Lexikon der Chemie: Anilinharze
Anilinharze, Duroplaste aus der Gruppe der Aminoplaste, die man folgendermaßen unterscheidet: 1) Unvernetzte, nicht härtbare, brüchige, kolophoniumartige, lösliche und schmelzbare A., die man durch Kondensation in neutralem oder schwach saurem Medium erhält.

Als Ausgangsprodukte dienen hauptsächlich Anilin, jedoch auch Toluidine, Naphthylamine, Diamine und sekundäre Amine, z. B. Benzylanilin, und Formaldehyd oder andere aliphatische und aromatische Aldehyde. Sie können für Lackzwecke und als Textilhilfsmittel eingesetzt werden.
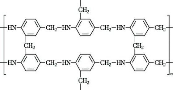
2) Vernetzte, unschmelzbare, bei etwa 150 °C thermoplastische, dabei jedoch nicht fließbare A., die man durch Kondensation in stark saurem Medium erhält. Als Aldehydkomponente verwendet man hier nur Formaldehyd und als Amine lediglich primäre aromatische Amine. Durch einen Überschuß von Formaldehyd wird eine Vernetzung der primär entstehenden Ketten erreicht, und man gelangt so zu Harzen, die sich in Verbindung mit Füllstoffen zu Kunststoffen mit guten mechanischen und elektrischen Eigenschaften verarbeiten lassen.

3) Völlig unlösliche, auch in der Hitze nicht erweichende A., die sich durch Kondensation von Anilin und anderen Aminen mit Furfural bilden.
Wenn Sie inhaltliche Anmerkungen zu diesem Artikel haben, können Sie die Redaktion per E-Mail informieren. Wir lesen Ihre Zuschrift, bitten jedoch um Verständnis, dass wir nicht jede beantworten können.