Lexikon der Optik: Amplitudenkontrastfunktion
Amplitudenkontrastfunktion, Übertragungsfunktion der partiell kohärenten Abbildung schwach modulierter Amplitudenobjekte der Amplitudentransparenz A(XO)=A0+ΔA(XO) mit A02![]()
ΔA2. Da die A. entsprechend der Beziehung
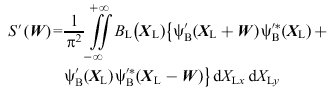
von der Intensitätsverteilung BL(XL) des in die Pupille abgebildeten Lichtquellenbildes und der Pupillenfunktion ψ ![]()
abhängt, ist sie durch die Summe S'(W)=M(W,0)+M(0,-W) der beiden Hopkins-Faktoren M(W,0) und M(0,-W) gegeben. Der Vorfaktor 1/π2 gilt für unvignettierte Kreispupillen. Die A. verknüpft das Ortsfrequenzspektrum![]()
des variablen Teils ΔA(XO) der Amplitudentransparenz des Objektes bzw. das Ortsfrequenzspektrum Δd(W)=2A0Δa(W) des variablen Teils ΔD(XO)=2A0ΔA(XO) der Objektintensitätstransparenz D(XO)=A02+2A0ΔA(XO)=D0+ΔD(XO) mit dem entsprechenden Bildintensitätsspektrum ![]()
, aus dem sich durch Fourier-Synthese (Fourier-Transformation in der Optik) der variable Teil![]()
der Bildintensitätsverteilung B'(X')=B'0+ΔB'(X') ergibt. Der konstante Teil der Bildintensität ist ![]()
. Für die inkohärente Abbildung entspricht ![]()
der optischen Übertragungsfunktion. XL, XO und X' sowie W bezeichnen die reduzierten Koordinaten (Vektoren mit den Komponenten XLx, XLy usf.) in der Pupillen-, Objekt- und Bildebene sowie der Ortsfrequenz. Die Abbildung schwach modulierter Phasenobjekte kann analog mit der Phasenkontrastfunktion beschrieben werden.
Wenn Sie inhaltliche Anmerkungen zu diesem Artikel haben, können Sie die Redaktion per E-Mail informieren. Wir lesen Ihre Zuschrift, bitten jedoch um Verständnis, dass wir nicht jede beantworten können.