Lexikon der Psychologie: Psychomotorik
Essay
Psychomotorik
Herbert Heuer
Mit “Psychomotorik” wird ein unscharf definiertes Teilgebiet der Psychologie bezeichnet, das sich mit willkürlichen, zielgerichteten Bewegungen beschäftigt. Betont wird dabei die Verzahnung der Bewegung mit Wahrnehmung und kognitiven Prozessen (Kognition). Schwer abzugrenzen sind Begriffe wie Sensomotorik oder auch einfach Motorik, die eher für die Kennzeichnung elementarer Bewegungsleistungen verwendet werden, während mit dem wenig geläufigen Begriff der motorischen Fertigkeiten (motor skills) eher auf komplexe Bewegungsmuster Bezug genommen wird. In der (Heil-) Pädagogik bezeichnet der Begriff der Psychomotorik auch eine Gruppe von motorischen Übungs- und Behandlungsverfahren.
Geschichte
In der Psychologie hat die Untersuchung der menschlichen Willkürmotorik eine relativ lange Geschichte, die bereits vor der Jahrhundertwende beginnt; gleichzeitig aber hat die Psychomotorik im Vergleich zu anderen Untersuchungsfeldern stets eine untergeordnete Rolle gespielt. Wichtige Fragen am Anfang ihrer Geschichte betrafen 1) die Umsetzung geistiger Aktivität in körperliche Bewegung – speziell die Beziehung zwischen Bewegungsvorstellungen und tatsächlichen Bewegungen, 2) das Erlernen sensomotorischer Fertigkeiten sowie 3) die Steuerung gezielter Bewegungen. Grundgedanken aus dieser Zeit haben die theoretischen Entwicklungen bis heute nachhaltig geprägt. So zeigte sich vor allem in Untersuchungen aus jüngerer Zeit tatsächlich eine enge Beziehung zwischen vorgestellten und ausgeführten Bewegungen, sowohl im Hinblick auf die Auswirkungen, z.B. auf gleichzeitige Bewegungen anderer Gliedmaßen, wie auch im Hinblick auf die an Vorstellung und Ausführung beteiligten Hirnareale. Diese enge Beziehung ist eine der Grundlagen für die Wirkung der mentalen Übung motorischer Fertigkeiten. Aus den frühen Untersuchungen zum Erlernen sensomotorischer Fertigkeiten lebt nach wie vor der Gedanke einer hierarchischen Organisation gekonnter Bewegungsfolgen zum Beispiel beim Schreiben oder Sprechen, also der Gedanke einer Integration elementarer Einheiten zu Einheiten höherer Ordnung (chunks) im Verlauf des Lernens. Für die Steuerung gezielter Bewegungen wurde die fundamentale Unterscheidung zwischen einer initialen ballistischen Bewegungsphase und einer kontinuierlichen Anpassung gegen Ende der Bewegung eingeführt. Die Beteiligung entsprechend unterschiedlicher Prozesse an der Bewegungssteuerung ist heute praktisch unbestritten.
In der ersten Hälfte dieses Jahrhunderts betrafen die relativ wenigen Untersuchungen zur Psychomotorik vorwiegend Fragen des motorischen Lernens und zeigten die grundlegende Bedeutung von Rückmeldungen (Kenntnis des Resultats) für den Lernerfolg. Eine Ausnahme waren Untersuchungen aus der Ganzheits- und Gestaltpsychologie, zu deren überdauernden Befunden, die zahlreiche Untersuchungen auch in jüngster Zeit angeregt haben, das "Gesetz der konstanten Figurzeit" (auch: Isochronieprinzip) sowie die kompensatorische Kovariation gehören. Nach dem zweiten Weltkrieg spielte die anwendungsorientierte Perspektive eine wichtige Rolle. Zu den klassischen Ergebnissen aus dieser Zeit gehören das Fitts'sche Gesetz, das den Zusammenhang zwischen Bewegungszeit, Weite und Genauigkeit einer Zielbewegung beschreibt, sowie die Hypothese der zeitdiskreten Bewegungssteuerung (central intermittency), die nachfolgend die Untersuchungen zur sogenannten psychologischen Refraktärperiode (Refraktärzeit, psychologische) dominiert hat.
Psychomotorik heute
Etwa seit Mitte der 70er Jahre entwickelt sich die Psychomotorik zu einem aktiven Forschungsgebiet als Teil einer interdisziplinär orientierten Bewegungswissenschaft, die inzwischen an einer Reihe von europäischen und außereuropäischen Universitäten als "kinesiology" oder "movement science" vertreten ist. Zu den beteiligten Fächern gehören neben der Psychologie z.B. Physiologie, Biologie, Robotik, Physik, Neurologie, Sportwissenschaft. Eine solche Entwicklung wird letzten Endes durch den gemeinsamen Forschungsgegenstand nahegelegt. Daneben spielen aber auch stark verbesserte technische Möglichkeiten zur Registrierung und Analyse von Bewegungen eine Rolle sowie (meta-) theoretische Entwicklungen in den verschiedenen Fächern. Für die Psychologie etwa scheint der Gedanke von Bedeutung zu sein, daß die Funktion geistiger Aktivität primär weniger die Erkenntnis der Welt als das erfolgreiche Handeln in derselben betrifft; ferner der Gedanke, daß Ausfallerscheinungen Rückschlüsse auf normale Funktionen zulassen, und allgemeiner, daß Entwicklungen in den Nachbarfächern bei der Bearbeitung der für die Psychologie charakteristischen funktionsanalytischen Fragestellungen hilfreich sind.
Funktionsprinzipien der Bewegungssteuerung
Psychomotorische Untersuchungen sind in der Regel von zweierlei Art. Sie betreffen zum einen grundlegende Leistungen des Alltagslebens wie Stehen und Lokomotion, Reichen und Greifen, Schreiben und Sprechen. Daneben betreffen sie allgemeine Funktionsprinzipien, die dann in der Regel mit Hilfe spezieller experimenteller Aufgaben untersucht werden. Im folgenden sollen einige wichtige Funktionsprinzipien der Bewegungssteuerung kurz skizziert werden.
1) Ein zentrales Problem der Psychomotorik ist die erfolgreiche Anpassung einer Bewegung an die Umwelt. Ein einfaches Beispiel etwa ist die Frage, wie es uns gelingt, einen Gegenstand an einem bestimmten Ort mit dem Finger zu berühren. Wie Abb. 1 illustriert, müssen wir dazu zunächst die räumlichen Koordinaten der Zielposition x* registrieren, die die gewünschte Position der Fingerspitze darstellt, deren tatsächliche Position x ist. Für eine bestimmte Position der Fingerspitze wird eine Kombination von Gelenkstellungen benötigt, dafür wiederum eine bestimmte Kombination von Muskelkräften z, und letztendlich ein bestimmtes Muster der Muskelinnervation. Wir haben es hier also mit einer Transformation der Muskelinnervation, der Muskelkräfte, oder der Gelenkstellungen in eine Position x der Fingerspitze zu tun (Transformation, motorische). Die Transformation T muß invertiert werden ![]()
, damit die tatsächliche Position x der gewünschten Position x* entspricht. Die Invertierung der Transformation T ist das Kernproblem der Bewegungssteuerung. Rein technisch gesehen gibt es dafür verschiedene Möglichkeiten.
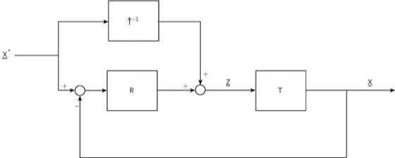
Es ist heute praktisch unbestritten, daß bei der Steuerung menschlicher Bewegungen zwei prinzipielle Möglichkeiten miteinander kombiniert werden, die Regelung und eine offene Steuerkette, die ein inneres Modell der Transformation nutzt. Das in Abb. 2 illustrierte Prinzip kombiniert die Vorteile beider Möglichkeiten. Es macht zudem verständlich, warum menschliche Bewegungen zwar durch verzerrte Rückmeldungen über ihren Verlauf, z.B. über eine falsch gesehene Position der Hand, oft stark beeinflußt werden, durch fehlende Rückmeldungen, z.B. die nicht sichtbare Position der Hand, aber häufig kaum oder gar nicht.
Für die offene Steuerkette, also den Prozeß der Bewegungssteuerung, der unabhängig von Rückmeldungen aus der Körperperipherie abläuft, gibt es verschiedene theoretische Konzeptionen, die unter den Stichworten der Bewegungsprogrammierung oder Trajektorienplanung in der Literatur behandelt werden. Gemeinsam ist diesen Konzeptionen der Gedanke, daß die Merkmale der gewünschten Bewegung wie die Zielposition auf Parameter eines Bewegungsprogramms oder eines neuronalen Netzwerks abgebildet werden. Ein Bewegungsprogramm wird zumeist als eine gespeicherte prototypische Kraft-Zeit-Kurve gedacht, die mit Hilfe von Kraft- und Zeitparametern an die Bewegungserfordernisse angepaßt werden kann. Abb. 3 illustriert eine solche Kurve für eine Hin- und Rückbewegung; gezeigt sind Beispiele mit zwei verschiedenen Zeitparametern, so daß die eine Kurve im Verhältnis zur anderen relativ gleichmäßig gedehnt bzw. gestaucht ist. Statt eines gespeicherten prototypischen Kraft-Zeit-Verlaufs oder Beschleunigungs-Zeit-Verlaufs postulieren andere Modelle Netzwerke, die entsprechende zeitliche Verläufe generieren können. Weitgehend unklar ist die Frage nach der Ausgangsgröße derartiger autonomer Strukturen der Bewegungssteuerung (Plastizität der Bewegungssteuerung). Werden beispielsweise Muskelinnervationen als Ausgangsgröße postuliert, leisten die autonomen Strukturen gleichzeitig eine (implizite) Invertierung der Transformation der Muskelinnervation in z.B. Fingerpositionen; werden dagegen Gliedmaßenpositionen als Ausgangsgröße postuliert, so muß eine nachgeschaltete Invertierung der Transformation angenommen werden, damit die geeignete Muskelinnervation verfügbar wird.
Prozesse der Bewegungssteuerung können nicht auf einzelne Gliedmaßen beschränkt sein. Zum einen haben viele Bewegungen Auswirkungen auf das Gleichgewicht. Beim Heben eines Arms z.B. wird der Körperschwerpunkt verlagert, und bevor eine solche Bewegung beginnt, zeigt sich Aktivität in den Beinmuskeln, die der bevorstehenden Bedrohung des Gleichgewichts entgegenwirkt. Zum zweiten erfordern viele elementare Bewegungsleistungen ein Zusammenwirken verschiedener Gliedmaßen; ein Beispiel ist das Gehen. Ein solches Zusammenwirken wird durch wechselseitige Abhängigkeiten zwischen gleichzeitig ausgeführten Bewegungen unterschiedlicher Gliedmaßen unterstützt. Die deutlichste Abhängigkeit dieser Art ist die Neigung zu symmetrischen Bewegungen beider Arme und Hände. Sie unterstützt Aufgaben, die eine entsprechende Koordination beider Hände erfordern (Koordination, motorische). Beispielsweise ist es recht einfach, mit der linken Hand Spiegelschrift zu schreiben, wenn gleichzeitig mit der rechten Hand normal geschrieben wird. Umgekehrt wird die Leistung bei Aufgaben, die eine andere Koordination erfordern, beeinträchtigt. Abb. 4 illustriert, wie die willkürliche Modulation der Weiten sukzessiver Bewegungen der rechten Hand auf die Bewegungsweiten der linken Hand überspielt, so daß dort eine unwillkürliche Modulation zu beobachten ist.
Literatur
Heuer, H. (1992). Psychomotorik. In H. Spada (Hrsg.), Lehrbuch Allgemeine Psychologie (2. Auflage). (S. 495-559). Bern: Huber.
Heuer, H. & Keele, S. W. (1994). (Hrsg.). Enzyklopädie der Psychologie, Serie "Kognition", Band 3: Psychomotorik. Göttingen: Hogrefe.
Rosenbaum, D. A. (1991). Human motor control. San Diego: Academic Press.
Schmidt, R. A. & Lee, T. D. (1998). Motor control and learning: A behavioral emphasis (3rd ed.). Champaign, IL: Human Kinetics.

Abb. Psychomotorik 1: Durch die Transformation T entsteht aus den Muskelkräften z die Position x des Endeffektors (z.B. Finger); um die Muskelkräfte z für eine gewünschte Position x = x* zu bestimmen, muß die inverse Transformation ![]()
geschätzt werden, so daß ![]()
ist.

Abb. Psychomotorik 2: Kombination von offener Steuerkette und Regelkreis. Die offene Steuerkette arbeitet mit dem expliziten inneren Modell der inversen Transformation ( ![]()
); der Regelkreis mit dem Regler R leistet im Prinzip eine zweite Schätzung der inversen Transformation.

Abb. Psychomotorik 3: Beschleunigungs-Zeit-Kurven von zwei Umkehrbewegungen. Bei Variation der Gesamtdauer wird der gesamte Verlauf gleichmäßig gedehnt bzw. gestaucht.

Abb. Psychomotorik 4: Unwillkürliche Modulation der Bewegungsweite der linken Hand, induziert durch eine willkürliche Modulation der Bewegungsweite der rechten Hand.
Wenn Sie inhaltliche Anmerkungen zu diesem Artikel haben, können Sie die Redaktion per E-Mail informieren. Wir lesen Ihre Zuschrift, bitten jedoch um Verständnis, dass wir nicht jede beantworten können.