Gasreinigung: Kunststoff absorbiert kleinste Konzentrationen Kohlendioxid

Amerikanische Wissenschaftler haben das bisher praxistauglichste Kohlendioxid absorbierende Material entwickelt. Der Absorber basiert auf dem Kunststoff Polyethylenimin auf einem Träger aus Silikat, der selbst winzigste Konzentrationen Kohlendioxid vollständig aus der Luft absorbiert und bei Erhitzen wieder frei gibt. Der von einem Forscherteam um den Chemie-Nobelpreisträger George Olah von der University of Southern California entwickelte Stoff verliert auch nach mehrfachem Be- und Entladen nicht an Aktivität und ist unempfindlich gegen Luftfeuchtigkeit und Sauerstoff. Derartige Substanzen sind nicht nur für technische Anwendungen interessant, sondern sollen auch Kohlendioxid aus Verbrennungsgasen oder der Atmosphäre ziehen, damit das Treibhausgas konzentriert entsorgt werden kann.
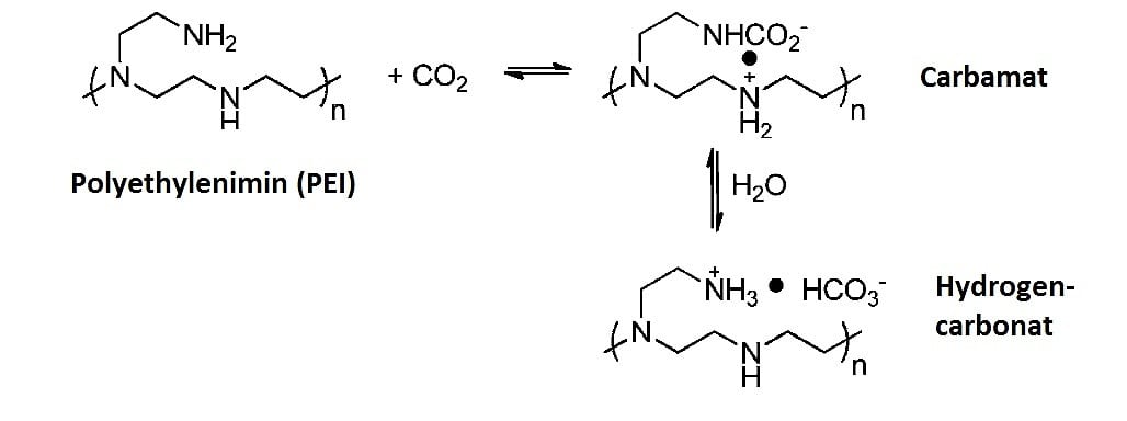
Stickstoffhaltige Moleküle wie Polyethylenimin binden Kohlendioxid chemisch, indem sie mit ihm reagieren. Dabei entstehen Carbamate oder in Gegenwart von Wasser Hydrogencarbonate, die sich durch Erhitzen wieder in Kohlendioxid und das ursprüngliche Polymer spalten lassen. Ein solcher Absorber kann selbst geringe Konzentrationen des Gases selektiv aus der Luft filtern und konzentriert für technische Anwendungen oder zur Endlagerung in tiefen Erdschichten wieder frei setzen. Die von den Wissenschaftlern getestete Verbindung absorbiert Kohlendioxid auch in geringen natürlichen Konzentrationen um etwa 400 ppm nahezu vollständig. Ein Gramm der Substanz nahm in den Experimenten etwa 75 Milligramm Kohlendioxid auf und gab es beim Erhitzen auf 85 Grad vollständig wieder ab. Die Forscher betonen, dass insbesondere die Absorption aus feuchter Luft eine der höchsten je gemessenen sei.
Das Konzept litt bisher unter einer Reihe von Problemen, so der hohe Energiebedarf beim Freisetzen des Gases und die Empfindlichkeit vieler Absorber gegenüber Sauerstoff und Wasser. Die von Olah und Kollegen getestete Substanz erwies sich in beiden Punkten als tauglich – er funktionierte auch bei 67 Prozent Luftfeuchtigkeit und reagierte bei höheren Temperaturen nicht mit Sauerstoff. Vor allem aber macht den beteiligten Wissenschaftlern die relativ niedrige Desorptionstemperatur des gebundenen Kohlendioxids Hoffnung – bei so niedrigen Temperaturen könne man die nötige Energie auch aus der Abwärme eines Kraftwerkes oder gar der Sonneneinstrahlung gewinnen.
Ein derartiger Absorber wäre ideal für technische Anwendungen mit Gasen, die frei von Kohlendioxid sein müssen, oder um das Gas effektiv aus der Atemluft von bemannten Raumfahrzeugen oder Tauchbooten zu befreien. Im großen Stil Kohlendioxid aus Rauchgas entfernen wird man mit dieser Methode allerdings nicht: Um den Kohlendioxidausstoß eines großen Gaskraftwerkes zu absorbieren, wären 80 000 Tonnen des Stoffes nötig – pro Tag.

Schreiben Sie uns!
Beitrag schreiben