Lexikon der Ernährung: N-Nitroso-Verbindungen
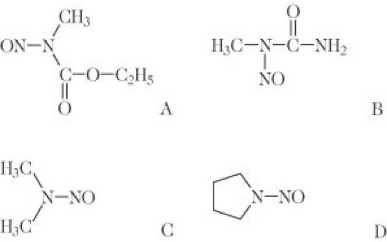
N-Nitroso-Verbindungen, EN-nitroso compounds, Verbindungen mit der Nitrosogruppe an einem Stickstoffatom (ON–N; Abb.). Zu den N. zählen die Nitrosamide (z. B. N-Nitroso-Methylurethan, N-Nitroso-N-Methylharnstoff) und die Nitrosamine (z. B. N-Nitrosodimethylamin [=Dimethylnitrosamin], N-Nitrosopyrrolidin, N-Nitrosothiazolidine). N. kommen in geringen Mengen in Nahrungsmitteln vor, können aber auch im Magen aus sekundären und tertiären Aminen und Nitrat bzw. Nitrit gebildet werden (Nitrosierung). Darüber hinaus kommen sie auch im Tabakrauch (v. a. im Nebenstrom, vgl. Rauchen) vor. N. sind wirksame Biozide, sie wirken cancerogen und induzieren Tumore in jeder Spezies die bisher untersucht wurde. N. weisen eine hohe Organotropie auf, die von der Applikationsart und der Dosis abhängt. So erzeugen symmetrische Dialkylnitrosamine, bei chronischer Applikation kleiner Mengen Lebertumoren, bei einmalig hoher Dosis dagegen Nierentumore. Welche spezifische Rolle die Aufnahme von N. oder ihre endogene Bildung für die Entstehung menschlicher Tumore spielt, kann gegenwärtig noch nicht abgeschätzt werden.
N-Nitroso-Verbindungen: Beispiele und Wirkungsort (Applikation). A = N-Nitroso-Methylurethan: Magen (oral); Lunge (i. v.); B = N-Nitroso-N-Methylharnstoff: Magen (oral); Gehirn (i. v.); C = Dimethyl-Nitrosamin = N-Nitrosodimethylamin: Leber (oral); D = N-Nitrosopyrrolidin: Leber (oral). N-Nitroso-Verbindungen

Wenn Sie inhaltliche Anmerkungen zu diesem Artikel haben, können Sie die Redaktion per E-Mail informieren. Wir lesen Ihre Zuschrift, bitten jedoch um Verständnis, dass wir nicht jede beantworten können.