Lexikon der Chemie: Ertragskoeffizient
Ertragskoeffizient, Ausbeutekoeffizient, Symbol Y, auch ökonomischer Koeffizient genannt, eine wichtige Kenngröße von Fermentationsprozessen, die für die Beurteilung der Effizienz von Stoffwandlungen durch Mikroorganismen von Bedeutung ist. Der E. ist definiert als Quotient aus der während des Wachstumsprozesses gebildeten Zellmasse bzw. der Produktakkumulation (Symbol x bzw. P, Ertrag oder Ausbeute, angegeben in g Trockensubstanz) und der verbrauchten Masse an Substrat (Symbol S, angegeben in g, beim molaren E. in mol):

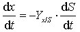
Der E. läßt sich auch als differentielle Größe für jeden Zeitabschnitt während des Fermentationsprozesses angeben und auf Volumeneinheit beziehen:
Dabei ist x = Zellmassekonzentration (in g Trockensubstanz/l), S = Substratkonzentration (in g/l) und dx/dt bzw. dS/dt die volumenbezogenen Raten der Zellmassezunahme und Substratabnahme.
Der E. ist keine Konstante und variiert in Abhängigkeit von exogenen und endogenen Faktoren, speziell von der spezifischen Wachstumsrate. Der reziproke Wert des E. wird als spezifischer Substratverbrauch bezeichnet.
Wenn Sie inhaltliche Anmerkungen zu diesem Artikel haben, können Sie die Redaktion per E-Mail informieren. Wir lesen Ihre Zuschrift, bitten jedoch um Verständnis, dass wir nicht jede beantworten können.