Lexikon der Physik: Supraleitung und Suprafluidität
Supraleitung und Suprafluidität
Dietrich Einzel, Garching
Dieses Essay befaßt sich mit einer einheitlichen theoretischen Betrachtung der Supraleitung in Metallen und der Suprafluidität in elektrisch neutralen Fermisystemen. Es soll aufgezeigt werden, warum dieses faszinierende Phänomen auch heute noch – fast ein Jahrhundert nach seiner experimentellen Entdeckung und fast ein halbes Jahrhundert nach seiner ersten theoretischen Deutung – Gegenstand intensiver Forschung ist. Im ersten Abschnitt wird das völlig unterschiedliche Verhalten des Normalzustands dieser Systeme mit dem des Suprazustands kontrastiert und es werden einige wichtige Aspekte der historischen Entwicklung dieses Forschungsgebietes nachgezeichnet. Dann wird eine allgemeine Klassifizierung supraleitender und suprafluider Fermisysteme nach der Symmetrie ihres Grundzustands durchgeführt. Der nächste Abschnitt beschäftigt sich mit den Gleichgewichtseigenschaften dieser Systeme bei endlicher Temperatur. Schließlich wird die Frage aufgeworfen, wie die Supraleitung und die Suprafluidität auf äußere Störungen reagiert und was man daraus über die innere Struktur und die Symmetrie der supraleitenden und superfluiden Phase lernen kann. Suprafluidität in Bosonen-Systemen wird an anderer Stelle behandelt (Suprafluidität).
1 Normal- und Suprazustand
In normalen Metallen beruht der elektrische Widerstand auf der Streuung der Leitungselektronen an thermischen Gitterschwingungen (Phononen) und an Gitterfehlern (Verunreinigungen, Fehlstellen, Versetzungen, Korngrenzen, etc.), die durch eine Streurate ![]()
beschrieben wird. Die elektrische Stromdichte ![]()
relaxiert gemäß

Hier bezeichnen ![]()
die Teilchendichte, ![]()
und ![]()
die elektronische Ladung und Masse. Die treibende Kraft ![]()
ist die elektrische Feldstärke ![]()
, die sich wie üblich aus den elektromagnetischen Potentialen ![]()
und ![]()
ableiten läßt. Die elektrische Leitfähigkeit ![]()
charakterisiert den Zusammenhang zwischen Stromdichte und elektrischem Feld:
Dieser Zusammenhang ist als Drude-Gesetz (Drude-Lorenz-Theorie) bzw. als Ohmsches Gesetz bekannt. Ihr Kehrwert, der elektrische Widerstand ![]()
, ist proportional zur Impulsrelaxationsrate ![]()
. Im Grenzfall ![]()
verschwinden die Phononen, und der ausschließlich durch Defekte verursachte (Rest-) Widerstand von sehr sauberen Metallen kann sehr gering sein.
Im Jahre 1911 studierte Heike Kamerlingh Onnes in Leiden diese Effekte an Quecksilber im Temperaturbereich zwischen 1 und 5 K. Er kam zu dem überraschenden Resultat, daß der elektrische Widerstand ![]()
, anstatt stetig auf den Restwiderstandswert abzusinken, bei einer kritischen Temperatur Tc = 4,2 K verschwand. Dieses Phänomen ( ![]()
, ![]()
) wird seitdem Supraleitung genannt. Die wohl beeindruckendste Konsequenz des Supraleitungsphänomens demonstrierte Kamerlingh Onnes, indem er einen Strom in einem supraleitenden Bleiring bei 4 K in Gang setzte, die Stromquelle abschaltete und einen Dauerstrom (Dauerstrom, supraleitender) über ein ganzes Jahr ohne meßbare Reduktion beobachten konnte. Kamerlingh Onnes' Entdeckung wurde im Jahre 1913 mit dem Physik-Nobelpreis gewürdigt.
Daß das Phänomen der Supraleitung noch mehr beinhaltet als das bloße Verschwinden des elektrischen Widerstandes unterhalb einer Sprungtemperatur ![]()
, zeigten Walther Meißner und Robert Ochsenfeld im Jahre 1933. Sie entdeckten, daß Supraleiter Magnetfelder reversibel aus ihrem Inneren verdrängen oder abschirmen, und zwar unabhängig davon, ob man den Supraleiter im Magnetfeld abkühlt (Verdrängungseffekt) oder erst unterhalb der Sprungtemperatur ![]()
ein Magnetfeld anlegt (Abschirmeffekt). Der Supraleiter verhält sich somit wie ein idealer Diamagnet. Diese Feldverdrängungseigenschaft der Supraleiter ist nach ihren Entdeckern Meißner-Ochsenfeld-Effekt benannt geworden.
Parallel zu dieser Entdeckung entwickelten die Brüder Fritz und Heinz London, aber auch Max von Laue, die phänomenologische sog. London-Laue-Theorie der Supraleitung (1935-1938), in der eine makroskopische Anzahl supraleitender Teilchen der Ladung ![]()
und der Masse ![]()
, die sich in den elektromagnetischen Potentialen ![]()
und ![]()
bewegen, durch eine kollektive quantenmechanische Wellenfunktion ![]()
mit Amplitude ![]()
und Phase ![]()
beschrieben wird. Im Gegensatz zur Interpretation der gewöhnlichen Quantenmechanik von ![]()
als Wahrscheinlichkeitsamplitude, ein Teilchen am Ort ![]()
zur Zeit ![]()
vorzufinden, wurde ![]()
mit der makroskopischen Teilchenzahldichte der supraleitenden Ladungsträger verknüpft. Ansonsten konnten alle aus der Quantenmechanik bekannten Resultate übernommen werden, insbesondere die Tatsache, daß der Schrödinger-Gleichung für ![]()
die Kontinuitätsgleichung für die Kondensat-Dichte ![]()
äquivalent ist, in der die Ladungssuprastromdichte ![]()
die Form

hat. Die einzelnen Ladungsträger verlieren somit ihre Individualität völlig, denn sie gehorchen kollektiv den Gesetzen der Quantenmechanik. Obwohl diese Theorie nichts über den Mechanismus, der zur Supraleitung führt, aussagt, betrachtet sie die Supraleitung erstmals als makroskopisches Quantenphänomen und kann Dauerströme, Magnetfeldabschirmung, charakterisiert durch die sog. Londonsche Magnetfeldeindringtiefe (Londonsche Theorie der Supraleitung)
sowie die sehr viel später entdeckte Flußquantisierung durch einen Supraleiter vorhersagen. Wegen der Eindeutigkeitsforderung ![]()
, an ![]()
ergibt sich für das (Fluß-) Integral über die Querschittsfläche ![]()
eines supraleitenden Hohlzylinders die Bedingung
in der ![]()
und ![]()
das Quantum des magnetischen Flusses darstellt. Im Jahre 1961 gelang Robert Doll und Martin Näbauer (unabhängig davon aber auch Deaver und Fairbanks) schließlich der experimentelle Beweis dafür, daß die Größe ![]()
quantisiert ist. Das experimentell bestimmte Flußquantum ließ den Schluß zu, daß beim Ladungstransport in Supraleitern nicht, wie in der London-Theorie angenommen, einzelne ( ![]()
, ![]()
, ![]()
), sondern Paare von Elektronen mit der doppelten Elementarladung ( ![]()
, ![]()
, ![]()
beteiligt sind.
Wie die Metallelektronen zeigen auch elektrisch neutrale Flüssigkeiten in ihrem Normalzustand das Phänomen eines Strömungswiderstands. Die Massenstromdichte ![]()
genügt der Relaxationsgleichung

in der die treibende Kraft ![]()
in der Regel ein Druckgradient ist. Im Gegensatz zur Relaxationsrate des elektrischen Stroms gilt ![]()
, da weder Phononen noch Fehlstellen existieren und Zweiteilchenstöße wegen des Fehlens von Umklappprozessen nicht zur Impulsrelaxation führen. Die Relaxation ist deshalb diffusiv und durch die Scherviskosität![]()
(Viskosität) bestimmt. Diese vermittelt auch den Zusammenhang zwischen dem querschnittsgemittelten Massenstrom ![]()
der Flüssigkeit und dem von außen angelegten Druckgefälle, der als Hagen-Poiseuillesches Gesetz bekannt ist. Für Strömung zwischen parallelen Platten (Abstand ![]()
) gilt
Der Strömungswiderstand ![]()
ist somit proportional zur Scherviskosität der Flüssigkeit. Seine Beobachtbarkeit zu tieferen Temperaturen hin wird verdeckt durch die in fast allen Fällen eintretende Verfestigung dieser Systeme. Nur Flüssigkeiten, die aus besonders leichten Atomen (wie zum Beispiel die Isotope des Heliums 4He und 3He) bestehen, bleiben bis zum absoluten Temperaturnullpunkt bei Atmosphärendruck flüssig. Man nennt diese Systeme Quantenflüssigkeiten, da ihr flüssiger Zustand durch die quantenmechanischen Nullpunktsbewegungen hervorgerufen wird.
Im Jahre 1971 entdeckten David Lee, Douglas Osheroff und Robert Richardson bei einer Sprungtemperatur ![]()
von etwa zwei Tausendstel K den Übergang von flüssigem 3He in zwei superfluide Phasen. Obwohl im Gegensatz zur Impulsrelaxation die Scherviskosität scheinbar verschwindet, wies ihr Verhalten sehr viele Analogien zur Supraleitfähigkeit der ›Elektronenflüssigkeit‹ in Metallen auf, zeigte zusätzlich aber eine Vielzahl neuer und exotischer Eigenschaften. Diese Entdeckung löste eine wahre Flut von experimentellen und theoretischen Veröffentlichungen aus, die über mehr als zwei Dekaden anhielt und schließlich im Jahr 1996 mit dem Physik-Nobelpreis für die drei Entdecker ihre Würdigung fand.
Auch für neutrale suprafluide Fermi-Systeme mit Teilchen der Masse ![]()
und der superfluiden Dichte ![]()
läßt sich die London-Theorie anwenden. Wegen der fehlenden Ladung ist der supraleitende Massenstrom jetzt allein mit der räumlichen Änderung der Phase der Kondensat-Wellenfunktion verknüpft:
Die wesentliche Gemeinsamkeit der Phänomene Supraleitung und Suprafluidität läßt sich nur mit den Denkmethoden der Quantenmechanik verstehen. Sie besteht darin, daß es sich bei Elektronen und 3He-Atomen, welche Vielteilchensysteme von typischerweise 1023 Teilchen bilden, um Fermionen handelt, d.h. Teilchen mit einem halbzahligen Spin. Fermionen gehorchen dem Pauli-Prinzip, welches besagt, daß nur ein Fermion einen gegebenen Quantenzustand ![]()
, charakterisiert durch den Impuls ![]()
und die Spinprojektion ![]()
, besetzen kann. (Bei flüssigem 4He handelt es sich um ein Bosonen-System.)
Ein moderner Zugang zu den Phänomenen Supraleitung (geladene Fermionen, Elektronen) und Suprafluidität (neutrale Fermionen) sollte diese auf ein und derselben Stufe behandeln. Ein erster Schritt in diese Richtung ließ sehr lange, nämlich bis zum Jahre 1957, auf sich warten. In diesem Jahr veröffentlichten die Theoretiker John Bardeen, Leon Cooper und Robert Schrieffer (BCS) ihre mikroskopische Theorie der Supraleitung, nicht ahnend, daß sich diese Theorie, nach einigen nicht unwesentlichen Modifikationen, die insbesondere dem Theoretiker Anthony J. Leggett zu verdanken sind, auch zur Beschreibung der Suprafluidität von flüssigem 3He eignen würde. Wegen ihrer universellen Anwendbarkeit wurde die BCS-Theorie im Jahre 1972 mit dem Physik-Nobelpreis gewürdigt.
2 Klassifizierung paarkorrelierter Fermi-Systeme
Fermi-Systeme lassen sich durch ihre Teilchendichte ![]()
, mit ![]()
der Fermi-Energie, das Energiespektrum ![]()
, mit ![]()
dem chemischen Potential ( ![]()
), die Gruppengeschwindigkeit ![]()
und die Zustandsdichte an der Fermi-Kante ![]()
charakterisieren. Im globalen thermodynamischen Gleichgewicht wird die mittlere Besetzungswahrscheinlichkeit dieser Zustände durch die Impulsverteilung
beschrieben. Hier bedeuten ![]()
und ![]()
die Erzeugungs- und Vernichtungsoperatoren für ein Fermion im Quantenzustand ![]()
und ![]()
der statistische Mittelwert. Im Normalzustand des Fermi-Systems ist ![]()
die Fermi-Dirac-Verteilung (Fermi-Dirac-Statistik).
Das BCS-Modell postuliert, daß es bei tiefen Temperaturen energetisch günstiger ist, wenn sich ein temperaturabhängiger Teil der Fermionen zu sog. Cooper-Paaren formiert. Der geniale Aspekt an der Paarungshypothese ist die Einsicht, daß die Paarung nicht im Orts- sondern im Impulsraum stattfindet. So ist die zentrale Annahme der BCS-Theorie die spontane Paarformation im ![]()
-Raum, beschrieben durch einen im thermodynamischen Gleichgewicht endlichen statistischen Mittelwert, die Paaramplitude
Hier ist ![]()
der Relativimpuls des Paares. Das Pauli-Prinzip erzwingt die totale Antisymmetrie von ![]()
beim Vertauschen der Spins ![]()
, ![]()
und der Impulse ![]()
, ![]()
:
Die Spinabhängigkeit der Paaramplitude wird durch die Möglichkeiten, zwei Spins vom Betrag ![]()
und mit den Projektionen ![]()
zum Gesamtspin ![]()
und der Gesamtprojektion ![]()
zu koppeln, festgelegt. Der Clebsch-Gordon-Koeffizient für diese Kopplung lautet

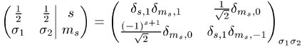
und läßt nur die beiden Fälle ![]()
(Singulett-Paarung) und ![]()
(Triplett-Paarung) zu. Für Singulett-Paarung gilt

wobei ![]()
. Hier ist ![]()
eine der Pauli-Matrizen, die zusammen mit der Einheitsmatrix ![]()
ein vollständiges Basissystem von ![]()
-Matrizen bilden.
Wegen Gl. (7) muß ![]()
für Singulett-Paarung gerade Parität bezüglich ![]()
haben, ![]()
. Die ![]()
-Abhängigkeit von ![]()
läßt sich mit einer orbitalen Quantenzahl ![]()
klassifizieren, und man spricht von s-Wellen-Paarung ( ![]()
), d-Wellen-Paarung ( ![]()
) usw. Im Fall der Spin-Triplett-Paarung hat man

Die Triplett-Komponenten ![]()
, ![]()
, und ![]()
des Paaramplituden-Vektors ![]()
sind den magnetischen Quantenzahlen ![]()
zugeordnet und haben wegen (7) ungerade Parität bezüglich ![]()
, ![]()
. Im Fall der Triplett-Paarung ist die orbitale Quantenzahl ![]()
ungerade und man spricht von p-Wellen-Paarung ( ![]()
), f-Wellen-Paarung ( ![]()
) u.s.w. Man erkennt, daß mit dem supraleitenden Phasenübergang eine spontan gebrochene Symmetrie verknüpft ist, nämlich die bezüglich der lokalen Eichtransformation ![]()
, bei der die Paaramplitude ![]()
in ![]()
übergeht (spontane Symmetriebrechung). Die Formation von Cooper-Paaren wird durch eine in der Nähe der Fermi-Kante anziehende Wechselwirkung ![]()
vermittelt, welche die mittleren Paaramplituden ![]()
und ![]()
mit einer neuen Energieskala, dem mittleren sog. Paarpotential verknüpft:

Die skalaren und vektoriellen Paaramplituden ![]()
, ![]()
, oder äquivalent dazu, die Paarpotentiale ![]()
und ![]()
, werden auch als Ordnungsparameter (Phasenübergänge) der supraleitenden oder superfluiden Phase des paarkorrelierten Fermi-Systems bezeichnet. Die Cooper-Paare, deren Gesamtheit man auch als Kondensat bezeichnet, bilden nun den neuartigen kollektiven Zustand makroskopischer Quantenkohärenz, der bereits in der London-Theorie antizipiert worden ist. Durch die Paarungshypothese liefert die BCS-Leggett-Theorie im Gegensatz zur London-Theorie nicht nur den korrekten Wert für das im Doll-Näbauer-Experiment bestimmte Flußquantum, sondern erlaubt auch eine korrekte Beschreibung der thermodynamischen, elektromagnetischen, hydrodynamischen und spindynamischen Eigenschaften supraleitender und superfluider Fermi-Systeme.
Im folgenden sollen nun einige der in der Natur vorkommenden paarkorrelierten Fermi-Systeme durch die Form ihrer Paarpotentiale charakterisiert werden. Hierzu zerlegen wir
in den temperaturabhängigen Maximalwert ![]()
und einen ![]()
-abhängigen orbitalen Anteil, der die Möglichkeit einer Anisotropie auf der Fermi-Fläche enthält. Man kann in unterschiedlichen Fermi-Systemen die Symmetrie des Paarpotentials mit der der Fermi-Fläche bzw. der Bandstruktur vergleichen. Sind diese Symmetrien gleich (oder ist nur die Eichsymmetrie spontan gebrochen), so wird die Paarung als konventionell (k) bezeichnet. Ist die Symmetrie des Paarpotentials geringer als die der Fermi-Fläche (oder gibt es neben der Eichsymmetrie noch zusätzliche spontan gebrochene Symmetrien), so nennt man die Paarung unkonventionell (u).
In die siebziger und achtziger Jahre fiel die Entdeckung neuer, exotischer Supraleiter. Dazu gehören organische Supraleiter und Supraleiter mit sog. schweren Fermionen. Im Jahre 1986 wurden Materialien auf Kupferoxidbasis (Kuprate) mit Sprungtemperaturen bis zu 153 K (sog. Hochtemperatur-Supraleiter) durch Karl Alex Müller und Georg Bednorz entdeckt, die dafür im Jahr darauf mit dem Nobelpreis für Physik geehrt wurden. Man ist heute davon überzeugt, daß die superfluiden Phasen des 3He, u.a. der Schwerfermionsupraleiter UPt3, sowie alle lochdotierten (ld) Kuprat-Supraleiter einen unkonventionellen Ordnungsparameter haben. Unerwarteterweise zeigen die elektrondotierten (ed) Kuprate scheinbar konventionelles Verhalten. Eine spezielle Konsequenz dieser Unkonventionalität ist die Tatsache, daß der Ordnungsparameter Nulldurchgänge oder Noden haben kann, d.h. er kann auf der Fermi-Fläche Punkt- (P) oder Linien- (L) förmige Nullstellen haben. Dieser Sachverhalt ist in Abb. 1 veranschaulicht. In Tab. 1 sind die Eigenschaften einiger wichtiger supraleitender (SL) und superfluider Fermi-Systeme zusammengestellt. Die Fermi-Flächen werden der Einfachheit halber als sphärisch (D = 3) oder als zylindrisch (D = 2) angenommen. Aufgeführt sind Ordnungsparametersymmetrie, Nodenstruktur und die Dimensionalität D ihrer Fermi-Fläche.
In Tab. 1 ist ![]()
der (Polar-) Winkel zwischen einer für den Paarzustand charakteristischen makroskopischen orbitalen Vorzugsrichtung ![]()
und dem Einheitsvektor ![]()
auf der Fermi-Fläche. Für den Fall der Triplett-Paarung ist ![]()
eine makroskopische Vorzugsrichtung im Spinraum. ![]()
ist eine Rotationsmatrix, welche im Spezialfall des pseudoisotropen Zustands die Korrelation zwischen Spin- und Bahnfreiheitsgraden der Cooper-Paare beschreibt. Der Winkel ![]()
spielt dabei die gleiche Rolle wie der Winkel zwischen ![]()
und ![]()
und reflektiert eine von Leggett erstmals diskutierte zusätzliche spontan gebrochene Symmetrie, nämlich die relative Spin-Bahn-Symmetrie des superfluiden Fermi-Systems (und damit den unkonventionellen Charakter des Ordnungsparameters). Da es sich bei den Kupraten um Quasi-2- ![]()
-Systeme handelt, wird die ![]()
-Symmetrie des Paarpotentials durch den (Azimuth-) Winkel ![]()
beschrieben.
3 Paarkorrelierte Fermi-Systeme im thermischen Gleichgewicht
In der BCS-Behandlung werden die Paarwechselwirkungseffekte durch einen Hamilton-Operator in Molekularfeldnäherung erfaßt. Die folgende Diskussion wird nun der Übersichtlichkeit wegen auf den Fall der Singulett-Paarung beschränkt. Die Resultate lassen sich jedoch problemlos auf den Triplett-Fall verallgemeinern. Kombiniert man fermionische Erzeugungs- und Vernichtungsoperatoren zu einer zweikomponentigen Größe, einem sog. Spinor![]()
, dann ist dieser Hamilton-Operator formal dem des Normalzustands äquivalent (Nambu-Formalismus),

Hier ist ![]()
jedoch eine Energiematrix

in deren Diagonale die typischen Energien für teilchenartige ( ![]()
) und lochartige ( ![]()
) Anregungen stehen. Das mittlere Paarpotential bildet die Nebendiagonalelemente und führt zu einer Mischung von Teilchen- und Lochbeiträgen zur Energie. Wegen der spontanen Paarformation ![]()
für ![]()
spricht man im Zusammenhang mit dem Phänomen der Supraleitung und der Suprafluidität auch von nebendiagonaler langreichweitiger Ordnung.
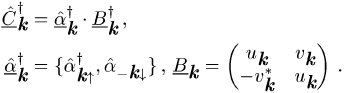
Der Hamilton-Operator bzw. die Energiematrix werden diagonalisiert durch die Bogoljubow-Walatin-Transformation

Da die neuen Erzeugungs- und Vernichtungsoperatoren wieder fermionische Anregungen beschreiben, gilt ![]()
. Man erhält

Die Bedingung ![]()
legt die Amplituden ![]()
und ![]()
fest: ![]()
, ![]()
wobei
Die physikalische Bedeutung von ![]()
erkennt man aus der Form des transformierten Hamilton-Operators

Der erste Term in (11) ist die Gesamtenergie des BCS-Grundzustands, während der zweite Term den Beitrag der thermischen Anregungen, der sog. Bogoljubow-Quasiteilchen bei endlichen Temperaturen beschreibt. ![]()
ist somit das Energiespektrum der Bogoljubow-Quasiteilchen. Das Paarpotential ![]()
spielt damit die Rolle einer im allgemeinen anisotropen Energielücke im Spektrum der thermischen Anregungen. Die thermischen Eigenschaften der Bogoljubow-Quasiteilchen werden durch die Verteilungsfunktion
Es ist bemerkenswert, daß die Ableitung von ![]()
, ![]()
, bei allen Temperaturen ![]()
der Summenregel ![]()
genügt.
Die Gleichgewichts-Paaramplitude (vgl. (7)) lautet nach der Bogoljubow-Walatin-Transformation

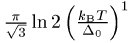
Die Ursachen und Mechanismen für die Paaranziehung ![]()
sind unterschiedlich. Bei konventionellen Supraleitern vermitteln meistens die Quanten der Gitterschwingungen, die Phononen, eine Paaranziehung zwischen den Elektronen. In einigen Klassen unkonventioneller Supraleiter (Schwerfermion-, Hochtemperatur-Supraleiter sowie die superfluide Fermi-Flüssigkeit3He) glaubt man heute, daß antiferromagnetische bzw. ferromagnetische sog. Spinfluktuationen oder Paramagnonen die Paaranziehung verursachen. Wir müssen an dieser Stelle auf eine Diskusion der mikroskopischen Ursachen für die Paarattraktion verzichten und nehmen lediglich an, daß die Paarwechselwirkung sehr klein ( ![]()
) – wegen dieser Annahme spricht man im Zusammenhang mit Supraleitung und Suprafluidität auch vom Limes schwacher Kopplung – und in einer Energieschale der Dicke ![]()
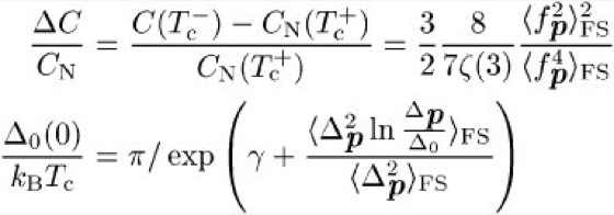
um die Fermi-Energie anziehend ist. Die Lösung der Energielückengleichung (8) bei endlichen Temperaturen geschieht durch Einsetzen der Paaramplitude (14) in Gl. (8) und liefert bei der Sprungtemperatur und bei ![]()
die beiden im Limes schwacher Kopplung universellen sog. BCS-Mühlschlegel-Parameter, nämlich den für die Molekularfeldnäherung typischen Sprung in der spezifischen Wärme bei ![]()
und die Energielücke bei ![]()
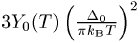
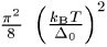
:

Hier ist ![]()
die Eulersche Konstante, ![]()
die Riemannsche ![]()
-Funktion; ![]()
bedeutet eine Mittelung über die Fermi-Fläche und ![]()
ist die Wärmekapazität des normalen Fermi-Systems. In Tabelle 2 findet man eine Zusammenstellung von BCS-Mühlschlegel-Parametern für einige repräsentative paarkorrelierte Fermi-Systeme. Für Temperaturen ![]()
läßt sich die maximale Energielücke wie folgt interpolieren:

4 Paarkorrelierte Fermi-Systeme in äußeren Feldern
Schließlich untersuchen wir, wie supraleitende und superfluide Fermi-Systeme auf die Gegenwart räumlich und zeitlich schwach veränderlicher äußerer Störungen wie ein Vektorpotential ![]()
, ein Magnetfeld ![]()
oder eine lokale Temperaturänderung ![]()
bei beliebigen Temperaturen ![]()
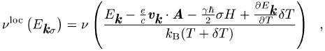
reagieren. Eine solche Situation läßt sich besonders einfach durch die Annahme des sog. lokalen Gleichgewichts beschreiben. Das bedeutet, daß die Impulsverteilung ![]()
der Bogoljubow-Quasiteilchen auch in Gegenwart der Störungen noch eine Fermi-Funktion ![]()
ist,

in der aber das Argument von ![]()
nach ![]()
verschoben ist, wobei ![]()
und ![]()
das gyromagnetische Verhältnis der Fermionen ist. Die lokale lineare Antwort (linear response) des gesamten Quasiteilchensystems führt bei einer Temperaturänderung ![]()
auf die Entropieänderung ![]()
, beim Anlegen eines Magnetfeldes ![]()
auf die Spinmagnetisierung ![]()
und bei Anwesenheit des Vektorpotentials ![]()
auf den elektronischen Quasiteilchenstrom ![]()
. Die entsprechenden sog. Responsefunktionen sind die Wärmekapazität![]()
, die Paulische Spinsuszeptibilität![]()
und der Stromresponse-Tensor![]()
. Im folgenden fassen wir die Resultate für diese Größen bei beliebigen Temperaturen zusammen (bei den numerischen Rechnungen wurde die Interpolationsformel (15) für ![]()
verwendet):
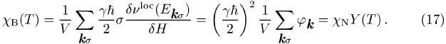
1. Wärmekapazität der Bogoljubow-Quasiteilchen:

Abb. 2 zeigt die Temperaturabhängigkeit der normierten Wärmekapazität
für einige paarkorrelierte Fermi-Systeme. Die Resultate für den
– und
-Zustand liegen sehr nahe an der Kurve für
-Paarung und sind daher nicht eingezeichnet. Man beachte, daß mit zunehmender Energielückenanisotropie die Diskontinuität in
bei
in demselben Maße abnimmt wie der Anstieg von
bei tiefen Temperaturen zunimmt (Entropie-Summenregel).
2. Spinsuszeptibilität der Bogoljubow-Quasiteilchen: 
Hier ist ![]()
die Paulische Spinsuszeptibilität des Normalzustands. Die Temperaturabhängigkeit der Spinsuszeptibilität wird durch die dimensionslose sog. Yosida-Funktion![]()
beschrieben. Abb. 3 zeigt die Temperaturabhängigkeit der normierten Spinsuszeptibilität ![]()
für einige paarkorrelierte Fermi-Systeme. Die Resultate für den ![]()
– und ![]()
-Zustand liegen sehr nahe an der Kurve für ![]()
-Paarung und sind daher nicht eingezeichnet. Besonders deutlich wird der Unterschied zwischen dem thermisch aktivierten konventionellen Verhalten und dem linearen Tieftemperaturpotenzgesetz für die Energielücken mit Liniennoden. Bei der Berechnung der Spinsuszeptibilität in Systemen mit Spin-Triplett-Paarung ist zu beachten, daß sich die ![]()
-Komponenten des Tripletts paramagnetisch verhalten, d.h. sie tragen einen konstanten (Pauli-) Beitrag zur Suszeptibilität bei. Die ![]()
-Komponente repräsentiert den Beitrag der thermischen Anregungen und verschwindet im Limes ![]()
. So stellt die temperaturabhängige Größe ![]()
im Fall von 3He-B nur den ![]()
-Beitrag ( ![]()
) des Spin-Tripletts dar. Mit den fehlenden ![]()
-Beiträgen ( ![]()
) lautet die gesamte Spinsuszeptibilität von 3He-B ![]()
, wenn Wechselwirkungseffekte vernachlässigt werden. Der axiale Zustand zur Beschreibung von 3He-A besitzt im einfachsten Fall ( ![]()
) nur die paramagnetischen ![]()
-Komponenten des Spin-Tripletts (man spricht deshalb auch von ›equal spin pairing‹). Daher behält die Spinsuszeptibilität bei allen Temperaturen ![]()
ihren Normalzustands-(Pauli-)Wert. Für den ![]()
-Zustand gilt im einfachsten Fall ![]()
. Somit trägt nur die ![]()
-Komponente des Tripletts zur Spinsuszeptibilität bei, ![]()
.
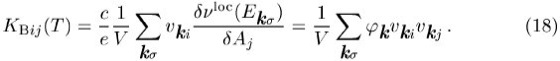
3. Stromresponse der Bogoljubow-Quasiteilchen

Die Größe ![]()
beschreibt den Quasiteilchenbeitrag zum gesamten elektronischen Suprastrom ![]()
, in dem ![]()
und ![]()
der diamagnetische Anteil des Stroms ist. Man beachte, daß das Vektorpotential durch einen Phasengradienten ergänzt worden ist (Eichtransformation des Vektorpotentials ![]()
), um dem Resultat für den Suprastrom eine eichinvariante Form zu geben. Die Ersetzung ![]()
verknüpft ![]()
mit der Variablen ![]()
, welche die gebrochene Eichsymmetrie beschreibt. Somit sind die eichinvarianten Ausdrücke für den elektronischen Suprastrom

und den superfluiden Massenstrom aus der BCS-Theorie
formal identisch mit den entsprechenden Resultaten (2) und (4) der London-Theorie, mit dem einzigen Unterschied, daß man die Größe ![]()
im Rahmen der BCS-Theorie berechnen kann.
Für den Fall einer (uniaxialen) Anisotropie (Achse ![]()
) der Fermi-Fläche ( ![]()
, mit ![]()
, ![]()
, ![]()
den Kristallachsen) oder der Energielücke ( ![]()
) gilt ![]()
. Der London-BCS-Strom, in die Maxwell-Gleichung![]()
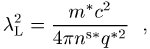
eingesetzt, beschreibt die Magnetfeldabschirmung des Supraleiters, charakterisiert durch die beiden London-BCS-Eindringtiefen ![]()
. Für isotrope Fermi-Systeme ist ![]()
mit der superfluiden Dichte ![]()
. In Abb. 4 ist die Temperaturabhängigkeit der normierten Magnetfeldeindringtiefe ![]()
für einige Supraleiter gezeigt. Der Unterschied zwischen dem thermisch aktivierten Tieftemperaturverhalten für isotrope Paarung und den linearen Tieftemperaturpotenzgesetzen für den Fall der Dominanz von Liniennoden ist auch in dieser Größe deutlich. Man beachte, daß die ![]()
– im Gegensatz zur ![]()
-Energielücke eine starke Anisotropie in den ![]()
-Komponenten aufweist. Dies könnte für die Identifikation der Ordnungsparametersymmetrie in UPt3 nützlich sein.
Das Tieftemperaturverhalten der lokalen Responsefunktionen für isotrope Energielücken ist thermisch aktiviert, ![]()
und damit qualitativ unterschiedlich von dem für Energielücken mit Nodenstruktur. Im letzteren Fall existieren thermische Anregungen, in Abb. 1 durch kleine Kreise symbolisiert, bei tiefen Temperaturen ![]()
besonders in der Umgebung der Noden, was zu den in Abbildungen 2-4 sichtbaren Potenzgesetzen für die Responsefunktionen führt. In Tabelle 3 sind analytische Resultate für das Tieftemperaturverhalten der drei oben abgeleiteten Responsefunktionen für einige supraleitende und superfluide Systeme zusammengestellt.
Experimentelle Resultate sind im Fall der superfluiden Phasen des 3He, lochdotierter Kuprate und des Schwerfermionsupraleiters UPt3 im Einklang mit der Annahme unkonventioneller Cooper-Paarung. Während die Annahme von p-Wellen-Triplett-Paarung in 3He-A und -B zu einem weitgehend quantitativen Verständnis von Thermodynamik, Transport, Spindynamik und der kollektiven Moden geführt hat, lassen sich die lochdotierten Kuprate, zumindest bei optimaler Dotierung, qualitativ auf der Basis von Singulett- ![]()
-Paarung verstehen. Eine mögliche Dotierungsabhängigkeit der Paarsymmetrie ist Gegenstand von gegenwärtigen Untersuchungen. Die Identifikation der Symmetrie des Ordnungsparameters in UPt3 ist noch nicht endgültig gesichert, jedoch sind die ![]()
– und ![]()
– Zustände ernstzunehmende Kandidaten.
Zusammenfassend sei festgestellt, daß man die Eigenschaften einer großen Klasse paarkorrelierter Fermi-Systeme im Gleichgewicht und in Gegenwart äußerer Felder im Rahmen einer erweiterten BCS-Theorie schwacher Kopplung verstehen kann. Das Postulat der Paarformation stellt hierbei den entscheidenden Aspekt der BCS-Theorie dar, unter dem sich die Phänomene der Supraleitung und der Suprafluidität vereinheitlichen lassen, wenn auch der Mechanismus, der zur Bildung der Cooper-Paare führt, in den verschiedenen Klassen supraleitender Systeme unterschiedlich sein kann.
Literatur:
M. Tinkham, Introduction to Superconductivity, McGraw Hill, 1996;
J. R. Waldram, Superconductivity of Metals and Cuprates, IOP Publishing Ltd, 1996;
J. B. Ketterson und S.N. Song, Superconductivity, Cambridge University Press, 1999;
P.G. deGennes, Superconductivity in Metals and Alloys, Perseus Books, 1999;
D. Vollhardt und P. Wölfle, The Superfluid Phases of Helium 3, Taylor & Francis, 1990;
T. Tsuneto, Superconductivity and Superfluidity, Cambridge University Press, 1998.
Supraleitung und Suprafluidität 1: Ordnungsparameter einiger Fermi-Systeme.
| |||||||
| Klass. SL | k | isotrop | 3 | – | |||
| 3He-A | u | axial | 3 | P | |||
| 3He-B | u | pseudoisotrop | 3 | – | |||
| UPt3 | u | 3 | P+L | ||||
| u | 3 | P+L | |||||
| Kuprat-SL (l-d) | u | 2 | L | ||||
| Kuprat-SL (e-d) | (?) | (?) | 2 | – |
Supraleitung und Suprafluidität 2: BCS-Mühlschlegel-Parameter einiger Fermisysteme.
| ||||||
| 1,426 | 1,188 | 0,998 | 0,971 | 0,951 | ||
| 1,764 | 2,029 | 2,112 | 2,128 | 2,140 |
Supraleitung und Suprafluidität 3: Tieftemperaturverhalten einiger paarkorrelierter Fermi-Systeme.





Wenn Sie inhaltliche Anmerkungen zu diesem Artikel haben, können Sie die Redaktion per E-Mail informieren. Wir lesen Ihre Zuschrift, bitten jedoch um Verständnis, dass wir nicht jede beantworten können.