Lexikon der Psychologie: Faktorenanalyse
Faktorenanalyse, Bezeichnung für eine Reihe von statistischen Verfahren, mit deren Hilfe sich experimentell gewonnene Daten, Testdaten oder Korrelationen zwischen den einzelnen Daten interpretieren lassen. Wie bei der Diskriminanzanalyse werden auch bei der Faktorenanalyse aus Linearkombinationen quantitativer Variablen Funktionen, die in diesem Falle Faktoren genannt werden, gebildet, wobei dies nun allerdings nicht mehr mit der Maßgabe erfolgt, daß diese Funktionen eine optimale prognostische Trennung hinsichtlich einer qualitativen abhängigen Variable gestatten. Vielmehr geht es hier zunächst lediglich darum, eine größere Zahl von Variablen auf eine kleinere Zahl von aus diesen Variablen gebildeten Faktoren zu reduzieren. Diese Faktoren werden dabei als "kausale", hinter den jeweiligen beobachteten Variablen stehende "Konstrukte" (auch: "latente Variablen" oder "theoretische Variablen") angenommen, die das repräsentieren, was diesen empirischen Variablen in einem als wesentlich angesehenen Sinne gemeinsam ist. Die zweifellos sehr große Bedeutung dieses Analysemodells für die Psychologie erklärt sich nun insbesondere daraus, daß in ihr – wie auch in den anderen sozialwissenschaftlichen Disziplinen – überwiegend Termini verwendet werden, die die Struktur von Faktoren, also von nicht direkt empirisch beobachtbaren Variablen haben (erinnert sei hier beispielsweise nur an Begriffe wie etwa "räumliches Vorstellungsvermögen", "mathematische Begabung", "Extraversion", "psychische Labilität", "soziale Dominanz", "außengeleiteter Charakter", "Retentivität", "Depressivität" u. ä. m.).
Praktisch kann man sich die von der Faktorenanalyse erbrachte Leistung so vorstellen, daß bei einer vorliegenden Korrelationsmatrix, die die Interkorrelationen zwischen allen in sie eingegangenen Variablen enthält, die Information (= Varianz), die jede dieser Variablen liefert, in zwei Größen zerlegt wird: a) in einen Anteil, den eine Variable mit allen anderen involvierten Variablen gemeinsam hat, die sog. "Kommunalität"; b) in einen Anteil, den jede Variable nur mit sich selbst gemeinsam hat, die sog. "Spezifität"; in ihr ist auch der sog. "Meßfehleranteil" enthalten.
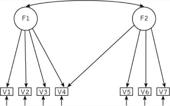
Die Kommunalitäten der Variablen – offensichtlich sind es nur diese, die für die faktorenanalytische Fragestellung von Bedeutung sind – werden im folgenden dann mittels Linearkombinationen zu Faktoren gebündelt, und zwar in der Weise, daß der erste extrahierte Faktor den größten Anteil an diesen Kommunalitäten aufklärt, der – vom ersten Faktor linear unabhängige – zweite Faktor den zweitgrößten Anteil usf. Insgesamt können dabei so viele Faktoren extrahiert werden, wie Variablen vorhanden sind. Der Clou besteht bei der Faktorenanalyse nun jedoch gerade darin, daß man – zumindest gilt dies für eine "gelungene" Faktorenanalyse – deutlich weniger Faktoren benötigt, als Variablen vorhanden sind, da von einer bestimmten Zahl extrahierter Faktoren an nur noch unbedeutende Kommunalitätenantelle aufgeklärt werden. Die Stärke, mit der ein solcher Faktor eine empirisch erhobene Variable linear determiniert, geht aus der "Faktorladung" hervor: diese liegt zwischen -1.0 und +1.0 und zeigt damit auch die (positive oder negative) Richtung an, in der ein solcher Faktor eine empirische Variable beeinflußt: sie stellt den partiellen standardisierten Regressionskoeffizienten von dem jeweiligen Faktor hin zu der empirisch erhobenen Variable dar. In der folgenden Abb. wird die von der Faktorenanalyse erbrachte Leistung graphisch veranschaulicht: Die Kästchen symbolisieren dabei die empirisch erhobenen Variablen, die Kreise die Faktoren, die von den Kreisen zu den Kästchen verlaufenden Pfeile die Faktorladungen, die Pfeile, die von unten auf jedes Kästchen zugehen, die Spezifitäten, und die gekrümmten Pfeile zwischen den Kreisen die Faktorkorrelationen; mittels bestimmter Restriktionen können hier auch unkorrellierte Faktorlösungen "erzwungen" werden. Wie man sieht, wird die 4. Variable von beiden Faktoren geladen.
Dies ist jedoch im allgemeinen nicht wünschenswert; angestrebt wird vielmehr zumeist immer eine sog. "Einfachstruktur", die dadurch gekennzeichnet ist, daß jede empirisch erhobene Variable jeweils nur von einem Faktor substantiell "geladen" wird.
Ein Spezialfall der Faktorenanalyse ist die Hauptkomponentenanalyse, die sich von ersterer dadurch unterscheidet, daß auf seiten der zu faktorisierenden empirischen Variablen nicht mehr zwischen Kommunalität und Spezifität getrennt wird. Diese Variablen werden hierbei vielmehr lediglich mittels entsprechender Transformationen schrittweise zu linear voneinander unabhängigen Faktoren, die in diesem Falle Hauptkomponenten heißen, synthetisiert, und zwar in der Weise, daß "früher" extrahierte Hauptkomponenten mehr Varianz bei diesen empirischen Variablen aufklären als "später" extrahierte. Vorausgesetzt, die involvierten Variablen korrelieren einigermaßen hoch miteinander, zeigt sich dabei in der Regel, daß man mit deutlich weniger Hauptkomponenten als empirischen Variablen auskommt, weil dann von einer bestimmten Zahl von Hauptkomponenten an nur noch sehr wenig Varianz bei diesen Variablen aufgeklärt wird. Es handelt sich hierbei also letztlich um ein reines Datenreduktionsverfahren, dem aber – nicht zuletzt aufgrund seiner (nicht nur technischen sondern auch theoretischen) Einfachheit und Robustheit – eine hohe wissenschaftliche Fruchtbarkeit sicherlich nicht abzusprechen ist.
Praktisch verläuft eine Faktorenanalyse in fünf Schritten:
1) Entscheidung darüber, ob sich eine vorliegende Korrelationsmatrix überhaupt für eine Faktorenanalyse eignet;
2) Schätzung der (Anfangs-) Kommunalitäten (entfällt bei der Hauptkomponentenanalyse).
3) Symbolische Extraktion (= Ermittlung der sog. "Eigenwerte") aller Faktoren (Zahl der Faktoren = Zahl der Variablen) und Entscheidung darüber, wieviele Faktoren tatsächlich "notwendig" sind.
4) Überführung von in der Regel kaum interpretierbaren in interpretierbare (= einfach strukturierte) Faktoren mittels Faktorrotation, hierbei kann man sich zwischen unkorrelierten (= orthogonalen) und korrellierten ( "obliquen") Lösungen entscheiden.

Wenn Sie inhaltliche Anmerkungen zu diesem Artikel haben, können Sie die Redaktion per E-Mail informieren. Wir lesen Ihre Zuschrift, bitten jedoch um Verständnis, dass wir nicht jede beantworten können.