start


Start
Web-Artikel
Lexikon
Vorträge
Ausbildung
Essays
Rhetorik
Links
Autor
Kontakt

Schwarze Löcher -

Das dunkelste Geheimnis der Gravitation


Computersimulation einer leuchtenden, um 40 Grad geneigten Materiescheibe um rotierendes Schwarzes Loch

pdfpdf (1.8 MB)

Die Schwarzschild-Lösung

Das äußere Schwarzschild Linienelement

Im gleichen Jahr, in dem Albert Einstein die Allgemeine Relativitätstheorie (ART, engl. General Relativity, GR) publizierte, wurde auch schon eine Lösung für den Vakuumfall, also verschwindenden Energie-Impuls-Tensor, gefunden. Dieses rasche Auffinden einer Lösung erstaunte selbst Einstein, weil er nicht damit gerechnet hatte: die nicht-linearen Feldgleichungen erschienen ihm zu kompliziert.

äußere Schwarzschild-Lösung

Karl SchwarzschildDer deutsche Astronom Karl Schwarzschild (1873 - 1916), rechts zu sehen, fand diese erste Lösung und veröffentlichte sie 1916 in der Publikation mit dem Titel Über das Gravitationsfeld eines Massenpunktes nach der Einsteinschen Theorie. Heute kennt man diese Raumzeit unter dem Begriff äußere Schwarzschild-Lösung. Sie beschreibt das relativistische Gravitationsfeld eines Massenpunkts und ist die Metrik nicht rotierender, ungeladener Schwarzer Löcher. Der Massenpunkt mit Masse M ist ein idealisiertes Gebilde, weil seine gesamte Masse in einem beliebig kleinen Punkt komprimiert ist. Das Schwarze Loch vom Schwarzschild-Typ hat hier eine zentrale, punktförmige Krümmungssingularität. Anhand des Linienelements (Gleichung zu Beginn) ist schnell abzulesen, dass die Metrik statisch und kugelsymmetrisch ist. In Matrixform hat der metrische Tensor der Schwarzschild-Geometrie eine sehr einfache Gestalt und ist wie der metrische Tensor der Minkowski-Metrik diagonal. Im Unterschied zu diesem sind die Einträge nicht konstant, sondern koordinatenabhängig und divergieren bei r = 0, in der zentralen Singularität.
Nach dem Birkhoff-Theorem ist jede sphärisch symmetrische Vakuum-Lösung der Einsteinschen Feldgleichungen notwendigerweise statisch. Das gilt also im Speziellen für die äußere Schwarzschild-Lösung.

innere Schwarzschild-Lösung

innere Schwarzschild-Lösung: Gravitationsfeld einer idealen Flüssigkeitskugel Ebenfalls im Jahr 1916 veröffentlichte Karl Schwarzschild eine zweite Lösung der Einsteinschen Gleichung in dem Papier Über das Gravitationsfeld einer Kugel aus inkompressibler Flüssigkeit nach der Einsteinschen Theorie. Dies ist gerade die innere Schwarzschild-Lösung. Schwarzschild ersetzte den Massenpunkt der ersten Lösung durch eine Flüssigkeitskugel. Die Kugel bestehe aus einer inkompressiblen Flüssigkeit mit zeitlich konstanter Massendichte. Dadurch ist es keine Vakuumraumzeit mehr, weil der Energie-Impuls-Tensor nun nicht mehr verschwindet. Trotzdem hat er eine relativ einfache Gestalt und ist diagonal. Die Flüssigkeitskugel hat einen endlichen Radius, an deren Oberfläche der Druck verschwindet. Außerhalb der Kugel entspricht die Metrik der äußeren Schwarzschild-Lösung, während innerhalb nun eine neue kugelsymmetrische Metrik ohne Singularität auftritt. Die globale sphärische Symmetrie ist demnach innerhalb und außerhalb der Kugel gegeben. Die innere Schwarzschild-Lösung ist jedoch nicht mehr statisch. Diese Aussage kollidiert nicht mit dem Birkhoff-Theorem, weil dieses Theorem nur für Vakuum-Lösungen der ART gilt.

Schwarzschilds Raumzeit in der Astronomie

Die Schwarzschild-Geometrie eignet sich, um in erster Näherung das Gravitationsfeld von Sternen relativistisch zu beschreiben. Während die äußere Schwarzschild-Geometrie das Feld außerhalb des Sterns beschreibt, gelingt mit der inneren Schwarzschild-Lösung sogar eine Umsetzung des inneren Feldes, unterhalb der Sternoberfläche. Man identifiziert also die Sternoberfläche mit der Kugeloberfläche der idealen, d.h. inkompressiblen Flüssigkeit. Die Einschränkungen eines solchen Sternmodells sind freilich die inkompressible Zustandsgleichung und die Tatsache, dass die Kugel nicht rotiert. In erster Näherung ist das eine gute theoretische Beschreibung für langsam rotierende Sterne. Deshalb wurde (und wird) die Schwarzschild-Lösung angewendet, um z.B. die Sonne zu beschreiben.
Heute kennt man in der Theorie relativistischer Sterne weitaus bessere Lösungen, die sogar schnell rotierende Neutronensterne (z.B. Manko et al., 2000) und stark magnetisierte Neutronensterne, die Magnetare, (Ioka & Sasaki, 2003) relativistisch korrekt beschreiben können.
Es sei nochmals betont, dass aufgrund der vorhandenen Singularität, nicht-rotierende Schwarze Löcher ausschließlich durch die äußere Schwarzschild-Geometrie repräsentiert werden.

Neue Einsichten durch geeignete Koordinatensysteme

Die Schwarzschild-Lösung kann in einer Vielzahl von Koordinatensystemen diskutiert werden. Historisch wurden von verschiedenen Autoren unterschiedliche Koordinatensysteme gefunden, die unter ihrem Namen bekannt geworden sind.
Der Astrophysiker Sir Arthur Eddington (1882 - 1944), einer der ersten Physiker, der nach Einstein die Relativitätstheorie begriff und der wertvolle Beiträge für die theoretische Astrophysik (Eddington-Leuchtkraft, Stellarphysik) lieferte, führte 1924 ein Koordinatensystem ein, das David Finkelstein 1958 wieder entdeckte. In diesen Eddington-Finkelstein-Koordinaten werden frei fallende Lichtteilchen (die Photonen der Quantenphysik) zugrunde gelegt, die den Nullgeodäten der Schwarzschild-Geometrie folgen. Für Licht verschwindet das Linienelement, weil sie sich auf dem Lichtkegel in Raumzeit-Diagrammen bewegen. In Eddington-Finkelstein-Koordinaten werden radiale Nullgeodäten zu Geraden. Man unterscheidet avancierte Eddington-Finkelstein-Koordinaten, die innerhalb des Ereignishorizontes bei r = 2 rg = 2 GM/c2 nicht-pathologisch (d.h. geeignet) sind und retardierte Eddington-Finkelstein-Koordinaten, die für Geodäten außerhalb des Horizonts verwendet werden. Zur Beschreibung des stellaren, sphärisch symmetrischen Gravitationskollapses verwendete man traditionsgemäß avancierte (einlaufende) Eddington-Finkelstein-Koordinaten (Schwarzschild-Metrik in avancierter Eddington-Finkelstein-Form). Mittlerweile haben sich alternative, besser geeignete Koordinatensysteme hervorgetan, die auch Abstand von der sicherlich idealisierten Kugelsymmetrie nehmen.

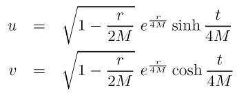
Die Unzulänglichkeit von Eddington-Finkelstein-Koordinaten besteht offensichtlich darin, dass sie nicht global die Schwarzschild-Geometrie beschreiben. So suchte man ein Koordinatensystem, das sich in der gesamten Raumzeit gut ('nicht pathologisch') verhält und fand es in den Kruskal-Szekeres-Koordinaten (1960). Hier werden radiale und zeitliche Koordinate zugunsten der neuen Koordinaten für ein- und auslaufende, radiale Nullgeodäten aus den Eddington-Finkelstein-Koordinaten aufgegeben. Diese werden abermals mit Exponentialen korrigiert, um pathologisches Verhalten am Horizont auszuräumen. Schließlich wird dafür gesorgt, dass es keine Nullkoordinaten sind, sondern die neue radiale Koordinate vom Typ her raumartig und die neue Zeitkoordinate zeitartig bleibt. Dann erhält man die Kruskal-Szekeres-Koordinaten und das Linienelement der Schwarzschild-Lösung in Kruskal-Szekeres-Koordinaten. Das Erstaunliche in diesem Koordinatensystem ist, dass man nun nicht mehr eine Singularität (definiert durch r = 0) hat, wie in den historischen Schwarzschild-Koordinaten, sondern zwei Singularitäten, fixiert durch die Bestimmungsgleichung v2 - u2 = 1. Ebenso korrespondieren zur asymptotisch flachen Region r >> 2M (G = c = 1) zwei solche Regionen, definiert durch u >> +|v| sowie u << -|v|. Diese seltsame Eigenschaft ist ein Hinweis darauf, dass die Schwarzschild-Lösung nur ein Ausschnitt einer größeren Mannigfaltigkeit ist! Daher sind die Kruskal-Szekeres-Koordinaten die maximale analytische Fortsetzung der Schwarzschild-Lösung, wie man in der Fachsprache sagt. Das bedeutet salopp gesagt, dass in diesen Koordinaten die größte Information über die Schwarzschild-Raumzeit steckt. In der Relativitätstheorie heißt die übergeordnete Mannigfaltigkeit, die die Schwarzschild-Lösung einschließt, die Kruskal-Lösung. Diese duale Struktur der Schwarzschild-Geometrie fand J.L. Synge bereits 1950, 10 Jahre vor Einführung der Kruskal-Szekeres-Koordinaten.

Wurmloch

Kommen wir noch einmal auf die beiden asymptotisch flachen Regionen der Kruskal-Lösung zurück: Weil die die Einstein-Gleichung der ART nur die lokale Geometrie der Raumzeit vorgibt, nicht jedoch deren globale Topologie, kann man die beiden asymptotisch flachen Regionen zu einer einzigen asymptotisch flachen Mannigfaltigkeit 'verbinden'. Dies nennt man auch ein Wurmloch vom Schwarzschild-Typ. In der Literatur kennt man das Schwarzschild-Wurmloch auch als Einstein-Rosen-Brücke.

Anti-Frame-Drag

Da die Schwarzschild-Lösung gewissermaßen ein Spezialfall der Kerr-Lösung ist (Kerr-Parameter a = 0), können viele Aussagen des nächsten Abschnitts auf die Schwarzschild-Lösung bezogen werden. Von besonderem Interesse ist der Verlauf der Boyer-Lindquist-Funktionen sowie eine Re-Interpretation des Frame-Dragging-Effekts im Schwarzschild-Fall. Denn während eine rotierende Kerr-Raumzeit alles mitzieht (engl. frame dragging), muss eine statische Schwarzschild-Raumzeit alles zum Stoppen bringen am Horizont - einen Vorgang, den man als Anti-Frame-Dragging bezeichnen könnte.

pdfpdf (1.8 MB)

Übersicht

Schwarze Löcher - Relativitätstheorie und Raumzeit Schwarze Löcher - Die Kerr-Lösung


Start - Web-Artikel - Lexikon - Vorträge - Ausbildung - Essays - Rhetorik - Links - Autor - Kontakt
Andreas Müller © Andreas Müller, August 2007