Kosmologie: Geht es auch ohne Dunkle Energie und Dunkle Materie?

Immer wieder werden Stimmen laut, die ernste Zweifel an der gängigen kosmologischen Lehrmeinung äußern. Das ist gut, denn der Zweifel ist der »beste Freund« von seriöser Wissenschaft. Nur wenn man eine Theorie auf der Grundlage neuer Erkenntnisse und Messdaten ständig hinterfragt und sie an ihre Grenzen bringt, gelingt wissenschaftlicher Fortschritt. Das belegt die Wissenschaftsgeschichte. Freilich müssen dabei wissenschaftliche Methoden angewandt werden. Seriöse Wissenschaft hat nichts mit Meinungen oder Glauben zu tun. Fortschritte in Astronomie und Kosmologie beruhen auf präzisen Daten, physikalischen Gesetzen und der Logik. Die Sprache der physikalischen Gesetze ist die Mathematik. Die Kosmologie als Wissenschaft fußt auf der einen Seite auf einer vielfach erfolgreich überprüften, soliden physikalischen Theorie und auf der anderen Seite auf neutral dokumentierten und reproduzierbaren Beobachtungen sowie wissenschaftlich ausgewerteten Experimenten. In den letzten Jahren wurden einige widersprüchliche Befunde in astronomischen Beobachtungen diagnostiziert. Zudem wurden zwei theoretische Ansätze vorgestellt – das Local-Void-Modell und das Timescape-Modell – , die antreten, das kosmologische Standardmodell infrage zu stellen. Wie gut sind die neuen Vorschläge wirklich?
Einsteins Konzepte für das Universum
Mit vielen seiner Einsichten war Albert Einstein (1879 – 1955) seiner Zeit weit voraus. Wenn man den Kosmos als Ganzes verstehen möchte, kommt man natürlich an seiner allgemeinen Relativitätstheorie nicht vorbei. Einstein veröffentlichte sie in vier Vorträgen vor der Preußischen Akademie der Wissenschaften im Herbst 1915. Am 25. November 1915 folgten die Feldgleichungen der Gravitation. Das Physikgenie erhielt den Nobelpreis zwar nicht für seine vollkommen neue Sicht auf Raum, Zeit und Gravitation, aber seine Konzepte zum Verständnis der Raumzeit und des Universums nutzen wir unverändert bis heute.
Schon früh wollte er seine neue Theorie auf das Universum als Ganzes anwenden. Dabei wurde schnell klar, dass sie in der mathematischen Form von 1915 nicht die damals favorisierte Vorstellung vom Kosmos realisieren konnte: ein ewiges und statisches Universum. Einsteins Feldgleichung vom November 1915 sagte ein kollabierendes Universum voraus, weil sich die in ihm enthaltene Materie infolge der Gravitation anzieht und umso mehr verstärkt, je mehr die Materie dadurch konzentriert wird.
Einstein hatte dann im Jahr 1917 die Intuition, die wir heute als richtig und wegweisend ansehen. Er führte in die Feldgleichung eine neue Größe ein: die kosmologische Konstante, einen Skalar, also eine zunächst nicht weiter festgelegte Zahl, symbolisiert durch Λ, das griechische L. Der Parameter beschreibt eine Art Gegenspieler zur Gravitation, der ihr Paroli bietet. Mithilfe von Λ kann das Universum »ausbalanciert« werden, sodass sich ein statischer Kosmos mathematisch realisieren lässt – auch wenn diese Balance gegen kleine Störungen instabil ist. Was sich physikalisch hinter der mysteriösen Größe verbergen könnte, war auch Einstein unklar.
Anfang der 1970er Jahre – 15 Jahre nach Einsteins Tod – konnte der britische Theoretiker David Lovelock mathematisch beweisen, dass die allgemeine Relativitätstheorie ohne die kosmologische Konstante nicht vollständig wäre. Ganz so, wie die newtonsche Gravitationskonstante den gewohnten, anziehenden Teil der Gravitation quantifiziert, beschreibt die neue Naturkonstante einen abstoßenden Beitrag dazu. Die empirische Notwendigkeit Dunkler Energie zeigt, dass es einen solchen abstoßenden Beitrag tatsächlich gibt.
Einsteins Theorie ist die einfachste, metrische Gravitationstheorie, also die einfachste Theorie, die Gravitation auf geometrische Eigenschaften der Raumzeit zurückführt. Das kosmologische Standardmodell ist das einfachste Weltmodell, das sich daraus konstruieren lässt. Niemand erwartet, dass ein so einfaches Modell, das sich aus der einfachsten metrischen Gravitationstheorie konstruieren lässt, schon eine vollständige und abschließende Antwort gibt, aber sein Erfolg ist unbestreitbar und beeindruckend.
Tests mit Pulsaren
Wie exakt die allgemeine Relativitätstheorie Phänomene der Gravitation beschreibt, belegen eindrucksvoll moderne Beobachtungen von Pulsaren. Pulsare sind schnell rotierende Neutronensterne, die in einem sehr streng periodischen, sehr schnellen Takt fortwährend Radiopulse zur Erde senden. Die Periode der Pulse ist wie der Taktgeber einer präzisen Uhr. Sie ist so stabil, dass sie mit irdischen Atomuhren konkurrieren kann. Derart präzise Uhrwerke können genutzt werden, um Gravitationstheorien auf die Probe zu stellen.
Im Jahr 1974 wurde der Radiopulsar PSR J1915+1606 entdeckt, der später als Hulse-Taylor-Pulsar bekannt wurde. Er umkreist einen weiteren Neutronenstern, der allerdings keine Pulse in Richtung Erde abgibt und somit unsichtbar ist. Dieses System wurde schon in den 1970er und 1980er Jahren dazu benutzt, um die allgemeine Relativitätstheorie auf die Probe zu stellen. Noch bevor Gravitationswellen überhaupt direkt nachgewiesen wurden – was erst im Jahr 2015 mit den Gravitationswellendetektoren LIGO gelang – , konnte mit dem Hulse-Taylor-Pulsar indirekt auf die Existenz der von Einstein vorhergesagten Wellen geschlossen werden. Die beiden Neutronensterne fungieren als sehr kompakte Testmassen, die beim Umkreisen ständig beschleunigt werden. Nach Einsteins Theorie müssen sie dabei Gravitationswellen abstrahlen, also lichtschnelle Verzerrungen im Raumzeitgefüge. Dadurch verlieren die Neutronensterne Energie und umrunden sich immer enger. Schließlich müssen sie unweigerlich miteinander kollidieren und verschmelzen.
Schon Mitte der 1980er Jahre war die Beweislast der Messdaten so erdrückend, dass man auch experimentell vom Auftreten der Gravitationswellen überzeugt war. Die Radioastronomen Russell Hulse und Joseph Taylor erhielten für ihr verdienstvolles Beobachten des Radiopulsars über viele Jahrzehnte schließlich den Physik-Nobelpreis 1993.
Inzwischen sind in der Radioastronomie noch besser geeignete Systeme entdeckt worden, um diese Tests weiter zu verfeinern. Es sind Doppelpulsare, also Systeme, in denen sogar beide Neutronensterne als Radiopulsare in Erscheinung treten. Das Paar namens PSR J0737−3039A/B wurde über viele Jahre von Radioastronomen überwacht. Die beiden Sternüberreste umrunden sich einmal in 2,45 Stunden und sind noch präziser als im Fall des Hulse-Taylor-Pulsars extrem konsistent mit der Vorhersage aufgrund der einsteinschen Gravitation (siehe »Evidenz für abgestrahlte Gravitationswellen«). Die Verschmelzung beider Pulsare wird in rund 85 Millionen Jahren erfolgen.
Weiterer Testerfolg mit Gravitationswellen
Die allgemeine Relativitätstheorie hat schon viele Tests erfolgreich bestanden: Dazu gehören die Periheldrehung des Merkurs, die Lichtablenkung am Sonnenrand (Gravitationslinseneffekt), die Gravitationsrotverschiebung (Pound-Rebka- und Hafele-Keating-Experiment), die Laufzeitverzögerung von elektromagnetischen Wellen (Shapiro-Effekt) und die Mitbewegung von Testmassen in Raumzeiten rotierender Massen (Lense-Thirring-Effekt). Aufgrund der Beobachtungen des Hulse-Taylor-Pulsars war schon vor rund 50 Jahren klar, dass auch an den vorhergesagten Gravitationswellen etwas dran sein musste. Die Gravitationswellen-Laserinterferometer wurden immer empfindlicher, bis endlich im Jahr 2015 die erste direkte Messung eines flüchtigen Raumzeitbebens gelang. Verursacht wurden die sich wellenförmig ausbreitenden Verformungen des Raumzeitgefüges durch die Kollision von zwei Schwarzen Löchern mit jeweils etwa 30 Sonnenmassen. Das geschah in einer Entfernung von mehr als einer Milliarde Lichtjahren, entsprechend einer kosmologischen Rotverschiebung der Quelle von z = 0,09. Das Signal war dann rund 1,2 Milliarden Jahre unterwegs, bis es am 14. September 2015 die beiden LIGO-Detektoren in den USA durchlief und dort für Sekundenbruchteile die Interferometer erschütterte. Das GW150914 getaufte Signal bestätigte auf fulminante Weise eine weitere Vorhersage von Einsteins Gravitation. Dieser Erfolg der Gravitationswellenastronomie wurde mit dem Physik-Nobelpreis des Jahres 2017 gewürdigt. Er kann nicht hoch genug geschätzt werden, weil sich mit der Beobachtung von Gravitationswellen eine völlig neue Möglichkeit erschlossen hat, um die Tiefen des Weltalls zu erforschen.
Prompt ging es auch weiter: In den letzten zehn Jahren wurden mehr als 300 solcher kosmischen Gravitationswellensignale identifiziert, auch von zwei verschmelzenden Neutronensternen in GW170817. Dieses Ereignis wurde besonders bedeutend, weil sowohl sein Gravitationswellensignal mit den beiden LIGO-Detektoren und mit dem Virgo-Detektor in Italien als auch elektromagnetische Signale nachgewiesen werden konnten. Die Analyse der Ankunftszeiten dieser vielfältigen Signale erlaubte es, die Ausbreitungsgeschwindigkeit der Gravitation zu überprüfen. Nach Einsteins allgemeiner Relativitätstheorie müssen sich Gravitationswellen ebenfalls mit der Lichtgeschwindigkeit c ausbreiten (c ≈ 3 × 108 m/s ≈ 1 Mrd. km/h). In der Tat konnte das mit GW170817 bestätigt werden. Allein dieser Befund schließt eine ganze Reihe von alternativen Gravitationstheorien aus, in denen die Wellengeschwindigkeit nicht genau gleich c ist.
Wenige Jahre später gelang der Nachweis von zwei sehr massereichen Schwarzen Löchern mit 100 beziehungsweise 140 Sonnenmassen im Ereignis GW231123. Damit wurde ein völlig neuer Massenbereich von Schwarzen Löchern erschlossen, der zuvor überhaupt nicht bekannt war.
Zuletzt wurde GW250114 veröffentlicht. Dieses Ereignis ähnelt dem Durchbruchsignal von 2015. Es stammt von zwei Schwarzen Löchern mit 33,6 beziehungsweise 32,2 Sonnenmassen, die ebenfalls in einer Distanz von rund 1,3 Milliarden Lichtjahren kollidierten. Es war das bislang klarste Signal und erlaubte erstmals, einen dritten Oberton einer Gravitationswellenschwingung zu dokumentieren.
Verschmelzende Schwarze Löcher zeigen einen charakteristischen Verlauf der Gravitationswellenamplitude und -frequenz mit der Zeit. Diese Wellenform wird als Chirp-Signal bezeichnet (englisch: to chirp = zwitschern). Direkt nach der Verschmelzung der Schwarzen Löcher ebbt die Gravitationswellenamplitude exponentiell ab, weil die beteiligten Massen dann zu einem Objekt geworden sind, in dem nichts mehr beschleunigt wird. Das Relikt, das aus dem Zusammenstoß hervorging, schwingt nur noch etwas nach, bis es seinen neuen Endzustand erreicht. Diese Schlusssequenz des Signals wird Ringdown genannt. In ihm findet man ebenfalls keine Abweichungen von klassischen Schwarzen Löchern der einsteinschen Theorie.
Tests in der Kosmologie
Die allgemeine Releativitätstheorie wird auch auf viel größeren kosmischen Skalen überprüft. Dabei kommen neue dunkle Komponenten ins Spiel. Seit Jahrzehnten entziehen sich die Dunkle Energie und die Dunkle Materie einer Enthüllung, welcher genauen Natur sie sind. Handelt es sich um neue Teilchen? Oder um neue Felder? Oder vielleicht um etwas, das mit anderen neuentdeckten Feldern wie dem Higgs-Feld aus der Teilchenphysik zusammenhängt? In den Naturwissenschaften werden alle Wege beschritten. Auch auf den ersten Blick verrückt oder abwegig erscheinenden Ansätzen wird nachgegangen.
In letzter Zeit nimmt die Kritik an den seltsamen dunklen Komponenten und auch an der Urknalltheorie zu. Die Kritik ist im Grundsatz berechtigt und kann dafür sorgen, dass wir wissenschaftlich weiterkommen. Doch müssen sowohl die Kritik als auch mögliche alternative Theorien prüfbare Substanz haben und bessere Vorhersagen auf ähnlich einfacher Grundlage erlauben.
Es ist richtig, dass wir nach wie vor nicht wissen, woraus die Dunkle Materie besteht. Das stärkste Argument für ihre Existenz stammt jedoch nicht aus einzelnen Objekten wie Galaxien oder Galaxienhaufen, die unter höchst unterschiedlichen Bedingungen entstanden sind, sondern aus der beobachteten kosmischen Hintergrundstrahlung, die das ganze Universum höchst gleichmäßig ausfüllt. Dem kosmologischen Standardmodell zufolge ist sie das Relikt des heißen Urknalls (siehe SuW 11/2025, S. 24). In vielen Projekten wurde die Hintergrundstrahlung ausgemessen, nachdem sie in den 1960er Jahren entdeckt worden war. Die Weltraummissionen COBE (Cosmic Background Explorer, NASA), WMAP (Wilkinson Microwave Anisotropy Probe, NASA) und Planck (ESA) dokumentierten die Hintergrundstrahlung am ganzen Himmel. Dabei konnte mit dem Instrument COBE FIRAS bestätigt werden, dass es sich um Wärmestrahlung handelt – wie vom Urknallmodell gefordert.
Zuletzt wurde im Frühjahr 2025 die Auswertung von Beobachtungsdaten der Hintergrundstrahlung präsentiert, die mit dem Atacama Cosmology Telescope (ACT) aufgenommen worden waren. Es handelt sich dabei um ein 6-Meter-Radioteleskop auf dem Cerro Toco in der chilenischen Atacama-Wüste. ACT hatte im Jahr 2007 First Light und nahm bis zum Jahr 2022 die Urstrahlung bei drei Frequenzen zwischen 145 und 280 Gigahertz auf.
In subtilen Details der Temperaturverteilung der Hintergrundstrahlung finden sich Spuren, die ihr von Galaxienhaufen aufgeprägt wurden. Das funktioniert so: Die Photonen der kosmischen Hintergrundstrahlung breiten sich seit der Rekombinationsepoche kurz nach dem Urknall im Universum aus und treffen schließlich später, wenn sich das Universum weiterentwickelt hat, auf heißes Plasma, das sich zwischen den Galaxien in Galaxienhaufen befindet. Die niederenergetischen Photonen werden dabei an den energiereichen Elektronen des Plasmas gestreut und nehmen Energie auf. Praktisch ist ihre Strahlungsfrequenz höher. Dadurch fehlen Photonen bei niedrigen Energien, tauchen jedoch bei höheren Energien wieder auf, sodass Galaxienhaufen bei niedrigen Frequenzen – unterhalb von 217 Gigahertz – einen »Schatten« auf das Muster der Hintergrundstrahlung werfen; bei hohen Frequenzen erscheinen sie aber als Quelle (siehe »Vom Schatten zur Quelle«). Diese spezielle Variante der inversen Compton-Streuung wird in der Kosmologie (thermischer) Sunjajew-Seldowitsch-Effekt (Sunyaev-Zel'dovich-Effekt, SZ-Effekt) genannt. Ein Teil des ACT-Signals stammt aus dem SZ-Effekt, allerdings ist das nur auf den kleinsten Skalen der Fall. Bis dorthin stammt das Signal wie bei WMAP und Planck aus Karten der Temperaturschwankungen.
Auf diese Weise kann aus dem detektierten Signal der Hintergrundstrahlung auf die Verteilung von Materie auf großen Skalen geschlossen werden. Das Muster der Hintergrundstrahlung enthält auch Informationen über Dunkle Energie: Je größer ihr Anteil ist, umso schneller entfernen sich benachbarte Lichtstrahlen voneinander, sodass eine gegebene physikalische Länge unter einem immer kleineren Winkel erscheint.
Ein Teil des ACT-Signals stammt aus dem SZ-Effekt, aber das ist nur auf den kleinsten Skalen der Fall. Bis dorthin stammt das Signal wie bei WMAP und Planck aus Karten der Temperaturschwankungen. ACT schränkt so den Parameterraum für Dunkle Energie ΩΛ und Dunkle Materie ΩDM ein (siehe »Konsistenz mit ΛCDM«).
ACT hat somit das kosmologische Standardmodell erneut bestätigt. Der große Vorteil von solchen Messungen ist, dass sie eine gewisse Universalität aufweisen. So wird die kosmische Hintergrundstrahlung mit der Weltraummission Planck am ganzen Himmel gemessen. Vorschläge aufgrund von Beobachtungen einzelner Galaxien bieten hingegen keine Lösung.
Hinsichtlich der Erforschung der Dunklen Energie wurden einige Projekte gestartet, mit denen ihr Geheimnis endgültig gelüftet werden soll. Dazu gehören der Dark Energy Survey (DES) und das Dark Energy Spectroscopic Instrument (DESI) – beide in den USA beheimatet. Von der DESI-Kollaboration wurde ein Befund veröffentlicht, der eine zeitlich veränderliche Dichte der Dunklen Energie nahelegt. Dieses Verhalten widerspräche der kosmologischen Konstante, die ja zeitunabhängig ist. Es gibt zahllose theoretische Modelle für zeitabhängige Formen Dunkler Energie, für welche die sogenannte Quintessenz ein Beispiel ist. Auch wenn sie die kosmologische Konstante ersetzen würden, könnten sie problemlos in den Rahmen des kosmologischen Modells eingefügt werden. Allerdings ist der Befund von DESI noch nicht überzeugend, weil die statistische Signifikanz nicht hoch genug ist. Dieses Projekt bringt Einsteins Λ nach aktuellem Stand der Erkenntnisse noch nicht ernsthaft in Bedrängnis.
Die Europäer schickten das Weltraumteleskop Euclid ins Rennen, das im Sommer 2023 seine Beobachtungen aufgenommen hat. Euclid vermisst die großräumige Struktur vom Lagrange-Punkt L2 des Sonne-Erde-Systems aus in einer großangelegten Kampagne. Dazu werden die Orte von Galaxien und Galaxienhaufen in 3-D bestimmt. Zwei Koordinaten ergeben sich aus dem Ort am Himmel, der zum Beispiel durch die beiden Winkel Rektaszension und Deklination direkt gemessen werden kann. Die dritte Raumdimension, sozusagen die Tiefeninformation, folgt aus der kosmologischen Rotverschiebung z. Diese kann nach dem folgenden Prinzip ermittelt werden: Das Spektrum einer beobachteten Galaxie verschiebt sich hinter einem Fächer aus Filtern, sodass sich abhängig von der kosmologischen Rotverschiebung der Galaxie Helligkeitsverhältnisse zwischen verschiedenen Filtern verschieben. Aus der 3-D-Verteilung von Millionen von Galaxien kann mit Euclid auf Dunkle Materie und Dunkle Energie geschlossen werden, wenn man die 3-D-Messdaten mit kosmologischen Modellen vergleicht. Dabei kann mit den Euclid-Daten nach Abschluss der Messkampagne auch untersucht werden, ob die Dunkle Energie in Abhängigkeit von der Rotverschiebung variiert, mit anderen Worten, ob sie sich zeitlich verändert.
Bei Euclid wird auch der schwache Gravitationslinseneffekt ausgenutzt. Infolge dieses Effekts werden die Bilder ferner Galaxien durch gewöhnliche Materie ebenso wie durch Dunkle Materie, die sich zwischen uns als Beobachtern und der Galaxie befindet, leicht verzerrt. Inzwischen ist dieser Effekt so gut verstanden und so gut zu modellieren, dass daraus auf die Materieverteilung zwischen uns und der Galaxie geschlossen werden kann. Euclid liefert dabei Mittelwerte über viele Galaxien, weil aus dem Bild einer einzelnen Galaxie nichts geschlossen werden kann.
Als Weltraumteleskop hat Euclid zudem den großen Vorteil, dass es nach seiner Missionsdauer von sechs Jahren große Teile des Himmels aufgenommen haben wird. Erdgebundene Teleskope, die zum Beispiel mit dem DES- oder dem DESI-Projekt verbunden sind, können immer nur einen kleinen Himmelsausschnitt überwachen, der vom Standort aus zugänglich ist. Es sei angemerkt, dass sich Euclid zwar auf jede Himmelsrichtung ausrichten lässt, dass allerdings wegen Staub und vieler Sterne, unter anderem in der Ebene der Milchstraße, de facto nur ein Drittel des gesamten Himmels erfasst werden kann. Das ist dennoch erheblich besser als bei erdgebundenen Teleskopen.
Der Dark Energy Survey (DES) ist ein internationales Projekt, an dem sieben Länder beteiligt sind. Mit einem 4-Meter-Teleskop am Cerro Tololo Inter-American Observatory in Nordchile wurde ein Teil des Südhimmels zwischen den Jahren 2013 und 2019 im Optischen und im Nahinfraroten durchmustert. Die überwachte Fläche betrug mit 5000 Quadratgrad etwa ein Achtel des Himmels. Dabei wurden rund 200 Millionen Galaxien untersucht, die bis zu acht Milliarden Lichtjahre entfernt sind. Herzstück ist die vier Tonnen schwere Dark Energy Camera (DECam). Sie besteht aus 62 CCDs und hat eine Größe von 570 Megapixeln. Hauptziel des Projekts ist die Erforschung der Dunklen Energie: Was ist ihre Natur? Ist sie zeitlich variabel? Mit DES wurden sowohl die räumliche Anordnung von Galaxien und Galaxienhaufen als auch Supernovae vom Typ Ia dokumentiert. Im Jahr 2024 wurden kosmologische Ergebnisse von DES vorgestellt, die auf 1500 Supernovae Ia mit Rotverschiebungen von z = 0,1 bis z = 1,13 beruhen. Diese Beobachtungsdaten waren konsistent mit dem kosmologischen Standardmodell.
Das Hubble-Problem
Steht demnach alles in Einklang mit dem Standardmodell der Kosmologie, dem ΛCDM-Modell? Vielleicht nicht, denn es gibt eine kuriose Entdeckung, die seit Jahren Fachleute in Unruhe versetzt. Die Diagnose betrifft die Hubble-Konstante H0 – eine fundamentale Größe in der Kosmologie. Sie ist ein Maß für die heutige (z = 0) Expansionsgeschwindigkeit des Universums, daher der Index 0. Im Allgemeinen ist der Hubble-Parameter natürlich abhängig von der Zeit t, also ein H(t), oder – was äquivalent ist – abhängig von der Rotverschiebung z, demnach ein H(z). Die Hubble-Konstante H0 ist identisch mit H(t = heute) = H(z = 0) = H0. Verschiedene astronomische Messungen der kosmischen Expansionsgeschwindigkeit werden auf heute extrapoliert, sodass sie die Hubble-Konstante ergeben. Nun sollten verschiedene Methoden zur Bestimmung von H0 denselben Zahlenwert liefern. Seit einigen Jahren beobachten Astronominnen und Astronomen jedoch einen eklatanten Widerspruch: Verschiedene Messverfahren ergeben Zahlenwerte von H0, deren Messgenauigkeit inzwischen so groß ist, dass sie als unterschiedlich angesehen werden müssen (siehe SuW 11/2020, S. 26). Die Unterschiede bewegen sich im Rahmen von fast zehn Prozent (siehe »Widersprüchliche Resultate für H0«). Dieser Befund steht seit Jahren im Raum. Trotz angestrengter Versuche, die Diskrepanz zu erklären, entzieht sich dieses Hubble-Problem (englisch: Hubble tension) seit Jahren einer Lösung.
Beim Detektieren von Gravitationswellen markiert das Ereignis GW170817, das am 17. August 2017 mit den beiden LIGO-Detektoren und dem Detektor Virgo registriert wurde, einen Meilenstein. Da nicht Schwarze Löcher, sondern zwei Neutronensterne eines Doppelsternsystems zusammenstießen, war diese Sternkollision sogar elektromagnetisch zu beobachten. In der Galaxie NGC 4993 in rund 130 Millionen Lichtjahren Distanz zur Erde konnte zwei Sekunden nach der Gravitationswelle ein Aufleuchten im Bereich der Gammastrahlung mit dem NASA-Satelliten Fermi verfolgt werden – der Blitz namens GRB170817A. Hunderte weitere Teleskope registrierten ebenfalls Strahlung aus sämtlichen Spektralbereichen. Sogar zwei Wochen nach dem Gravitationswellenereignis wurden noch Radiowellen und Röntgenstrahlen von GW170817 gemessen. Das Ereignis war wie ein Feuerwerk und ein Highlight der Multi-Messenger-Astronomie – so nennt man es, wenn sowohl Gravitationswellen als auch elektromagnetische Wellen eines Objekts beobachtet werden können. Die Neutronensterne des Systems hatten Massen von ungefähr anderthalb Sonnenmassen; nach der Kollision entstand sehr wahrscheinlich ein Schwarzes Loch mit etwa 2,7 Sonnenmassen.
Aus den auf der Erde angekommenen Gravitationswellen von GW170817 lässt sich die Distanz ermitteln, weil die Wellenamplitude linear mit dem Radius abnimmt. Aus den elektromagnetischen Signalen ermittelt man die Geschwindigkeit, mit der sich die Quelle von uns entfernt. Aus dem Zusammenhang zwischen Fluchtgeschwindigkeit und Entfernung aufgrund des kosmologischen Standardmodells folgt so der Wert der Hubble-Konstante. Es sei angemerkt, dass das Hubble-Lemaître-Gesetz bei größeren Entfernungen nicht mehr linear ist. Leider ist die Messunsicherheit dieser neuen Methode mit Gravitationswellen noch relativ hoch, und sie gestattet es nicht, das Hubble-Problem zu lösen – noch nicht. Weitere Multi-Messenger-Ereignisse werden folgen und die Fehlerbalken schrumpfen lassen.
Im Folgenden sollen zwei neue Vorschläge skizziert werden, die einfache Lösungen anbieten, um das Hubble-Problem zu überwinden.
Gefangen in einer Blase
Am Anfang stand ein erstaunlicher Befund aus astronomischen Beobachtungen: Im Jahr 2013 fanden Ryan Keenan, Amy Barger und Lennox Cowie einen starken Hinweis darauf, dass wir als Beobachter in einer lokalen Blase mit deutlich reduzierter Materiedichte sitzen. Das ergibt sich aus Zählungen von Galaxien. Wir reden hier von einem Unterschied von ungefähr 20 Prozent im Vergleich zur Umgebung. Dieser lokale Leerraum (englisch: local void) wird in der Literatur auch Keenan-Barger-Cowie-Void genannt. Der Void ist mit rund einer Milliarde Lichtjahren Ausdehnung ziemlich groß. Zum Vergleich: Die Andromedagalaxie, die wie unsere Galaxis Mitglied in der Lokalen Gruppe ist, ist 2,5 Millionen Lichtjahre entfernt. Die Distanz des nächsten großen Galaxienhaufens, des Virgohaufens, beträgt rund 50 Millionen Lichtjahre. Das Gravitationswellensignal GW150914 kam von zwei verschmelzenden Schwarzen Löchern in ungefähr 1,3 Milliarden Lichtjahren Entfernung. Unsere galaktische Heimat liegt etwa in der Mitte des riesigen Leerraums. Er beeinflusst möglicherweise, wie wir den fernen Kosmos wahrnehmen und zu welchen Resultaten wir beim Messen von kosmologischen Parametern aus Beobachtungen kommen. Ein solcher lokaler Void hat insbesondere Auswirkungen auf die kosmologischen Rotverschiebungen von Galaxien: Wenn in unserer näheren Umgebung eine geringere Materiedichte vorherrscht, werden ferne Galaxien eher zu den Regionen höherer Materiedichte gezogen – einfach aufgrund der Gravitation. Daher würde die Expansionsbewegung mit lokalen Methoden überschätzt werden. Die bei uns vor Ort bestimmte Ausdehnungsrate, also die Hubble-Konstante H0, würde größer erscheinen, als sie eigentlich ist.
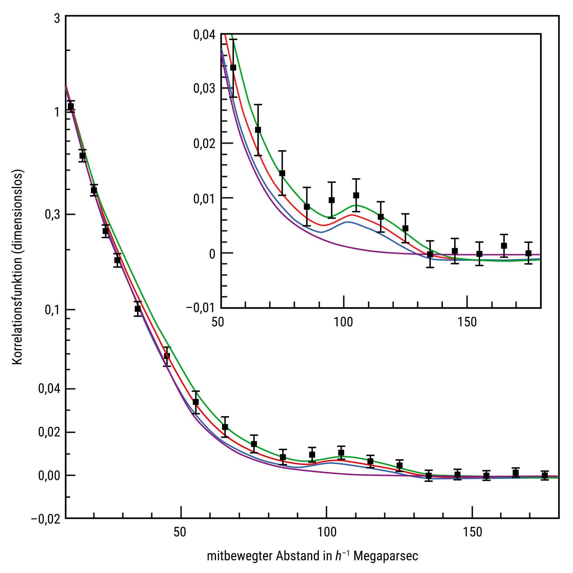
Die Astronomen Indranil Banik und Vasileios Kalaitzidis haben getestet, ob an dieser Erklärung mit der lokalen Blase tatsächlich etwas dran sein könnte. Sie untersuchten kosmologische Daten zu baryonischen akustischen Oszillationen (englisch: baryonic acoustic oscillations, kurz BAOs). Damit sind Muster in der großräumigen Verteilung von Galaxien gemeint, die ihren Ursprung in viel früheren Entwicklungsepochen des Universums hatten. Im primordialen Wasserstoff-Helium-Gas, welches der Urknall hinterlassen hatte, breiteten sich Schallwellen aus. Als das junge Universum dann weiter expandierte und abkühlte, wurden Muster dieser Schallwellen in das Gasgemisch geprägt. Als sich noch viel später aus dieser Materie die Galaxien und Galaxienhaufen bildeten, übertrug sich dieses Muster auf die räumliche Galaxienverteilung. Es wurde allerdings gestreckt, weil der Raum expandierte. Im Jahr 2005 konnte ein Team um Daniel Eisenstein eine charakteristische Längenskala aus dem Muster der kosmischen Hintergrundstrahlung, also aus einer Ära von 380 000 Jahren nach dem Urknall, in der Milliarden Jahre später gewachsenen großräumigen Struktur aufspüren (siehe »Ein kosmischer Abdruck«). Das Muster, das urzeitliche Schallwellen in den Materieverteilungen hinterließen, dient als charakteristische Längenskala, als »Standardlineal« (englisch: standard ruler). Die Beobachtungsdaten von fast 50 000 rötlich erscheinenden Galaxien, die in die Studie eingingen, stammen dabei aus dem Sloan Digital Sky Survey (SDSS). Der Survey, der im Jahr 2000 begann, bildete ungefähr eine Milliarde Galaxien ab, die mit dem optischen 2,5-Meter-Teleskop am Apache Point Observatory in New Mexico (USA) erfasst wurden. Für vier Millionen von ihnen sind Spektren aufgenommen worden. Auch hier wurden kosmologische Rotverschiebungen spektral und fotometrisch ermittelt, was 3-D-Karten von großen kosmischen Volumina erbrachte.
Banik und Kalaitzidis benutzten BAO-Daten, die über eine Beobachtungszeit von rund 20 Jahren gesammelt wurden. Sie versuchten herauszufinden, ob aus unserer lokalen Sicht in der fast leeren Blase das Standardlineal anders aussieht. Sie kommen zu dem Schluss, dass das Entstehen des großen lokalen Leerraums etwa hundertmillionenfach wahrscheinlicher ist als ein Szenario auf der Grundlage des kosmologischen Standardmodells ohne lokale Blase.
Das Local-Void-Modell wird kontrovers diskutiert. So finden andere Forschungsgruppen, beispielweise ein Team um Daniel Baumann, dass die Rückwirkung der Blase zwar vorhanden, aber viel zu schwach ist, um das Hubble-Problem zu erklären. Man sollte daher den lokalen Leerraum und dessen Auswirkungen auf kosmologische Messungen weiter erforschen. Das Hubble-Problem bleibt allerdings bestehen, wenn man sich die Vielzahl der weiteren Methoden zum Ermitteln der Hubble-Konstanten anschaut. Dabei könnten künftig Gravitationswellen helfen, die ein unabhängiges Bestimmen von H0 erlauben und deren Messunsicherheit weiter abnehmen wird.
Das Timescape-Modell
Zeit ist relativ. Diese Einsicht hat sich auch in der Physik mit Einsteins Theorie etabliert und wurde mannigfach dokumentiert, unter anderem durch Messungen der Halbwertszeit zerfallender Myonen in der kosmischen Strahlung und im Hafele-Keating-Experiment. Das Verrinnen von Zeit wird gedehnt, wenn sich eine Uhr relativ zu einem Beobachter bewegt (spezielle Relativitätstheorie) oder wenn sich die Uhr näher an einer Masse befindet (gravitative Zeitdilatation in der allgemeinen Relativitätstheorie). Weniger bekannt ist, dass es auch eine Form kosmologischer Zeitdehnung oder Zeitdilatation gibt. Wir »hören« die Uhr in einer fernen Galaxie langsamer ticken. Dieser Effekt kann tatsächlich in Lichtkurven von Sternexplosionen beobachtet werden.
In einem Universum aus Waben und Voids muss die gravitative Zeitdilatation Konsequenzen haben. Dort, wo die Materie stärker konzentriert ist, ticken die Uhren langsamer als in den großen, nahezu materiefreien Leerräumen. Im Lauf der kosmischen Entwicklung summieren sich diese Effekte, so der Ansatz im Timescape-Modell.
Im kosmologischen Standardmodell ist eine zentrale Voraussetzung, dass das Universum auf großen Längenskalen homogen ist. Der neuseeländische Physiker David Wiltshire hat im Jahr 2007 vorgeschlagen, dass sich die Inhomogenitäten in der großräumigen Struktur stärker auswirken, als man bisher angenommen hatte. Außerdem lässt er zu, dass das Universum möglicherweise nicht räumlich flach ist, dass also die räumliche kosmische Krümmung von null abweichen kann. Damit eröffnet sich ein Bereich von kosmologischen Modellen, die man testen kann. Sie bewegen sich alle im Rahmen der allgemeinen Relativitätstheorie, erfordern den Proponenten zufolge jedoch keine Dunkle Energie. Man muss im Gegensatz zur Standardkosmologie in Kauf nehmen, dass das Universum weniger symmetrisch und »grobkörniger« ist.
In einer wissenschaftlichen Publikation aus dem Jahr 2025 behaupten Autoren um Antonia Seifert inklusive Wiltshire, dass die Supernovadaten des Projekts Pantheon+ besser mit der Timescape-Kosmologie übereinstimmen als das ΛCDM-Modell. Sie fordern daher, das kosmologische Standardmodell zu revidieren. Ob sie damit richtig liegen, wäre noch zu zeigen. In der wissenschaftlichen Gemeinschaft regt sich jedenfalls Widerspruch. So kann ein Team um den australischen Astronomen Ryan Camilleri in seiner wissenschaftlichen Arbeit nicht bestätigen, dass das Timescape-Modell die Messdaten besser beschreibt als die Standardkosmologie.
Alternative Ansätze zur Standardkosmologie sehen sich dem Problem gegenüber, dass sie eine der drei Annahmen infrage stellen müssen, auf denen die Standardkosmologie beruht:
- Die allgemeine Relativitätstheorie ist die grundlegende Gravitationstheorie,
- das Universum ist um uns herum isotrop
- und auch um jeden anderen Beobachter, also homogen.
Abweichungen von der Isotropie sind aufgrund der Beobachtungen des kosmischen Mikrowellenhintergrunds so gut wie unmöglich. Die Homogenität ist praktisch nicht belegbar, weil wir unseren Beobachtungspunkt gegenüber kosmischen Entfernungen kaum verlegen können. Wie robust die allgemeine Relativitätstheorie ist, hat David Lovelock in seinen Theoremen gezeigt: Wer davon abweichen will, muss entweder die Anzahl der Raumzeitdimensionen über vier hinaus erweitern, weitere Felder (kosmische Substanzen) einführen oder geometrische Größen in die Theorie einbeziehen, die über die Krümmung hinausgehen. Alle diese Erweiterungen wurden vielfach, aber ohne durchschlagenden Erfolg untersucht. Viele Theorien, die über die Krümmung hinausgehen, werden dadurch ausgeschlossen, dass Gravitationswellen sich nachweislich mit Lichtgeschwindigkeit ausbreiten. Theorien, die weitere Felder einführen, müssen sich fragen lassen, was dadurch gewonnen ist, dass Dunkle Materie im günstigsten Fall vermieden werden kann, aber andere Substanzen an ihre Stelle treten müssen. Die oft zitierte MOND-Theorie beispielsweise kann Dunkle Materie auf kosmischen Skalen nicht ganz vermeiden, braucht dazu aber noch weitere Felder und führt damit zu einem kosmologischen Modell, das erheblich aufwändiger als das Standardmodell ist. Hinzu kommt, dass Lovelocks Theoreme die kosmologische Konstante als notwendig erweisen. Sie ist die einfachste Form Dunkler Energie. Wenn man sie durch eine dynamische Dunkle Energie ersetzen möchte, muss man sich fragen lassen, wie man die kosmologische Konstante wegerklären möchte. Und zudem muss jeder alternative Vorschlag die bestehenden vielfältigen Beobachtungen mindestens ebenso gut erklären können wie das Standardmodell.
Faire Wissenschaft
Immer wieder hinterfragt sich die Wissenschaft selbst. Durch Forschung werden genau die Grenzen einer erfolgreichen Theorie ausgelotet: Was kann sie erklären – was nicht? Wie müsste eine Theorie modifiziert und erweitert werden, damit sie mysteriöse Phänomene oder Anomalien zu erklären vermag? Ein historisches Beispiel dieses wissenschaftlichen Erfolgsrezepts ist der Übergang von der newtonschen Schwerkraft des 17. Jahrhunderts zur einsteinschen Gravitation des 20. Jahrhunderts. Einstein hatte sein Heureka-Erlebnis, als er eine Anomalie in der Bewegung des innersten Planeten im Sonnensystem – die Drehung der Apsidenlinie oder Periheldrehung des Merkurs – quantitativ exakt berechnen konnte. In Newtons Theorie blieb eine unverstandene Diskrepanz von sieben Prozent. Die damit gewonnene neue Erkenntnis: Merkur »spürt« aufgrund seiner Nähe zur Sonne ihre gekrümmte Raumzeit besonders stark.
Natürlich ist damit die newtonsche Schwerkraft nicht falsch. Sie hat – wie jede Theorie – Grenzen, und offenbar werden diese überschritten, wenn man Merkurs Bewegung und Effekte der starken Gravitation verstehen möchte. Zur Beschreibung von starken Gravitationsfeldern, von Schwarzen Löchern, von einem expandierenden Universum und von Gravitationswellen ist die allgemeine Relativitätstheorie nach wie vor das Beste, was wir haben. Sie beschreibt eine Fülle von Gravitationsphänomenen mit einer verblüffenden Exaktheit. Die spannende Frage ist nun: Wo sind die Grenzen von Einsteins Gravitation? Signalisiert das Auftreten von Raumzeit-Singularitäten im Urknall und im Zentrum eines Schwarzen Lochs, dass wir den Gültigkeitsrahmen der einsteinschen Theorie bereits verlassen haben? Manche Forscherinnen und Forscher denken das und machen sich auf die Suche nach einer Quantengravitationstheorie. Die zwei prominentesten Ausarbeitungen dieses Ansatzes sind die Stringtheorie und die Schleifenquantengravitation.
Man könnte auch verführt sein zu denken, dass das Auftreten von Dunkler Materie und Dunkler Energie in der Standardkosmologie signalisieren, dass Einsteins Gravitation hier modifiziert werden muss oder – wie im Fall des Timescape-Modells – Annahmen in der relativistischen Kosmologie grundsätzlich hinterfragt werden müssen.
Die Wissenschaft ist immer offen für Alternativen. Aber sie müssen die Befunde aus Experimenten und Beobachtungen mindestens genauso gut erklären wie die etablierte Theorie. Bislang ist einiges in Bewegung, um die Grenzen der Standardkosmologie auszuloten. Abschließend lässt sich noch keine aussichtsreiche Alternativtheorie ausmachen, welche die Fülle der astronomischen Beobachtungen gleichwertig gut beschreibt wie die Standardkosmologie.
Wenn Sie inhaltliche Anmerkungen zu diesem Artikel haben, können Sie die Redaktion per E-Mail informieren. Wir lesen Ihre Zuschrift, bitten jedoch um Verständnis, dass wir nicht jede beantworten können.