Lexikon der Optik: optische Temperaturskala
optische Temperaturskala, Bezeichnung des Teils der Internationalen Praktischen Temperaturskala (IPTS) oberhalb 1064,3°C bzw. 1337,58 K. Dies ist die Temperatur des Phasengleichgewichtszustandes von Gold, für den die Temperaturmessung auf der Anwendung des Planckschen Strahlungsgesetzes beruht, weil herkömmliche Temperaturmeßmittel wie z.B. Thermoelemente nicht mehr einsetzbar sind. In diesem Bereich bis etwa 2800 K bilden Wolframbandlampen und optische Pyrometer die Basis für die Darstellung und Weitergabe der Temperaturskala.
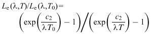
Oberhalb 2800 K angesiedelte Temperaturbereiche können durch definierte Strahlungsschwächungsmittel (z.B. Neutralfilter) für die Temperaturmessung erschlossen werden. Kennt man die spektrale Strahldichte Ie(λ,T0) eines Strahlers, auf den die Strahlungsgesetze anwendbar sind, bei der Temperatur T0 und der Wellenlänge λ – wie z.B. bei einem schwarzen Strahler –, so ergibt sich eine zweite Temperatur aus dem Strahldichteverhältnis L(λ,T)/L(λ,T0) nach dem Planckschen Strahlungsgesetz
.
Mit den Werten der zweiten Planckschen Strahlungskonstanten c2, der Temperatur T0 und der Wellenlänge λ, die bei Pyrometern meist λ=655 nm beträgt, läßt sich dem Strahler aus dem gemessenen Strahldichteverhältnis eindeutig eine Temperatur T zuordnen.
Wenn Sie inhaltliche Anmerkungen zu diesem Artikel haben, können Sie die Redaktion per E-Mail informieren. Wir lesen Ihre Zuschrift, bitten jedoch um Verständnis, dass wir nicht jede beantworten können.