Materialforschung: Selbstheilendes Gummi auf Eisenbasis

Egal wie elastisch ein Material ist: Wenn es stark gedehnt wird, bilden sich in ihm Risse und Fehler - und wenn die sich im Lauf der Zeit ansammeln, zerstören sie das Material. Eine Lösung für dieses Problem wären so genannte selbstheilende Kunststoffe: Stoffe, die Schäden an der Struktur automatisch wieder verschließen. Das hat sich bisher als schwierig erwiesen, denn die Ansätze dazu sind meist zu aufwändig: Bisherige selbstheilende Kunststoffe brauchen Energie von außen oder gar eingebaute Chemikalien wie Katalysatoren oder Lösungsmittel, um Schäden zu reparieren.
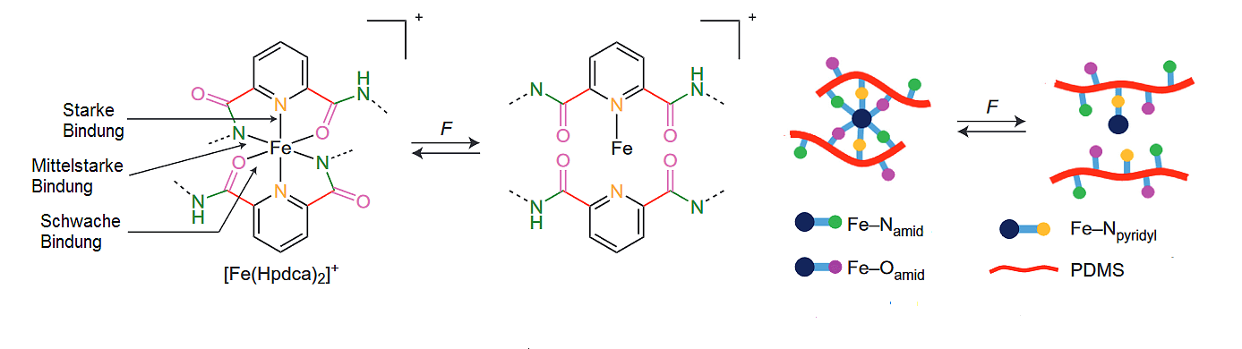
Schwache Bindungen dagegen, die sich bereitwilliger umlagern, lassen das Molekül instabil werden. Die so genannten Wasserstoffbrückenbindungen zum Beispiel, die sich im Prinzip leicht lösen und wieder verschließen lassen, sind leider empfindlich gegenüber Feuchtigkeit. Eine Arbeitsgruppe US-amerikanischer und chinesischer Wissenschaftler stellt nun einen Lösungsansatz für das Problem vor. Das Team nutzt die Affinität vieler stickstoff- und sauerstoffhaltiger Moleküle zu Eisen. Organische Stoffe und Metalle bilden oft so genannte Komplexe, in denen sich koordinative Bindungen zwischen Metall und einzelnen Atomgruppen bilden. Diese können sich lösen und wieder bilden, ohne dass man dazu das ganze Molekülgerüst umbauen muss.
Mit einer Kombination der starken Bindung zwischen einem stickstoffhaltigem Benzolring, Pyridin genannt, mit Eisen und den schwachen Bindungen zweier Amidgruppen hat das Team um Cheng-Hui Li von der Stanford University einen Mittelwert zwischen stabil und flexibel ausgemacht. Der entstehende Kunststoff besteht neben diesen Bindungsgruppen aus dem Silikon PDMS und lässt sich um den Faktor 100 dehnen, ohne zu zerreißen. Allerdings bleibt bei extremen und dauerhaften Belastungen die Substanz teilweise gedehnt und kehrt nicht vollständig in den Ausgangszustand zurück - was die tatsächliche maximale Belastbarkeit deutlich einschränkt.

Wenn Sie inhaltliche Anmerkungen zu diesem Artikel haben, können Sie die Redaktion per E-Mail informieren. Wir lesen Ihre Zuschrift, bitten jedoch um Verständnis, dass wir nicht jede beantworten können.