Lexikon der Biochemie: Aminosäurereagenzien
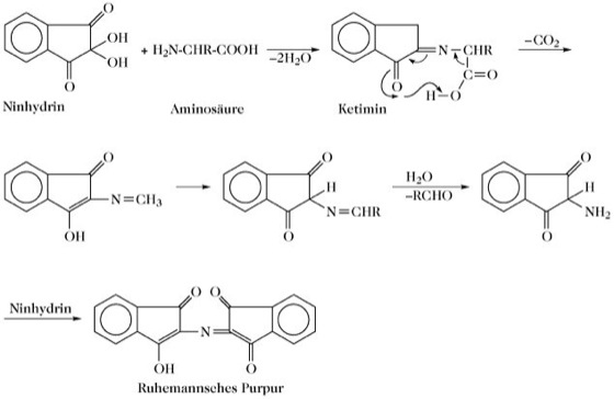
Aminosäurereagenzien, Reagenzien zur colorimetrischen Identifizierung und quantitativen Bestimmung von Aminosäuren. Eines der wichtigsten ist Ninhydrin (2,2-Dihydroxy-1H-inden-1,3(2H)-dion), welches bei der Reaktion mit Aminosäuren einen blauvioletten Farbstoff bildet, das sog. Ruhemannsche Purpurrot (Absorptionsmaximum 570 nm, Abb.). Mit der Aminosäure Prolin bildet Ninhydrin ein gelbes Produkt, das ein Absorptionsmaximum bei 440 nm besitzt.
Bei der Fluorescamin-Technik werden Aminosäuren durch eine Reaktion mit 4-Phenyl[furan-2H(3H)-1'-phtalan]-3,3'-dion (Fluorscamin) in eine stark fluoreszierende Verbindung überführt, die im Nanomolbereich bei 336nm nachgewiesen werden kann. Das Reagenz selbst ist nicht fluoreszierend. Im Gegensatz zu Ninhydrin ist es gegenüber Ammoniak nicht empfindlich.
Weitere Reagenzien hoher Empfindlichkeit sind 2,4,6-Trinitrobenzolsulfonsäure, 1,2-Naphthochinon-4-sulfonsäure (Folinsches Aminosäurereagens) sowie 4,4'-Tetramethyldiaminodiphenylmethan (TDM). Die Bildung intensiv fluoreszierender Aminosäurederivate wird mit o-Phtalaldehyd in Gegenwart von Reduktionsmitteln, mit Pyridoxal und Zn2+-Ionen sowie mit Dansylchlorid (5-Dimethylaminonaphthalin-sulfonylchlorid) erreicht.

Aminosäurereagenzien. Die Ninhydrinreaktion.
Wenn Sie inhaltliche Anmerkungen zu diesem Artikel haben, können Sie die Redaktion per E-Mail informieren. Wir lesen Ihre Zuschrift, bitten jedoch um Verständnis, dass wir nicht jede beantworten können.