nanometern entspricht gerade dem Durchmesser eines größeren Moleküles, die Länge von Mikrometern ist dagegen schon ›unendlich‹. Die elektronische Zustandsdichte eines (9,0) bzw. eines (10,0) Nanoröhrchens ist in Abb. 7a und 7b dargestellt [17]. Charakteristisch sind die Spitzen in der Zustandsdichte, die vom Einschluß der Elektronen im kleinen Rohrquerschnitt herrühren. Die Spitzen erinnern an die Elektronenorbitale in Molekülen. Die quadratwurzelförmigen Ausläufer der Spitzen sind auf die Delokalisierung der Elektronen in Richtung der Röhrenachse zurückzuführen. Genau genommen handelt es sich bei diesen Spitzen um Van-Hove-Singularitäten, die typisch für eindimensionale Elektronensysteme sind. Der Nullpunkt der Energieskala markiert das Fermi-Niveau. Wenn die Zustandsdichte an dieser Stelle Null ist, ist die Röhre ein Halbleiter und der Abstand der beiden inneren Singularitäten ist die Energielücke ( Abb. 7b ). Ist die Zustandsdichte ungleich Null, ist die Röhre metallisch, und zwischen den Singularitäten befindet sich nur ein Pseudo-Gap. Je dicker die Röhren, desto kleiner werden die Gaps und Pseudo-Gaps, und für unendlich dicke Röhren findet man wieder das metallische Verhalten des Graphens.
Die Zustandsdichte von Nanoröhrchen kann man durch Tunnelspektroskopie bestimmen: Man legt das Röhrchen auf ein gut leitendes Substrat und läßt Elektronen aus der Spitze eines Tunnelmikroskopes in das Röhrchen tunneln. Da der Tunnelstrom um so größer ist, je mehr Zustände zur Verfügung stehen, kann man die Zustandsdichte aus der Ableitung der Tunnelcharakteristik bestimmen. Abb. 8 zeigt die so bestimmte Zustandsdichte für eine ziemlich dicke Nanoröhre aus reinem Kohlenstoff und für eine ›dotierte‹ Röhre, in der einige Kohlenstoff-Atome durch Bor ersetzt worden sind [18].
Elektrische Leitfähigkeit
Wenn man mit Krokodilklemmen und einem Ohm-Meter an ein Stück Buckypaper geht (Buckypaper besteht aus Millionen von einzelnen Nanoröhrchen, ist ›makroskopisch‹ und kann ohne besondere Experimentierkunst wie ein Stück Blech behandelt werden), mißt man meistens Leitfähigkeitswerte, die mit Graphit vergleichbar sind (einige 100 Siemens / cm). Bereits dieser Umstand alleine macht die Nanoröhrchen zu einem sehr nützlichen Material: Man kann sie wie Graphitpartikel oder Leitruß anderen Stoffen zusetzen, um diese leitfähig zu machen. Da die Nanoröhrchen aber ein sehr großes Verhältnis von Länge zu Durchmesser haben, muß man wesentlich weniger Volumenanteile beimengen, um die gleiche Leitfähigkeit zu erhalten.
Man kann elektrischen Transport aber nicht nur an Buckypaper und anderen Netzwerken messen, sondern auch an einzelnen Nanoröhrchen. Abb. 9 zeigt ein Nanoröhrchen, das über zwei Platinelektroden liegt [19]. Eine solche Anordnung hat meistens sehr hohe Kontaktwiderstände. Dann verhält sich das Nanoröhrchen wie ein Quantenpunkt, und man kann die Elektronen einzeln injizieren. Die Kapazität des Nanoröhrchens liegt in der Größenordnung von einigen Attofarad, so daß sich das Potential bei jedem injizierten Elektron um einige Millivolt oder mehr ändert. Ein weiteres Elektron kann dann nur folgen, wenn man die Injektionsspannung (›bias‹) entsprechend erhöht. Dieser Coulomb-Blockade genannte Effekt führt zu stufenförmigen Strom-Spannungs-Kennlinien, wie man sie auch aus der Halbleiter-Nanotechnologie kennt ( Abb. 10 , [19]).
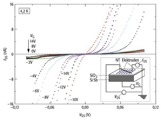
In Abb. 9 ist noch eine dritte Elektrode zu erkennen. Diese kann man als Gate verwenden und damit den Stromdurchfluß durch das Nanoröhrchen steuern. Praktischer ist meistens ein sog. Back-Gate, d.h. eine Steuer-Elektrode die die ganze Unterseite der Anordnung bedeckt. In Abb. 11 (Inset) ist ein Nanoröhren-Transistor gezeigt. Auf der Oberseite eines Silicium-Chips liegt eine dünne isolierende Silicium-Oxid-Schicht, und darauf sind mehrere Goldstreifen im Abstand von etwa 100 Nanometern angebracht [20]. Über den Goldkontakten liegt ein Nanoröhrchen. Irgend zwei der Goldstreifen kann man als Source- und Drain-Kontakte verwenden, der Antimon-dotierte Silicium-Körper ist gut leitend und bildet das Gate. Die Abbildung zeigt die Ausgangscharakteristik des Transistors für verschiedene Gate-Spannungen. Mit der Gate-Spannung kann man den Strom durch das Nanoröhrchen um bis zu fünf Größenordnungen modulieren. Je nach Art des Nanoröhrchens und nach Größe der Kontaktwiderstände findet man Transistoren mit kontinuerlichen Kennlinien und solche mit Stufen in den Kennlinien, die auf Einzelelektronen-Effekte zurückzuführen sind (Coulomb-Blockade, Einzelelektronen-Transistor).
Wenn man die Kontaktwiderstände zwischen den Zuleitungen und dem Nanoröhrchen hinreichend klein machen kann, müßte sich das Röhrchen wie ein Quantendraht verhalten. D.h. der Widerstand dürfte weder vom Querschnitt noch von der Länge abhängen, und der Leitwert müßte ganzzahlige Vielfache des Leitwertsquantums annehmen (Das Leitwertsquantum setzt sich nur aus Naturkonstanten zusammen und beträgt etwa 100 Mikrosiemens). Bei Röhrchen, die auf Substraten aufliegen, ist dies bisher nicht gelungen. Vermutlich induzieren die Substrate zu viele Störungen. De Heer konnte aber das eine Ende eines Nanoröhrchen-Bündels an die Spitze eine Tunnelmikroskopes kleben und das andere Ende in Quecksilber tauchen, so daß er Transportmessungen an frei tragenden Nanoröhrchen durchführen konnte. Abb. 12 zeigt seine Ergebnisse. Der Leitwert ist als Funktion der Tiefe aufgetragen, die das Bündel in das Quecksilber tauchte. Je nach Tiefe tauchen ein oder mehrere Röhrchen in das Quecksilber, und die Leitwertsquantelung ist deutlich zu sehen [21].
Chemische Selbstanordnung
Es wird vielfach darüber diskutiert, ob man Nanoröhrchen als nanoelektronische Bauelemente einsetzen kann. Als Quantenpunkte, Quantendrähte und Feldeffekttransistoren sind sie schließlich erheblich kleiner als die entsprechenden Bauelemente aus Silicium oder Galliumarsenid. Aber dazu muß man die Nanoröhrchen gezielt anordnen können. Heute kann man Nanoröhrchen mit der Spitze eines Tunnelmikrosopes auf einem Substrat herumschieben oder man kann aus zufälligen Anordnungen eine geeignete heraussuchen. Beides sind Verfahren, die mehrere Stunden für ein einziges Bauelement erfordern. Wie soll man da einen Gigabit-Speicher bauen? Dazu sind hochparallele Verfahren erforderlich. Ein Ansatz hierfür ist die chemische Selbstanordnung: Man muß die Nanoröhrchen chemisch so verändern, daß sie den Platz von selbst finden, an den sie gehen sollen. Abb. 13 zeigt Nanoröhrchen, die sich vorzugsweise parallel (oben) bzw. senkrecht (unten) zu den Leiterbahnen auf einem Silicium/Siliciumoxid-Substrat angeordnet haben [22]. Der Ausrichtungseffekt wurde durch chemische Oberflächenbehandlung des Substrats und entsprechende Wahl der Detergensmoleküle erreicht, die die Nanoröhrchen in der Suspension einhüllen.
Feldemission
Um Elektronen aus einem Festkörper zu entfernen, muß man die Austrittsarbeit aufbringen. Dies kann durch Erwärmen geschehen, oder ein elektrisches Feld kann die nötige Energie zu Verfügung stellen. Besondere Geometrien können die Feldemission begünstigen. Insbesondere an scharfen Spitzen tritt leicht Feldemission auf. Nun gibt es aber auf der Welt kaum etwas Spitzeres als das Ende eines Nanoröhrchens! Wenn man zwischen Nanoröhrchen, die wie Bäume im Wald auf einem leitenden Substrat stehen, und einem darüberliegenden Gitter einige Volt Spannung anlegt, kann man aus den Nanoröhrchen Elektronen herausziehen und diese so beschleunigen, daß sie Chromophoren zum Leuchten bringen, wenn sie darauf treffen [23]. Solche kalten Elektronenquellen werden vor allem im Zusammenhang mit flachen Bildschirmen diskutiert, die künftig die unhandlichen Braunschen Röhren der Fernsehapparate und die Monitoren unserer Computer ersetzen sollen. Abb. 14 zeigt schematisch einen ›Nanotube-Flachbildschirm‹ [24].
›Künstliche Muskeln‹
In der Molekülphysik ist es nicht ungewöhnlich, daß das geladene Molekül (das Ion) eine andere geometrische Form hat als das neutrale. Auch vom Graphit wissen wir, daß sich die Bindungslängen in einer Graphitschicht ändern, wenn man den Graphit interkaliert. Interkalieren heißt z.B., Kalium einzulagern. Natürlich quillt dann der Graphitkristall, weil das Kalium zwischen die Schichten geht. Aber die Elektronen, die das Kalium mitbringt, und die beim Interkalieren die Graphitschichten negativ aufladen, bewirken auch eine Vergrößerung der Kohlenstoff-Kohlenstoff-Abstände innerhalb der Graphitschichten. Diese kann bis zu 1 % betragen und kann mit Röntgenbeugung leicht nachgewiesen werden. Genau diesen Effekt nutzt man auch bei den Aktuatoren aus Nanoröhrchen aus. Aktuatoren sind die bewegten Teile von Robotern. Insofern sind sie ›künstliche Muskeln‹. (Herkömmliche Aktuatoren sind Motoren, hydraulische und pneumatische Zylinder und piezoelektrische Vorrichtungen).
Bisher gibt es Nanotube-Aktuatoren nur aus Buckypaper, noch nicht aus einzelnen Nanoröhrchen. Abb. 15 zeigt einen solchen Aktuator schematisch. Ein Tesafilm ist beidseitig mit Buckypaper beklebt. Er wird in ein elektrolytisches Bad gesteckt (Salzwasser), und zwischen beiden Seiten wird eine Spannung von etwa 1 V angelegt. Beide Seiten werden elektrisch geladen, und beide Seiten dehnen sich aus. Da die Ausdehnung aber unsymmetrisch ist, dehnt sich eine Seite mehr als die andere, und der Streifen krümmt sich. Der Hub ist größer und die notwendige elektrische Spannung ist viel geringer als bei Piezoantrieben, und wegen des großen Elastizitätsmoduls der Nanoröhrchen kann man hohe Gütezahlen erreichen [25].
Wasserstoff-Speicherung
Wenn man Nanoröhrchen mit Metallen füllen kann, wenn man die Ionen des Salzwassers an oder in Nanoröhrchen bringen kann, dann liegt es nahe, zu versuchen, ob sich Nanotubes auch zur Wasserstoff-Speicherung eignen. In fast allen graphitischen Modifikationen des Kohlenstoffs kann man ein wenig Wasserstoff speichern. Wenn man 6 bis 8 Gewichtsprozent speichern könnte, könnte man das Benzin in unseren Kraftfahrzeugen ohne wirtschaftliche Einbußen durch Wasserstoff ersetzen und so schadstofffrei Auto fahren. Es gibt einige vorläufige Untersuchungen, die uns durchaus optimistisch stimmen [10,26,27].
Ausblick
Man kann sich fragen, wie es möglich ist, daß ein neues Material so viele Probleme der Menschheit auf einmal lösen können soll. Das klingt sehr nach dem Stein der Weisen, der Schlangenbisse heilt, aus Stroh Gold macht und die Zukunft vorhersagt. Aber Nanoelektronik, künstliche Muskeln und Wasserstoff-Speicherung haben durchaus Gemeinsamkeiten, die auf den elektronischen und mechanischen Eigenschaften der Nanoröhrchen beruhen.
Literatur:
[1] W. Krätschmer, L.D. Lamb, K. Fostiropoulous, D. Huffmann: Nature 347, 354 (1990).
[2] S. Iijima: Nature 354, 56 (1991).
[3] C. Journet, W.K. Maser, P. Bernier, A. Loiseau, M. Lamy de la Chapelle, S. Lefrant, P. Deniard, R. Lee, J.E. Fischer: Nature 388, 756 (1997).
[4] T. Guo, P. Nikolaev, A. Thess, D.T. Colbert, R. Smalley: Chem. Phys. Lett. 243, 49 (1995).
[5] V. Ivanov, J.B. Nagy, P. Lambin, A. Lucas, X.B. Zhang, D. Bernaerts, G. van Tendeloo, S. Amelinckx, J. Van Landuyt: Chem. Phys. Lett. 223, 329 (1994).
[6] H.M. Cheng, F. Li, X. Sun, S.D.M. Brown, M.A. Pimenta, A. Marucci, G. Dresselhaus, M.S. Dresselhaus: Chem. Phys. Lett. 289, 602 (1998).
[7] S. Huang, L. Dai, A.W.H. Mau: J. Phys. Chem. B 103, 4223 (1999).
[8] S. Fan, M.G. Chapline, N.R. Franklin, T.W. Tombler, A.M. Cassell, H. Dai: Science 283, 512 (1999).
[9] Z. F. Ren, Z.P. Huang, J.W. Xu, J.H. Wang, P. Bush, M.P. Siegal, P.N. Provencio: Science 282, 1105 (1998).
[10] P. Chen, X. Wu, J. Lin, K.L. Tan: Science 285, 91 (1999).
[11] A.G. Rinzler, J. Liu, H. Dai, P. Nikolaev, C.B. Huffman, F.J. Rodríguez-Macías, P.J. Boul, A.H. Lu, D. Heymann, D.T. Colbert, R.S. Lee, J.E. Fischer, A.M. Rao, P.C. Smalley: Appl. Phys. A 67, 29 (1998)
[12] G.S. Düsberg, M. Burghard, J. Muster, G. Philipp, S. Roth: Chem. Commun., 435 (1998).
[13] C. Journet: unveröffentlicht.
[14] N. Chopra: unveröffentlicht.
[15] P. Redlich: unveröffentlicht.
[16] F. Zha: unveröffentlicht.
[17] M.S. Dresselhaus: Nature 391, 19 (1998).
[18] S. Roth, S. Blumentritt, M. Burghard, O. Jaschinski, K. Liu, J. Muster, G. Philipp, F. Zha, P. Redlich, D.L. Carrol, P.M. Ajayan, S. Curran, G. Düsberg: Thin Solid Films 331, 45 (1998).
[19] S.J. Tans, M.H. Devoret, H. Dai, A. Thess, R.E. Smalley, L.J. Geerligs, C. Dekker: Nature 386, 474 (1997).
[20] K. Liu, M. Burghard, S. Roth, P. Bernier: Appl. Phys. Lett., im Druck.
[21] S. Franck, P. Poncharal. Z.H. Wang, W.A. de Heer: Science 280, 1744 (1998).
[22] M. Burghard, G. Düsberg, G. Philipp, J. Muster, S. Roth: Adv. Mater 10, 584 (1998).
[23] W.A. de Heer, A. Châtelain, D. Ugarte: Science 270, 1179 (1995).
[24] R. Sietmann: c't (Verlag Heinz Heise GmbH & Co KG Hannover) 18, 178 (1999).
[25] R.H. Baughman. C. Cui, A.A. Zakhidov, Z. Iqbal, J.N. Barisci, G.M. Spinks, G.G. Wallace, A. Mazzoldi, D. De Rossi, A.G. Rinzler, O. Jaschinski, S. Roth, M. Kertesz: Science 284, 1340 (1999).
[26] A.C. Dillon, K.M. Jones, T.A. Bekkedahl, C.H. Kiang, D.S. Bethune, M.J. Heben: Nature 386, 377 (1997).
[27] Y. Ye, C.C. Ahn. C. Witham, B. Fultz, J. Liu, A.G. Rinzler, D. Colbert, K.A. Smith, R.E. Smalley: Appl. Phys. Lett. 74, 2307 (1999).

Nanoröhrchen 10: Einzelelektronentunneln in Nanoröhrchen. Die Kennlinie zeigt Stufen, die dadurch zustande kommen, daß die bereits auf dem Röhrchen sitzenden Elektronen das Potential des Röhrchens erhöhen, so daß die angelegte Spannung vergrößert werden muß, bis ein weiteres Elektron folgen kann (Coulomb-Blockade) [19].

Nanoröhrchen 12: Quantelung des elektrischen Leitwertes in Kohlenstoff-Nanoröhrchen [21].













Wenn Sie inhaltliche Anmerkungen zu diesem Artikel haben, können Sie die Redaktion per E-Mail informieren. Wir lesen Ihre Zuschrift, bitten jedoch um Verständnis, dass wir nicht jede beantworten können.