Lexikon der Physik: numerische Integration
numerische Integration, die Aufgabe, Integrale oder die Lösung von Differentialgleichungssystemen numerisch zu berechnen. Das Gebiet der numerischen Integration gehört zu den wichtigsten der numerischen Mathematik und den angewandten Wissenschaften. Die verwendeten Verfahren, von denen viele in Programmbibliotheken oder numerischer Software enthalten sind, für die verschiedenen Integrationsprobleme (ein- und mehrdimensionale Integrale, gewöhnliche, differentiell-algebraische oder partielle Differentialgleichungen) unterscheiden sich erheblich in ihrer Methodik und Konzeption.
1a) Der einfachste Fall ist die Auswertung des Integrals ![]()
für eine auf dem Intervall ![]()
stetige und reellwertige Funktion ![]()
. Dabei wird ![]()
durch die Quadraturformel
mit geeigneten Stützstellen ![]()
und von ![]()
unabhängigen Gewichten ![]()
approximiert, wobei man zu vorgegebenem Fehler ![]()
die Approximation ![]()
, d.h. ein Konstruktionsverfahren zur Bestimmung von ![]()
und ![]()
so bestimmen möchte, daß für eine möglichst große Klasse von stetigen Funktionen ![]()
erfüllt ist. Hierzu bieten sich interpolierende Quadraturformeln an, die ![]()
durch Interpolation von ![]()
durch Grundfunktionen ![]()
einer bestimmten Funktionenklasse ![]()
(z.B. Polynome) berechnen und auf ![]()
exakt sind, d.h. für alle ![]()
gilt ![]()
. Die Newton-Cotes Formeln sind ein Beispiel für eine interpolierende Quadraturformel, die auf einem System äquidistanter Stützstellen aufbaut. Basiert eine interpolierende Quadraturformel auf einer Schrittweitenfolge ![]()
, die gegen Null konvergiert (Beispiel: sukzessive Intervallhalbierung ![]()
mit ![]()
), so kann unter bestimmten Voraussetzungen die Folge ![]()
extrapoliert, d.h. konvergenzbeschleunigt werden. Ein Beispiel hierfür ist das Romberg-Verfahren, das aus einer Extrapolation der Trapezregel mit Hilfe des Neville-Algorithmus hervorgeht. Für Funktionen, die in einigen Bereichen des Intervalls ![]()
eine starke, in anderen jedoch nur wenig Krümmung aufweisen, bieten sich adaptive Verfahren an, die automatisch die Stützstellen im Integrationsintervall so wählen, daß der Integrationsfehler klein wird und sich somit dem Integranden anpassen.
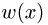
Ein weiteres Verfahren, nämlich das Gaußsche Integrationsverfahren, (Gauß-Quadratur) erhält man durch die Betrachtung der Integrale ![]()
, wobei ![]()
eine auf ![]()
positive und stetige Funktion ist und ![]()
wieder durch ![]()
approximiert werden soll. Allerdings wird nun auf die äquidistante Verteilung der Stützstellen ![]()
verzichtet, und sowohl die Gewichte ![]()
als auch ![]()
dürfen frei gewählt werden, wobei eine exakte Integration von Polynomen bis zum Grade ![]()
erzielt wird, wenn man die Stützstellen ![]()
als Nullstellen der mit Hilfe des Skalarproduktes

und z.B. des Gram-Schmidtschen Orthogonalisierungsverfahrens erzeugten orthogonalen Polynome ![]()
wählt. Die Gewichte ![]()
berechnen sich aus der Vorschrift

wobei ![]()
die Nullstellen des ![]()
-ten Orthogonalpolynoms bezeichnet (es läßt sich zeigen, daß diese Nullstellen sämtlich reell, einfach und in ![]()
gelegen sind) und ![]()
das Lagrangesche Fundamentalpolynom zu den ![]()
als Stützstellen ist. In praktischen Anwendungen werden je nach Intervall ![]()
und Gewichtsfunktionen ![]()
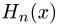
die Legendre- ( ![]()
), Tschebyschew- ( ![]()
), Laguerre- ( ![]()
) oder Hermite-Polynome ![]()
verwendet (siehe Tabelle).
Bei festem ![]()
und gleichem Rechenaufwand ist die Gauß-Integration genauer als die interpolierenden Quadraturformeln. Allerdings verliert man beim Übergang von ![]()
nach ![]()
sämtliche bereits ausgewerteten Funktionswerte; an dieser Stelle erweisen sich Extrapolationsverfahren als vorteilhafter.
Manchmal kann es auch nützlich sein, wenn ein leistungsstarker Integrator für gewöhnliche Differentialgleichungen verfügbar ist, das Integral ![]()
mit Hilfe der Differentialgleichung
und der Anfangsbedingung ![]()
und ![]()
zu berechnen. Schließlich seien noch Monte-Carlo-Methoden als Integrationsverfahren erwähnt.
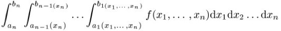
1b) Mehrdimensionale Integrale

wird man, insbesondere wenn einfache Integrationsgrenzen oder Randdarstellungen dies zulassen, versuchen, auf eindimensionale Integrale zurückzuführen, um dann die oben erwähnten Verfahren anzuwenden. Gelingt dies nicht, so wird man eine zu eindimensionalen Integralen analoge Darstellung

mit geeigneten Gewichten ![]()
und Stützstellen ![]()
wählen; ist insbesondere der Rand eine schwierige Funktion, so kommen Monte-Carlo-Methoden zum Einsatz.
1c) Die Auswertung von Integralen ![]()
auf endlichen Intervallen, bei denen ![]()
oszillatorisches Verhalten zeigt – derartige Integrale treten im Zusammenhang mit Fourier-Reihen auf – erfolgt mit Hilfe von Tschebyschew-Interpolationspolynomen, Tschebyschew-Entwicklungen und der Verwendung von Bessel-Funktionen.
1d) Die numerische Integration experimentieller Daten, die möglicherweise noch irregulär verteilt sind, führt man am besten durch, in dem man die Meßdaten mit Hilfe von spline-Funktionen interpoliert und diese dann integriert.
2a) Numerische Methoden zur Integration gewöhnlicher Differentialgleichungssysteme, die als Anfangswertprobleme
vorliegen, lassen sich in vier Klassen unterteilen: Einschrittverfahren (Beispiel: Runge-Kutta-Methoden), Mehrschrittverfahren (Beispiele: Adams-Bashforth-Verfahren, Adams-Moulton-Verfahren), Prädiktor-Korrektor-Methoden und Extrapolationsverfahren (Bulirsch-Stoer-Verfahren). Das Polygonzug-Verfahren von Euler (Euler-Cauchy-Verfahren), hergeleitet aus der Taylor-Reihenentwicklung

zeigt die Idee eines expliziten Einschrittverfahrens ![]()
: das Verfahren ist rekursiv und ein weiterer Wert ![]()
läßt sich allein aus seinem Vorgänger ![]()
(und natürlich ![]()
, ![]()
und ![]()
) berechnen. Würde ![]()
auch von ![]()
abhängen, so läge ein implizites Einschrittverfahren vor. Ein allgemeines ![]()
-Schrittverfahren läßt sich mit ![]()
dagegen in der Form

schreiben; zu beachten ist, daß ein ![]()
Schrittverfahren mit ![]()
Startwerten initialisiert werden muß, die man z.B. mit Hilfe eines Einschrittverfahrens berechnen kann.
2b) Numerische Methoden zur Integration impliziter Differentialgleichungen ![]()
oder differential-algebraischer Systeme
mit konsistenten Anfangsbedingungen ![]()
und ![]()
lassen sich durch den Index charakterisieren und als Differentialgleichungen auf Mannigfaltigkeiten interpretieren; dies erlaubt eine Kombination von Integrationsverfahren gewöhnlicher Differentialgleichungen und nichtlinearen Gleichungslösern mit Homotopietechniken. Das Problem (*) hat Index 1, wenn die Matrix ![]()
regulär ist. Derartige Probleme treten in der chemischen Verfahrenstechnik oder Elektrotechnik auf; in der Mehrkörpermechanik und Robotik liegt meist ein Index-3-Problem vor. Die algebraische Gleichung ![]()
wird mit Hilfe des im Grenzwert gegen 0 strebenden Homotopieparameters ![]()
in die Differentialgleichung
eingebettet.
2c) Numerische Methoden zur Integration gewöhnlicher Differentialgleichungssysteme, die als Randwertprobleme
mit ![]()
auf einem Intervall ![]()
vorliegen, lassen sich in vier Klassen unterteilen: Einschießverfahren, Mehrzielmethode, Differenzenverfahren und Variationsverfahren (Ritz-Galerkin-Verfahren). Liegen die Randwertbedingungen bei einem Differentialgleichungssystem zweiter Ordnung ![]()
in Form zweier separierter, expliziter Randbedingungen vor, z.B. ![]()
und ![]()
, so besteht das intuitiv einleuchtende, aber, je nach Problem, numerisch nicht sehr stabile Einschießverfahren darin, von ![]()
ausgehend ein Anfangswertproblem zu lösen, wobei die unbekannte Anfangssteigung ![]()
dazu verwendet wird, auf die Bedingung ![]()
zu zielen und diese, z.B. mit Hilfe des Newton-Verfahrens zu erfüllen. Allgemeiner ist der Fall, daß für die beiden Intervallgrenzen jeweils einige, aber weniger als ![]()
Bedingungen zu erfüllen sind. Diesen Fall trifft man z.B. bei den den Sternaufbau beschreibenden Differentialgleichungen, deren unabhängige Variable ![]()
die Masse ![]()
ist, an; einige Größen, z.B. die Temperatur, sind an der Sternoberfläche bekannt, andere, wie Radius und Leuchtkraft, im Zentrum ( ![]()
) des Sterns, wo sie den Wert 0 annehmen. In der Mehrzielmethode verwendet man ein an das Problem angepaßtes Gitter ![]()
von ![]()
Stützstellen ![]()
( ![]()
Teilintervalle ![]()
),
welches das Intervall ![]()
überdeckt und die Punkte ![]()
enthält, und die diskrete Trajektorie ![]()
wird als Variable eingeführt; die ![]()
sind dabei die Anfangswerte der Teiltrajektorien. Integriert wird dabei jeweils von ![]()
bis ![]()
. Zu einer gegebenen Schätzung des Variablenvektors ![]()
berechnet man die Lösungen ![]()
der ![]()
unabhängigen Anfangswertprobleme auf jedem Teilintervall ![]()
und erhält so eine (zunächst unstetige) Parameterisierung von ![]()
. Durch die zusätzlichen Anschlußbedingungen ![]()
wird die Stetigkeit der Lösung gesichert. Zusammen mit den ursprünglichen Randbedingungen ![]()
liegt damit ein nichtlineares Gleichungssystem in den Variablen ![]()
vor, das in den meisten Fällen mit Hilfe des Newton-Verfahrens gelöst wird; problematisch kann dabei die Startinitialisierung von ![]()
sein. In obigem Beispiel mit zwei Randwertbedingungen könnte z.B. die Verbindungsgerade von ![]()
nach ![]()
zur Initialisierung von ![]()
verwendet werden. Das Mehrzielverfahren läßt sich gut mit der Methode der kleinsten Quadrate kombinieren, wenn die zu schätzenden Parameter in einem Differentialgleichungsmodell auftreten.
3a) Numerische Methoden zur Integration partieller Differentialgleichungssysteme hängen sehr vom Typ des Systems ab. Insbesondere unterscheiden sich diese Methoden hinsichtlich der Diskretisierung, die das Differentialgleichungssystem in ein endliches System algebraischer Gleichungen überführt. Randwertprobleme führen auf elliptische Systeme; hier eignen sich die Finite-Elemente-Methode (FEM; die Lösung wird durch endliche Linearkombinationen bekannter Basisfunktionen gewonnen) oder das Finite-Differenzen-Verfahren (FDV; der Integrationsbereich wird durch ein endliches Gitter ersetzt und Ableitungen werden durch Differenzen ersetzt). Zeitabhängige Probleme, die stets neben möglichen (geometrischen Randbedingungen) Anfangswertbedingungen enthalten und zeitlich instationäre Probleme beschreiben, führen auf parabolische oder hyperbolische Systeme; hier sind die erwähnten Verfahren nur bedingt verwendbar; insbesondere sind explizite FDV (der gegenwärtige Zeitschritt hängt nur von früheren ab) nur bedingt stabil, während implizite FDV (das Differenzenschema kann nicht explizit hinsichtlich des gegenwärtigen Zeitsschritts aufgelöst werden) unbedingt stabil sind. Parabolische partielle Differentialgleichungssysteme lassen sich mit Hilfe der Methode der Linien (MdL) auf ein System gewöhnlicher Differentialgleichungen zurückführen. Dies entspricht einer Finite-Differenzen- oder Finite-Elemente-Diskretisierung im räumlichen Bereich. Die MdL wird besonders häufig verwendet bei zeitabhängigen partiellen Differentialgleichungsmodellen mit nur einer räumlichen Variablen und führt auf ein gekoppeltes System von ![]()
gewöhnlichen Differentialgleichungen, wenn ![]()
die Anzahl der Diskretisierungspunkte bezeichnet. Beispiel: Die Diffusionsgleichung

mit Diffusionskoeffizienten![]()
erlaubt die räumliche Diskretisierung nach ![]()

Approximiert man die räumliche Ableitung ![]()
durch ihre finiten Differenzen

so kann die Diffusionsgleichung durch die ![]()
gewöhnlichen Differentialgleichungen

ersetzt werden. Hyperbolische Differentialgleichungen leiten sich meist aus strömungsmechanischen Problemen ab (Euler-Gleichungen, Navier-Stokes-Gleichungen), die aus first-principles abgeleitete Erhaltungssätze für Masse, Impuls und Energie darstellen; sie treten häufig in der Gasdynamik, im Flugzeugbau oder bei re-entry Problemen von Raumfahrzeugen auf, führen auf Unterschall- und Überschallproblematik, die sich in Form von Unstetigkeiten (Schocks, Kontaktdiskontinuitäten) in den Lösungen bemerkbar macht. Hier eignen sich besonders Finite-Volumen-Verfahren, die bei ihrer Diskretisierung darauf achten, daß die Erhaltungssätze strikt erfüllt sind (Beispiel: Godunow-Verfahren mit exaktem Riemann-Löser) und somit in der Lage sind, die Unstetigkeiten mit guter Genauigkeit wiederzugeben. Insbesondere bei der numerischen Integration mehrdimensionaler partieller Differentialgleichungssysteme kommen adaptive Verfahren und Multigrid-Methoden zum Einsatz; bei beiden Verfahren wird die Diskretisierung und insbesondere die räumliche Gittergröße dem lokalen Verhalten des Systems angepaßt.
numerische Integration: Intervalle, Gewichte und Polynome beim Gaußschen Integrationsverfahren.
| |||
| 1 | |||
Wenn Sie inhaltliche Anmerkungen zu diesem Artikel haben, können Sie die Redaktion per E-Mail informieren. Wir lesen Ihre Zuschrift, bitten jedoch um Verständnis, dass wir nicht jede beantworten können.