Lexikon der Arzneipflanzen und Drogen: Linustatin
Linustatin
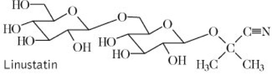
cyanogenes Glykosid, u.a. in den Samen von Linum usitatissimum und in der Wurzelknolle von Manihot esculenta enthalten. Linustatin ist ein α-Hydroxyisobuttersäurenitril-β-D-gentiobiosid, das zu 0,2-0,4 % im Leinsamen enthalten ist. Während der Passage im Magen-Darm-Trakt wird Linustatin gespalten und es entwickelt sich Cyanid, das vom Organismus aber sofort zu Thiocyanat entgiftet und ausgeschieden wird. vgl. Formel

Copyright 1999 Spektrum Akademischer Verlag, Heidelberg
Wenn Sie inhaltliche Anmerkungen zu diesem Artikel haben, können Sie die Redaktion per E-Mail informieren. Wir lesen Ihre Zuschrift, bitten jedoch um Verständnis, dass wir nicht jede beantworten können.