Direkt zum Inhalt

Lexikon der Chemie: Corey-Seebach-Methode

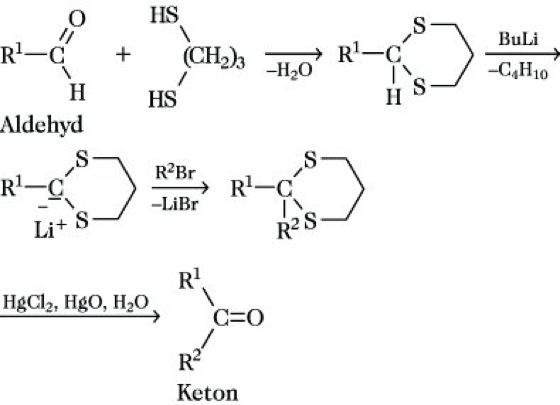
Corey-Seebach-Methode, eine 1965 gefundene Darstellung von verkappten Acyl-Anionen durch Umpolung von Aldehyden mittels Dithianbildung (1,3-Dithiane) und Lithiierung. Damit ist eine C-Alkylierung der Aldehydgruppe und Synthese zahlreicher Ketone aus Aldehyden möglich.



  • Die Autoren
Dr. Andrea Acker, Leipzig
Prof. Dr. Heinrich Bremer, Berlin
Prof. Dr. Walter Dannecker, Hamburg
Prof. Dr. Hans-Günther Däßler, Freital
Dr. Claus-Stefan Dreier, Hamburg
Dr. Ulrich H. Engelhardt, Braunschweig
Dr. Andreas Fath, Heidelberg
Dr. Lutz-Karsten Finze, Großenhain-Weßnitz
Dr. Rudolf Friedemann, Halle
Dr. Sandra Grande, Heidelberg
Prof. Dr. Carola Griehl, Halle
Prof. Dr. Gerhard Gritzner, Linz
Prof. Dr. Helmut Hartung, Halle
Prof. Dr. Peter Hellmold, Halle
Prof. Dr. Günter Hoffmann, Eberswalde
Prof. Dr. Hans-Dieter Jakubke, Leipzig
Prof. Dr. Thomas M. Klapötke, München
Prof. Dr. Hans-Peter Kleber, Leipzig
Prof. Dr. Reinhard Kramolowsky, Hamburg
Dr. Wolf Eberhard Kraus, Dresden
Dr. Günter Kraus, Halle
Prof. Dr. Ulrich Liebscher, Dresden
Dr. Wolfgang Liebscher, Berlin
Dr. Frank Meyberg, Hamburg
Prof. Dr. Peter Nuhn, Halle
Dr. Hartmut Ploss, Hamburg
Dr. Dr. Manfred Pulst, Leipzig
Dr. Anna Schleitzer, Marktschwaben
Prof. Dr. Harald Schmidt, Linz
Dr. Helmut Schmiers, Freiberg
Prof. Dr. Klaus Schulze, Leipzig
Prof. Dr. Rüdiger Stolz, Jena
Prof. Dr. Rudolf Taube, Merseburg
Dr. Ralf Trapp, Wassenaar, NL
Dr. Martina Venschott, Hannover
Prof. Dr. Rainer Vulpius, Freiberg
Prof. Dr. Günther Wagner, Leipzig
Prof. Dr. Manfred Weißenfels, Dresden
Dr. Klaus-Peter Wendlandt, Merseburg
Prof. Dr. Otto Wienhaus, Tharandt

Fachkoordination:
Hans-Dieter Jakubke, Ruth Karcher

Redaktion:
Sabine Bartels, Ruth Karcher, Sonja Nagel


Schreiben Sie uns!

Wenn Sie inhaltliche Anmerkungen zu diesem Artikel haben, können Sie die Redaktion per E-Mail informieren. Wir lesen Ihre Zuschrift, bitten jedoch um Verständnis, dass wir nicht jede beantworten können.

Partnerinhalte

Bitte erlauben Sie Javascript, um die volle Funktionalität von Spektrum.de zu erhalten.