Direkt zum Inhalt

Lexikon der Psychologie: Partialkorrelation

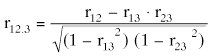
Partialkorrelation, auch: partielle Korrelation, Berechnung der Korrelation zweier Variablen unter Ausschaltung des Einflusses einer Drittvariablen auf diesen Zusammenhang. Dies geschieht mit Hilfe der Regressionsrechnung. Partielle Korrelationen können Scheinzusammenhänge (Scheinkorrelationen) aufdecken. Der durch die Variable (3) bereinigte Zusammenhang kann aus der Korrelation (r) zwischen den Variablen (1) und (2) durch folgende Formel berechnet werden.



  • Die Autoren
Gerd Wenninger

Die konzeptionelle Entwicklung und rasche Umsetzung sowie die optimale Zusammenarbeit mit den Autoren sind das Ergebnis von 20 Jahren herausgeberischer Tätigkeit des Projektleiters. Gerd Wenninger ist Mitherausgeber des seit 1980 führenden Handwörterbuch der Psychologie, des Handbuch der Medienpsychologie, des Handbuch Arbeits-, Gesundheits- und Umweltschutz sowie Herausgeber der deutschen Ausgabe des Handbuch der Psychotherapie. Er ist Privatdozent an der Technischen Universität München, mit Schwerpunkt bei Lehre und Forschung im Bereich Umwelt- und Sicherheitspsychologie. Darüber hinaus arbeitet er freiberuflich als Unternehmensberater und Moderationstrainer.

Autoren und Autorinnen

Prof. Dr. Hans-Joachim Ahrens, Heidelberg
Dipl.-Psych. Roland Asanger, Heidelberg
PD Dr. Gisa Aschersleben, München
PD Dr. Ann E. Auhagen, Berlin

Dipl.-Psych. Eberhard Bauer, Freiburg
Prof. Dr. Eva Bamberg, Hamburg
Dipl.Soz.Wiss. Gert Beelmann, Bremen
Prof. Dr. Helmut von Benda, Erlangen
Prof. Dr. Hellmuth Benesch (Emeritus), Mainz
Prof. Dr. Detlef Berg, Bamberg
Prof. Dr. Hans Werner Bierhoff, Bochum
Prof. Dr. Elfriede Billmann-Mahecha, Hannover
Prof. Dr. Niels Birbaumer, Tübingen
Dipl.-Psych. Claus Blickhan, Großkarolinenfeld
Dipl.-Psych. Daniela Blickhan, Großkarolinenfeld
PD Dr. Gerhard Blickle, Landau
Prof. Dr. Peter Borkenau, Halle
Dr. Veronika Brandstätter, München
Dr. Elisabeth Brauner, Berlin
PD Dr. Jens Brockmeier, Toronto
Dr. Felix Brodbeck, München
Prof. Dr. Hans-Bernd Brosius, München
Prof. Dr. Heiner Bubb, Garching
Christiane Burkart-Hofmann, Singen
Prof. Dr. André Büssing, München
Prof. Dr. Willi Butollo, München

Dipl.-Psych. Christoph Clases, Zürich

Dr. Heinrich Deserno, Frankfurt
Prof. Dr. Iwer Diedrichsen, Stuttgart
Dr. Nicola Döring, Ilmenau

Dr. Heinz-Jürgen Ebenrett, Bonn
Prof. Dr. Walter Edelmann, Braunschweig
Dr. Walter Ehrenstein, Dortmund
Dipl.-Psych. Monika Eigenstetter, Sinzing
Prof. Dr. Thomas Elbert, Konstanz
Prof. Dr. Eberhard Elbing, München
PD Dr. Wolfgang Ellermeier, Regensburg
Prof. Dr. Gisela Erdmann, Berlin

Dr. Babette Fahlbruch, Berlin
Prof. Dr. Jochen Fahrenberg, Freiburg
PD Dr. Gerhard Faßnacht, Bern
Dr. Wolfgang Fastenmeier, München
Prof. Dr. Volker Faust, Ulm
Prof. Dr. Hubert Feger, Berlin
Dipl.-Psych. Georg Felser, Trier
Prof. Dr. Gottfried Fischer, Köln
Prof. Dr. Ulrich M. Fleischmann, Bonn
Dipl.-Psych. Charis Förster, Berlin
Prof. Dr. Dieter Frey, München
Gabriele Freytag, Berlin
Dr. Wolfgang Friedlmeier, Konstanz
Dr. Art T. Funkhouser, Bern

Brigitte Gans, München
Roland R. Geisselhart, Friedrichshafen
Dipl.-Psych. Stephanie Gerlach, München
Prof. Dr. Helmut Giegler, Augsburg
Dr. Klaus-Martin Goeters, Hamburg
Tobias Greitemeyer, München
Heiko Großmann, Münster
Dr. Herbert Gstalter, München
Prof. Dr. Horst Gundlach, Passau

Prof. Dr. Winfried Hacker, Dresden
Dr. Christian Hawallek
Prof. Dr. Wolfgang Heckmann, Magdeburg
Prof. Dr. Kurt Heller, München
Prof. Dr. Andreas Helmke, Landau
Dr. Jürgen Hennig, Gießen
Prof. Dr. Herbert Heuer, Dortmund
Prof. Dr. Sigfried Höfling, München
Mag. Erik Hölzl, Wien
Prof. Dr. Ernst Hoff, Berlin
Dr. Hans-Uwe Hohner, Berlin
Prof. Dr. Heinz Holling, Münster
Dr. Alice Holzhey, Zürich
Prof. Dr. C. Graf Hoyos (Emeritus), München
Dr. Gundula Hübner, Halle

Dr. Marin Ignatov, Berlin

Dr. Bettina Janke, Augsburg
Prof. Dr. Wilhelm Janke, Würzburg

Dr. Uwe Peter Kanning, Münster
Dr. Jürgen Kaschube, München
Prof. Dr. Heiner Keupp, München
Prof. Dr. Thomas Kieselbach, Hannover
Prof. Dr. Erich Kirchler, Wien
Dr. Ellen Kirsch, Kiel
Prof. Dr. Uwe Kleinbeck, Dortmund
Dr. Regine Klinger, Hamburg
Prof. Dr. Friedhart Klix, Berlin
Prof. Dr. Rainer H. Kluwe, Hamburg
Nina Knoll, Berlin
Stefan Koch, München
Prof. Dr. Günter Köhnken, Kiel
Dr. Ira Kokavecz, Münster
Prof. Dr. Günter Krampen, Trier
Prof. Dr. Jürgen Kriz, Osnabrück

Dr. Dr. Alfried Längle, Innsbruck
Dr. phil Silvia Längle, Wien
Prof. Dr. Erich Lamp, Mainz
Anja Lang von Wins, München
Thomas Lang von Wins, München
Prof. Dr. Arnold Langenmayr, Essen
Prof. Dr. Ernst Lantermann, Kassel
Dr. Fernando Lleras, Wien
Dr. Dr. Walter v. Lucadou, Freiburg
PD Dr. Ursel Luka-Krausgrill, Mainz

Dr. Günter W. Maier, München
Prof. Dr. H. Mandl, München
PD Dr. Roland Mangold, Saarbrücken
Dr. Dietrich Manzey, Hamburg
Dipl.-Psych. Markos Maragkos, München
PD Dr. Morus Markard, Berlin
Prof. Dr. Hans J. Markowitsch, Bielefeld
Dr. Hans Peter Mattes, Berlin
Prof. Dr. Rainer Mausfeld, Kiel
Dr. Mark May, Hamburg
Prof. Dr. Philipp Mayring, Ludwigsburg
Prof. Dr. Elke van der Meer, Berlin
Dr. Albert Melter, Bonn
Dipl.-Psych. Brigitte Melzig, Landshut
Prof. Dr. Wolfgang Mertens, München
PD Dr. Rudolf Miller, Hagen
Dr. Helmut Moser, Hamburg
PD Dr. Jochen Müsseler, München
PD Dr. Hans Peter Musahl, Duisburg
Dr. Tamara Musfeld, Berlin

Prof. Dr. Friedemann Nerdinger, Rostock
Prof. Dr. Dr. Petra Netter, Gießen
Prof. Dr. Walter Neubauer, Meckenheim
Dr. Eva Neumann, Bochum
Prof. Dr. Horst Nickel (Emeritus), Meckenheim
Prof. Dr. Jürgen Nitsch, Köln

Prof. Dr. Rolf Oerter, München

Prof. em. Dr. med. Dr. Wiss. Hanus Papousek, München
PD Dr. Mechthild Papousek, München
Dr. Christoph Perleth, München
Prof. Dr. Franz Petermann, Bremen
Prof. Dr. Matthias Petzold, Köln
Prof. Dr. Gunter A. Pilz, Hannover
Dipl.-Psych. Waltraud Pilz, Bonn
Prof. Dr. Monika Pritzel, Landau/Pfalz
Dr. Klaus Puzicha, Bonn

Dr. Claudia Quaiser-Pohl, Bonn

Prof. Dr. Erika Regnet, Würzburg
Dr. Gabi Reinmann-Rothmeier, München
Günther Reisbeck, München
PD Dr. Rainer Reisenzein, Bielefeld
Prof. Dr. Alexander Renkl, Freiburg
Dipl.-Psych. Britta Renner, Berlin
Prof. Dr. Peter Riedesser, Hamburg
Prof. Dr. Dieter Riemann, Freiburg
Dr. Heiner Rindermann, München
Prof. Dr. Brigitte Rockstroh, Konstanz
Prof. Dr. Hans-Dieter Rösler, Rostock
Dr. Elke Rohrmann, Bochum
Prof. Dr. Lutz von Rosenstiel, München
Prof. Dr. Heinrich Peter Rüddel, Bad Kreuznach
Prof. Dr. Franz Ruppert, München
Prof. Dr. Ruth Rustemeyer, Koblenz

Dr. Christel Salewski, Greifswald
PD Dr. Maria von Salisch, Berlin
Dipl.-Psych. Lars Satow, Berlin
Prof. Dr. Burkhard Schade, Dortmund
Prof. Dr. Rainer Schandry, München
Prof. Dr. med. Christian Scharfetter, Zürich
Dr. Arist von Schlippe, Osnabrück
PD Dr. Klaus-Helmut Schmidt, Dortmund
Dr. Martin Schmidt, München
PD Dr. Lothar Schmidt-Atzert, Würzburg
Prof. Dr. Stefan Schmidtchen, Hamburg
Christoph Schmidt?Lellek, Frankfurt
Prof. Dr. Edgar Schmitz, München
Prof. Dr. Klaus A. Schneewind, München
Prof. Dr. Hans-Dieter Schneider, Fribourg
Dr. Michael Schneider, München
Prof. Dr. Rainer Schönhammer, Halle
Prof. Dr. Wolfgang Schönpflug, Berlin
Prof. Dr. Henning Schöttke, Osnabrück
Dr. Ernst Schraube, Troy, New York
Dr. Michael Schredl, Mannheim
Prof. Dr. Heinz Schuler, Stuttgart
Dr. Jürgen Schulte-Markwort, Hamburg
Dr. Oliver Schulz, Kiel
Dipl.-Psych. Ute Schulz, Berlin
Ralf Schulze, Münster
Dr. Stefan Schulz-Hardt, München
PD Dr. Beate Schuster, München
Prof. Dr. Ralf Schwarzer, Berlin
Dr. Bärbel Schwertfeger, München
Prof. Dr. Herbert Selg, Bamberg
Prof. Dr. Bernd Six, Halle
Dipl.-Psych. Iris Six-Materna, Halle
Prof. Dr. Karlheinz Sonntag, Heidelberg
PD Dr. Erika Spieß, München
Dipl.-Psych. Peter Stadler, München
Prof. Dr. Irmingard Staeuble, Berlin
Dipl.-Psych. Gaby Staffa, Landshut
Dr. Friedrich-Wilhelm Steege, Bonn
Dr. Elfriede Steffan, Berlin
Prof. Dr. Martin Stengel, Augsburg
Prof. Dr. Arne Stiksrud, Karlsruhe
Gerhard Storm, Bonn
Dr. Barbara Stosiek-ter-Braak, Essen
Prof. Dr. Bernd Strauß, Jena
Dr. Gudrun Strobel, München

Steffen Taubert, Berlin
Prof. Dr. Reinhard Tausch, Hamburg
Prof. Dr. Uwe Tewes, Hannover
Prof. Dr. Alexander Thomas, Regensburg
Prof. Dr. Walter Tokarski, Köln
Ute Tomasky, bei Mannheim
PD Dr. Rüdiger Trimpop, Jena
Prof. Dr. Gisela Trommsdorff, Konstanz
Prof. Dr. Wolfgang Tunner, München
Dr. phil. Lilo Tutsch, Wien

Prof. Dr. Ivars Udris, Zürich
Prof. Dr. Dieter Ulich, Augsburg

Dr. Cordelia Volland, Augsburg

Prof. Dr. Ali Wacker, Hannover
Prof. Dr. Helmut Wagner, München
Prof. Dr. Teut Wallner, Huddinge
Dr. Petra Warschburger, Bremen
Wolfgang Weber, Bonn
Prof. Dr. Theo Wehner, Zürich
PD. Dr. Gerd Wenninger, Kröning
Uwe Wetter, Euskirchen
Dr. Beda Wicki, Unterägeri
Dipl.-Psych. Katja Wiech, Tübingen
Gudrun de Wies, Ammersbeck
Dr. Klaus Wildgrube, Hannover
Prof. Dr. Johannes Wildt, Dortmund
Prof. Dr. Dr. h.c. Bernhard Wilpert, Berlin
Dipl.-Psych. Susanne Winkelmann, Dortmund
Prof. Dr. Joachim Wittkowski, Würzburg

Dr. Albert Ziegler, München
Dr. Stefan Zippel, München

Schreiben Sie uns!

Wenn Sie inhaltliche Anmerkungen zu diesem Artikel haben, können Sie die Redaktion per E-Mail informieren. Wir lesen Ihre Zuschrift, bitten jedoch um Verständnis, dass wir nicht jede beantworten können.

Partnerinhalte

Bitte erlauben Sie Javascript, um die volle Funktionalität von Spektrum.de zu erhalten.