Lexikon der Biologie: Lignin
Lignins [von *lign- ], Holzstoff, einer der Hauptinhaltsstoffe des Holzes und daher mengenmäßig einer der am häufigsten (neben Cellulose) vorkommenden Naturstoffe. Lignin stellt chemisch ein aus Phenylpropaneinheiten durch dehydrierende Polymerisation (Polymere) aufgebautes hochmolekulares, dreidimensionales Netzwerk dar und wirkt als der eigentliche Stützbaustoff der verholzten Pflanzenteile. Es wird bei verstärkter Druckbelastung (Biomechanik) in die Zellwände eingelagert (Lignifizierung), wo es kovalent mit Cellulose und anderen Polysacchariden verknüpft vorliegt. Die Fähigkeit, Lignin zu synthetisieren, war Vorbedingung für die Entwicklung der Höheren Landpflanzen(Rhynia). Lignin wird im allgemeinen auch nur bei den Gefäßpflanzen – dort vor allem in den Tracheiden und Tracheen des Xylems – angetroffen. Neben seiner Stützfunktion hat Lignin offensichtlich auch Bedeutung bei der pflanzlichen Abwehr – zum einen bietet es mechanischen Fraßschutz, zum anderen verhindert nach Verletzung oder Infektion die Lignifizierung umliegender Gewebe die Ausbreitung von Parasiten oder Pathogenen. – Die Synthese des Lignins nimmt ihren Ausgang von den aromatischen Aminosäuren Phenylalanin und Tyrosin ( vgl. Abb. 1 ), wobei der Bildung von trans-Zimtsäure aus Phenylalanin durch die über das Phytochrom-System regulierte Phenylalanin-Ammonium-Lyase (PAL) herausragende Bedeutung zukommt. In mehreren Schritten entstehen daraus die Zimtsäure-Derivate Cumarsäure, Ferulasäure und Sinapinsäure (Hydroxyzimtsäuren) bzw. die entsprechenden Zimtaldehyde und Zimtalkohole ( vgl. Tab. ). Unter der katalytischen Wirkung von Peroxidasen werden diese zu Radikalen dehydriert, die als die eigentlich reaktionsfähigen Phenylpropaneinheiten aufzufassen sind, welche sich anschließend spontan und ohne weitere Beteiligung von Enzymen zum Lignin polymerisieren. Wegen der verschiedenen Verknüpfungsmöglichkeiten und der unterschiedlichen Anteile einzelner Phenylpropaneinheiten ist Lignin chemisch kein einheitlicher Stoff. Hinzu kommen unterschiedliche Polymerisationsgrade, da diese lediglich durch die Verfügbarkeit der Phenylpropaneinheiten begrenzt sind. Die relativen Anteile der 3 Bausteintypen sind charakteristisch für verschiedene Pflanzengruppen: Laubholz-Lignin enthält überwiegend Sinapineinheiten, Nadelholz-Lignin ( vgl. Abb. 2 ) vorwiegend Coniferyleinheiten, und Gramineen-Lignin (besonders in Stroh enthalten) weist hohe Anteile von Cumaryleinheiten auf. – Der Abbau von Lignin erfolgt durch die Weißfäule des Holzes oder von in den Boden gelangenden Holzteilen (Holzabbau) ausschließlich durch Mikroorganismen (celluloseabbauende Mikroorganismen, Ligninase, Mineralisation), größtenteils durch Pilze (Basidiomyceten, Ständerpilze). Gute Lignin-Abbauer sind Schmetterlingsporling (Trametes versicolor Pil.), Rindenschichtpilze(z.B. Stereum hirsutum), Rindenpilze (z.B. Phanerochaete chrysosporium) und Hallimasch(Armillaria mellea). Aufgrund seiner Struktur wird Lignin auch enzymatisch außerordentlich langsam abgebaut (Halbwertszeit im Boden je nach Luftzufuhr 10–20 Jahre); es ist daher die Hauptquelle für den Humus des Bodens. Lignin fällt großtechnisch als Nebenprodukt bei der Herstellung von Zellstoff für die Papierindustrie an und gelangt als lösliche Ligninsulfonsäure in Gewässer. Es trägt so erheblich zur organischen Umweltverschmutzung von Gewässern bei. Eine Veränderung der Ligninzusammensetzung mittels gentechnischer Methoden (Gentechnologie) könnte die Entfernung von Lignin bei der Zellstoffgewinnung erleichtern und außerdem die Verdaulichkeit mancher Futterpflanzen verbessern. Ballaststoffe, Bodenorganismen, Coniferin, Freudenberg (K.J.), Gerbstoffe, Kormus, Lignocellulose, Pansensymbiose, Phloroglucin, Streuabbau; Zellwand.
H.K./M.B.

Lignin
Lignin-Monomere

Lignin
Abb. 1: Reaktionen, die zur Bereitstellung der Lignin-Monomere führen. PAL = Phenylalanin-Ammonium-Lyase, TAL = Tyrosin-Ammonium-Lyase

Lignin
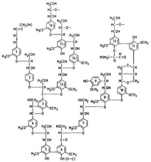
Abb. 2: Ausschnitt aus der Struktur des Nadelholz-Lignins. Das Schema zeigt die Verknüpfung von 16 Phenylpropaneinheiten (davon 14 Coniferylalkoholeinheiten, 1 Cumarylalkoholeinheit und 1 Sinapylalkoholeinheit) und ihre unterschiedlichen Verknüpfungsarten. Die Größe der wiedergegebenen Struktur entspricht etwa dem 20. Teil eines Ligninmoleküls. Aufgrund der räumlich gerichteten Vierbindigkeit der Kohlenstoffatome der C3-Seitenketten und durch weitere Quervernetzungen (im Schema aus Übersichtsgründen nicht eingezeichnet) resultiert eine dreidimensionale Netzwerkstruktur.
Wenn Sie inhaltliche Anmerkungen zu diesem Artikel haben, können Sie die Redaktion per E-Mail informieren. Wir lesen Ihre Zuschrift, bitten jedoch um Verständnis, dass wir nicht jede beantworten können.