Lexikon der Ernährung: Glucosinolate
Glucosinolate, Senfölglucoside, Eglucosinolates, mustard oil thioglucosides, mustard oil glucosides, zählen zu den schwefelhaltigen sekundären Pflanzenstoffen mit anticancerogenen, antimikrobiellen aber auch hepatotoxischen und goitrogenen (Kropf-fördernden) Eigenschaften (Tab. 1; antinutritive Substanzen, Goitrogene, Progoitrin). Es sind ca. 100 verschiedene in der Natur vorkommende G. bekannt, von denen bis zu 20 in den für den Menschen ernährungsrelevanten Gemüsesorten vorkommen (Tab. 2).
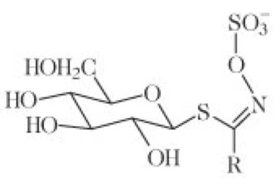
Die aus freien Aminosäuren im Sekundärmetabolismus von Pflanzen entstehenden G. sind stabile und weitgehend unreaktive Verbindungen aus einer Glucoseeinheit, einer schwefelhaltigen Gruppierung mit einem Agluconrest sowie einer Sulfatgruppe (Abb.). Der Agluconrest (R) ist verantwortlich für das charakteristische Aroma (stechender Geruch und scharfer Geschmack) und gilt als Unterscheidungsmerkmal der G., deren Einteilung gemäß ihrer Seitenketten in Alkyl-, Alkenyl-, Aryl-, und Indolylglucosinolate erfolgt. Der Abbau durch das pflanzeneigene Enzym β-Thioglucosidase (Myrosinase, EC 3.2.3.1; Thioglucoside), das bei der Bearbeitung oder beim Zerkauen des Nahrungsmittels freigesetzt wird, führt neben der Bildung von Glucose und Sulfat zu den eigentlichen Wirkstoffen, den Thiocyanaten, Isothiocyanaten, Indolen, Thiooxazolidonen (Goitrin) oder Nitrilen. Nach enzymatischer Spaltung werden diese aufgrund ihrer Fettlöslichkeit im Duodenum leicht resorbiert bzw. von intestinalen Mikroorganismen verstoffwechselt. In den ableitenden Harnwegen, wo therapeutische Wirkungen bei Infektionen als gesichert gelten, liegen die höchsten Konzentrationen der Abbauprodukte vor. Die Ausscheidung verschiedener Stoffwechselmetabolite wie u. a. von Hippursäure, Mercaptursäure, Phenylessigsäure-Konjugaten und Thiocyanaten erfolgt mit den Faeces und dem Urin und ist nach ca. 24 h beendet.
G. kommen v. a. in Cruciferen vor. Sie finden sich in allen Kohlgemüsen, in Knollenfrüchten wie Radieschen, Rettich und Kohlrabi, in Ölsaaten und Gewürzpflanzen wie Senfsaat und Meerrettich, sowie in Kresse, Rüben und Raps (G.-arme Rapszüchtung: Canola-Öl). Hohe Glucosinolatmengen wurden z. B. in Kohlrabi (ca. 109 mg / 100 g Frischgewicht) und Gartenkresse (ca. 121 mg / 100 g Frischgewicht) gefunden. Hingegen beinhalten Chinakohl (ca. 50 mg / 100 g Frischgewicht), Brokkoli (ca. 80 mg / 100 g Frischgewicht) und Blumenkohl (ca. 60 mg / 100 g Frischgewicht) weniger G.
In Deutschland, Europa und Amerika werden G. hauptsächlich über Blattkohlgemüse zugeführt, dessen Verzehr in Deutschland im Mittel bei 54 g / Kopf / d liegt und in den Wintermonaten erhöht ist. Vegetarier nehmen im Durchschnitt mit ca. 110 mg mehr G. pro Tag auf, als Nicht-Vegetarier (durchschnittlich ca. 43 mg /d). Durch den Gärungsprozess bei Sauergemüse (z. B. der Milchsäuregärung bei der Sauerkrautherstellung) und durch Erhitzen können die Glucosinolatgehalte um bis zu 60 % reduziert werden. Die anticancerogene Wirkung der beim Glucosinolatabbau entstehenden Indolverbindungen geht im Tierversuch im Vergleich zum unerhitzen Lebensmittel leicht zurück.
Glucosinolate: Allgemeine Formel eines Glucosinolats. Glucosinolate

Glucosinolate: Tab. 1. Eigenschaften der Glucosinolatabbauprodukte.
| ||
| anticancerogen, antimikrobiell, antibakteriell, fungistatisch | Isothiocyanate (z.B. Allylsenföl), Thiocyanate | |
| thyreotoxisch, mutagen | Thiooxazolidone | |
| hepatotoxisch | Isothiocyanate | |
| geschmacks-, aromaintensiv | Isothiocyanate, Thiooxazolidone | |
| Enzyminhibitoren | Nitrile, Epithionitrile | |
| Cholesterin-senkend | Isothiocyanate, Thiocyanate |
Glucosinolate: Tab. 2. Auswahl einiger bedeutender Glucosinolate in Cruciferen. Glucosinolate

Wenn Sie inhaltliche Anmerkungen zu diesem Artikel haben, können Sie die Redaktion per E-Mail informieren. Wir lesen Ihre Zuschrift, bitten jedoch um Verständnis, dass wir nicht jede beantworten können.