Lexikon der Biochemie: Ouabain
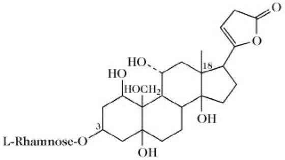
Ouabain, ein Vetreter der Strophanthusglycoside (Abb.). O. ist ein spezifischer Inhibitor der membrangebundenen Na+-K+-ATPase, die für die Aufrechterhaltung hoher intrazellulärer K+- und niedriger intrazellulärer Na+-Konzentrationen verantwortlich ist. Dadurch inhibiert O. den Transport von Na+ aus der Zelle und den Import von K+, und damit zugleich den Import von Glucose und Aminosäuren.

Ouabain
Copyright 1999 Spektrum Akademischer Verlag, Heidelberg
Wenn Sie inhaltliche Anmerkungen zu diesem Artikel haben, können Sie die Redaktion per E-Mail informieren. Wir lesen Ihre Zuschrift, bitten jedoch um Verständnis, dass wir nicht jede beantworten können.