Lexikon der Neurowissenschaft: Glucose
Glucosew [von griech. glykys = süß], Dextrose, Glukose, Glykose,Traubenzucker, Abk. Glc, E glucose, ein zu den Aldohexosen zählendes Monosaccharid ( siehe Abb. ). In freier Form kommt Glucose in fast allen süßen Früchten, im Honig, in Holz, Wurzel und Rinde vieler Laubbäume und Getreideähren sowie als Blutzucker (ca. 0,1%) vor. Im tierischen Energiestoffwechsel ist sie besonders als Endprodukt der Gluconeogenese sowie als Ausgangsprodukt der Glykolyse und zur Synthese von Glykogen von zentraler Bedeutung. Glucose ist vor allem für den Gehirnstoffwechsel überaus wichtig, da das Gehirn beim Menschen und den meisten Tieren seinen hohen Energiebedarf fast ausschließlich aus dem Glucoseabbau ( siehe Zusatzinfo ) bezieht.

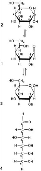
Glucose
D-Glucose: 1 offene Form, aus der die beiden Pyranose-Ringformen 2 (α-D-Glucose) und 3 (β-D-Glucose) hervorgehen.
Die offene Form 4 ist identisch mit 1, jedoch linear gestreckt dargestellt.
Glucose
Glucoseabbau:
Die Glykolyse ist der Abbau von freier Glucose oder von Reserve-Polysacchariden wie Glykogen, die aus Glucose-Einheiten aufgebaut sind, unter Energiegewinn in Form von ATP (Adenosintriphosphat). Unter aeroben Bedingungen ist Brenztraubensäure das Endprodukt, die unter CO2-Abspaltung und Oxidation zu Acetyl-Coenzym A weiterreagiert, um so zur weiteren Oxidation in den Citratzyklus eingeschleust zu werden. Dieser ist eine zyklische biochemische Reaktionskette, in der Acetyl-Coenzym A im 1. Schritt mit Oxalacetat zu Citrat kondensiert, worauf die Bezeichnung Citratzyklus zurückzuführen ist. Über eine Reihe von Zwischenstufen wird Oxalacetat wieder regeneriert, wobei insgesamt 2 CO2-Moleküle abgespalten und 8 Reduktionsäquivalente in Form von 3 Molekülen NADH und 1 Molekül FADH2 zur Veratmung durch die Reaktionen der Atmungskette frei werden. Diese ist eine aus zahlreichen Einzelschritten aufgebaute Kette von chemischen Redoxreaktionen, die durch ein Multienzymsystem der inneren Mitochondrienmembran katalysiert wird und in deren Verlauf der aus den organischen Verbindungen des Zellstoffwechsels in Form von NADH anfallende Wasserstoff mit Sauerstoff zu Wasser oxidiert und die freigesetzte Energie in ATP überführt wird. Für jedes Sauerstoffatom bzw. für jeweils 2 Reduktionsäquivalente (2 H-Atome), die ausgehend von NADH die ganze Atmungskette durchlaufen, können 3 mol ATP gebildet werden. Die Hauptmenge des ATPs im Glucoseabbau wird durch diese Atmungskettenphosphorylierung gebildet.
Wenn Sie inhaltliche Anmerkungen zu diesem Artikel haben, können Sie die Redaktion per E-Mail informieren. Wir lesen Ihre Zuschrift, bitten jedoch um Verständnis, dass wir nicht jede beantworten können.