Lexikon der Neurowissenschaft: Vasopressin
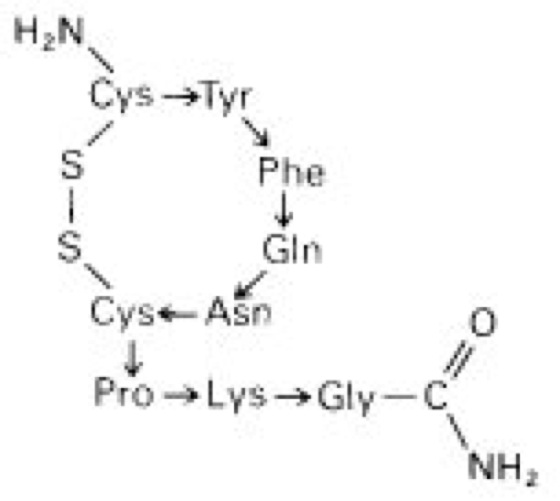
Vasopressins [von latein. vas = Gefäß, pressus = gedrückt], Adiuretin,antidiuretisches Hormon (Abk. ADH), Evasopressin, zyklisches Peptidhormon (Neuropeptide) des Hypothalamus mit 9 Aminosäuren (Strukturaufklärung und Synthese 1953/54 von V. du Vigneaud; siehe Abb. ), das zusammen mit Oxytocin einem gemeinsamen Vorläufer-Molekül entstammt. Vasopressin wird im Nucleus paraventricularis und im Nucleus supraopticus des Hypothalamus synthetisiert und gelangt von dort, gebunden an ein größeres Polypeptid (Neurophysin), durch axonalen Transport über den Tractus supraopticohypophyseus in den Hypophysenhinterlappen (Neurohypophyse; Hypophyse). Dort wird es wie in einem Neurohämalorgan in Sekretgranula gespeichert und bei Erregung der neurosekretorischen Zellen direkt in den Körperkreislauf freigesetzt (Hypothalamus-Hypophysen-System). Ausgelöst wird die Vasopressinausschüttung durch die Erregung von Osmorezeptoren, die zum Teil mit den Nervenzellen des Hypothalamus identisch sind, teils in der Leber lokalisiert sind. Vasopressin bewirkt durch Erhöhung des Spannungszustands der glatten Muskulatur eine anhaltende Blutdrucksteigerung, regt die Dünndarmmuskulatur an und erhöht die Wasserrückresorption in der Niere. Der normale Blutspiegel im Menschen beträgt 2-6 pg/ml Serum bei einer Halbwertszeit von etwa 8 min. Bei Unterproduktion oder Zerstörung des Hypophysenhinterlappens werden sehr große Mengen sehr dünnen Harns ausgeschieden (Diabetes insipidus, Wasserharnruhr), eine Krankheit, die durch Gaben von Vasopressin behoben werden kann. Hypothalamisches Vasopressin stimuliert im Hypophysenvorderlappen gemeinsam mit Corticoliberin die Freisetzung von ACTH (adrenocorticotropes Hormon). Vasopressinhaltige Neuronenverbindungen ziehen außerdem von den genannten hypothalamischen Kernen zu verschiedenen Kernen des Hirnstamms (Locus coeruleus, dorsaler Raphekern, Teile der Formatio reticularis). Neben dem Nucleus suprachiasmaticus, einem Hypothalamuskern, der circadiane Rhythmen reguliert, wird Vasopressin zentralnervös außerdem in mehreren extrahypothalamischen, vor allem limbischen Regionen (Stria terminalis, laterales Septum, mediale Kerne der Amygdala) synthetisiert. Zu den Zielregionen vasopressinerger Fasern gehört vor allem der Hippocampus. Eine Stimulation der Vasopressinfreisetzung erfolgt bei hyposmolaren Bedingungen und bei Streß. – Zentralnervös ist Vasopressin unter anderem an der Entstehung des Durstgefühls beteiligt (Durst). Über Einflüsse auf septo-hippocampale Strukturen wird durch Vasopressin bei Tier und Mensch die Gedächtnisleistung (Gedächtnis), insbesondere die Gedächtnisencodierung, verbessert. Dem Vasopressin wird außerdem eine Funktion bei der Gehirnentwicklung zugesprochen. Vom Nucleus suprachiasmaticus ausgehende Vasopressinwirkungen sind wahrscheinlich für eine Beeinflussung des Schlaf-Wach-Rhythmus (Schlaf) durch das Peptid verantwortlich. Insbesondere alte Menschen, bei denen der Vasopressingehalt im Nucleus suprachiasmaticus verringert ist, und Menschen mit Depressionen zeigen einen gestörten Wach-Schlaf-Rhythmus mit verkürzten Tiefschlafphasen. Bei diesen Menschen hat Vasopressin offenbar einen günstigen Einfluß auf die gestörte Schlafarchitektur und vor allem auf die Tiefschlafphasen – ganz im Gegensatz zu klassischen Schlafmitteln (Hypnotika). siehe Zusatzinfo . Hormone, Vasopressinrezeptoren.

Vasopressin
Vasopressin
Neuere Untersuchungen zeigen, daß Vasopressin wohl auch Verhaltensweisen wie Geselligkeit beeinflussen kann. Wenn ungesellige Mäuse das Vasopressinrezeptorgen einer geselligen Mausart erhalten, zeigen sie danach geselliges Verhalten. Dabei scheint die Verteilung der Vasopressinrezeptoren im Gehirn entscheidend zu sein. Besonders wichtig ist offensichtlich ein zusätzlicher DNA-Abschnitt in der Promotorregion des "geselligen" Genes.
Wenn Sie inhaltliche Anmerkungen zu diesem Artikel haben, können Sie die Redaktion per E-Mail informieren. Wir lesen Ihre Zuschrift, bitten jedoch um Verständnis, dass wir nicht jede beantworten können.