start


Start
Web-Artikel
Lexikon
Vorträge
Ausbildung
Essays
Rhetorik
Links
Autor
Kontakt

Lexikon - E 3 Lexikon - G 1

Astro-Lexikon F 4


pdf FF
pdf A-ZA-Z

FLRW-Kosmologie

Mit den rechnerischen Werkzeugen, die Einsteins Allgemeine Relativitätstheorie zur Verfügung stellt, lässt sich das Universum als Ganzes beschreiben. Anders gesagt kann man auf diese Weise Kosmologie erstmals als exakte Wissenschaft (als Disziplin der Astronomie) betreiben.

Was hat das mit FLRW zu tun?

Das Akronym FLRW steht nun für die Nachnamen der Pioniere der Kosmologie, nämlich

  • den russischen Mathematiker und Astronomen Alexandr Alexandrowitsch Friedmann (1888 - 1925),
  • den belgischen Priester und Kosmologen Abbé Georges Lemaître (1894 - 1966),
  • den amerikanische Kosmologen Howard Percy Robertson (1903 - 1961)
  • und den britischen Geometer und Mathematiker Arthur Geoffrey Walker (1909 - 2001).

Jeder dieser Protagonisten trieb die theoretische Kosmologie entscheidend voran und trug zu dem bei, was heute unter der Bezeichnung Friedmann-Lemaître-Robertson-Walker-Modelle (FLRW-Modelle) kursiert. Gebräuchlicher ist die deutliche kürzere Bezeichnung Friedmann-Weltmodelle (unter diesem Eintrag werden die Modelle detailliert vorgestellt). Im Prinzip handelt sich dabei um verschiedene Typen dynamischer Universen.

Natur passt zu FLRW-Kosmos

Die experimentelle Kosmologie stellt mittlerweile Beobachtungsdaten von Supernovae, kosmischer Hintergrundstrahlung, Verteilung der primordialen Elemente (siehe primordiale Nukleosynthese) und Galaxienhaufen bereit, die bestens mit FLRW-Modellen verträglich sind. Eine Abweichung von den Friedmann-Universen gibt es erst in den frühesten Phasen des Kosmos (siehe Urknall, Inflation, Planck-Ära).

Fluchtgeschwindigkeit

Die Fluchtgeschwindigkeit oder Entweichgeschwindigkeit ist diejenige Geschwindigkeit, die ein Körper erreichen muss, um dem Gravitationsfeld einer Masse zu entkommen.

Eine kleine Rechnung

Gleichung für die FluchtgeschwindigkeitDas Frame-Dragging der Mittels der Newtonschen Gravitationsphysik lässt sich schnell aus Gleichsetzen der kinetischen Energie mit der potenziellen Energie einer Testmasse im Gravitationsfeld einer großen Masse M die Fluchtgeschwindigkeit vesc berechnen (Resultat rechts). Dabei sei das Gravitationsfeld als kugelsymmetrisch angenommen und die kleinere Testmasse am Ort Rsurf, z.B. der Oberfläche der großen Masse M, lokalisiert. G ist die Newtonschen Gravitationskonstante mit dem Zahlenwert 6.672 × 10-11 m3 kg-1 s-2 in SI-Einheiten.

Beispiele

Die Entweichgeschwindigkeit der Erde beträgt 11.2 km/s oder gut 40000 km/h. Das ist schon eine ganz ordentliche Geschwindigkeit, die von Raketen erreicht werden muss, um beispielsweise Satelliten in den Erdorbit zu bringen.
Das Extrem stellt bei diesen Betrachtungen ein Schwarzes Loch dar: hier entspricht die Fluchtgeschwindigkeit gerade der Vakuumlichtgeschwindigkeit c, satte 300000 km/s oder 1.08 Mrd. km/h! Nach der Speziellen Relativitätstheorie ist c allerdings die generelle Höchstgeschwindigkeit. Nur Licht schafft diese 300000 km/s, aber nicht Materie. Mit anderen Worten: Nicht einmal das Licht vermag einem Schwarzen Loch bei einem kritischen Abstand, dem Ereignishorizont, zu entkommen. Deshalb ist das Loch von außen betrachtet schwarz.

weitere Bezeichnungen

Die Fluchtgeschwindigkeit wird auch parabolische Geschwindigkeit genannt, weil der entkommende Körper auf einer Parabelbahn entkommt. Eine weitere Bezeichnung für die Fluchtgeschwindigkeit ist zweite kosmische Geschwindigkeit.
Anmerkung: Die erste kosmische Geschwindigkeit ist diejenige Mindestgeschwindigkeit, die ein Körper haben muss, um auf einer Kreisbahn eine Masse zu umkreisen; sie ist kleiner als die Fluchtgeschwindigkeit. Bei Erreichen der dritten kosmischen Geschwindigkeit verlässt der Körper die Masse auch, allerdings auf einer Hyperbelbahn (deshalb auch hyperbolische Geschwindigkeit); sie ist noch größer als die Fluchtgeschwindigkeit.

Grenzen der Newtonschen Theorie

Es sei angemerkt, dass es bei einer so kompakten Masse wie einem Schwarzen Loch an sich nicht mit den Mitteln der Newtonschen Gravitationsphysik gerechnet werden darf. Hier beginnt das Regime einer neuen Gravitationstheorie, nämlich Einsteins Allgemeiner Relativitätstheorie (ART). Sie fasst Gravitation geometrisch als eine gekrümmte Raumzeit auf. Dass mit der Gleichung oben trotzdem das richtige Resultat herauskommt, nämlich der so genannte Schwarzschild-Radius, ist Zufall; so versagt die Newtonsche Gravitation bei der analogen Berechnung für den Fall eine rotierenden Schwarzen Loches. Korrekt beschrieben wird dieses durch die Kerr-Lösung der ART.

Frame-Dragging

Dieser englische Fachbegriff wird in dieser Form auch im deutschsprachigen Fachjargon verwendet, weil er sich schlecht ins Deutsche übersetzen lässt. Es handelt sich um einen rein allgemein relativistischen Effekt, der mit der Allgemeinen Relativitätstheorie (ART) beschrieben wird und nicht in der Newtonschen Physik existiert. Frame-Dragging besagt, dass jede rotierende Masse das lokale Bezugssystem (engl. reference frame) mitzieht (engl. 'ziehen': to drag). Anders gesagt wird alles von der rotierenden Masse gezwungen sich mit der Drehrichtung der Masse zu drehen. Das gilt für andere Testmassen, für Licht (Lichtkegel, Photonen), für lokale Beobachter - denn die Raumzeit von rotierenden Massen rotiert selbst.

rotierende Massen in Einsteins Gravitation

Rotierende Raumzeiten besitzt zwei Symmetrien: Achsensymmetrie (Axialsymmetrie) und Stationarität. Das entsprechende Linienelement kann ganz allgemein notiert werden (Papapetrou-Form). Es gibt da einige Spezialfälle: Ist die rotierende Masse ein Massenmonopol, so resultiert die Kerr-Lösung. Demgegenüber weisen Neutronensterne, die ebenfalls rotieren, einen Massenquadrupol auf. Doch beide Metriken sind axialsymmetrisch und stationär.
Der Frame-Drag tritt immer bei rotierenden Massen auf! In der Regel ist er allerdings verschwindend gering und schwierig zu messen - wie im Falle der rotierenden Erde. Das liegt daran, weil die Erde kein kompaktes Objekt ist. Die Effekte werden erst bei schnell rotierenden Neutronensternen (siehe auch Pulsar) und rotierenden Schwarzen Löchern besonders stark. Je mehr Masse auf kleinem Raum rotiert, umso heftiger ist Frame-Dragging.

Historisches & Aktuelles

Frame-Dragging wurde bereits 1918 von den beiden österreichischen Physikern Joseph Lense (1890 - 1985) und Hans Thirring (1888 - 1976) entdeckt. Deshalb nennt man ihn auch Lense-Thirring-Effekt. Unter diesem Lexikoneintrag wird die Mathematik des Frame-Draggings sowie deren Messung mit dem Satelliten Gravity Probe-B beschrieben.

Schleudertrauma am Kerr-Loch

Frame dragging FormelDas Frame-Dragging der Kerr-Löcher ist mathematisch anhand der Gleichung (notiert in Boyer-Lindquist-Koordinaten) rechts zu verstehen: Winkelgeschwindigkeit des Loches ω, Lapse-Funktion α, Winkelgeschwindigkeit Ω und Zylinderradius (ω mit Schlange) sind Funktionen, die die rotierende Metrik bestimmen; λ ist der spezifische Drehimpuls des Teilchens, das um das Loch rotiert. Am Ereignishorizont verschwindet α (Definition des Horizonts!), so dass in jedem Fall der zweite Term null ist. Die Rotation des Teilchens, genauer die Winkelfrequenz Ω, wird nun vollständig bestimmt von der Winkelfrequenz des Schwarzen Loches ω, der so genannten Frame-Dragging-Frequenz: Das rotierende Loch reißt alles mit sich! Dabei ist es völlig unerheblich, welchen Drehimpuls (welches λ) das einfallende Teilchen hat.

Messen des rotierenden Raums

Auch wenn der Effekt klein ist, haben dennoch Physiker versucht, den Frame-Dragging-Effekt bei der Erde zu messen. Dies geschah mithilfe der LAGEOS-Satelliten, deren Position und Bewegung mittels Laser sehr genau bekannt ist. 1997 fanden sie noch eine schwache Evidenz mit hohem Messfehler (zwischen 25 und 200%); 2004 hat die gleiche Forschergruppe mehr Erfolg gehabt und mit hoher Wahrscheinlichkeit - sogar vor der dafür konzipierten Satellitenmission Gravity Probe-B - den Frame-Drag der Erde nachgewiesen (Ciufolini et al., Nature 431, 958, 2004).
Als Testmasse benutzen die Physiker Gyroskope, im Prinzip kleine Kreisel. Die rotierende Raumzeit kann durch ein gravitomagnetisches Feld beschrieben werden. Der Shift-Vektor (β), wie er im ADM-Formalismus auftritt, kann als Vektorpotential angesehen werden, der dieses Feld im Raum erzeugt. Das Konzept ist vollkommen analog zur klassischen Elektrodynamik, wo das magnetische Vektorpotential A das Magnetfeld, B = rot A, erzeugt. Das Pendant zur Lorentz-Kraft heißt beim Frame-Dragging gravitomagnetische Kraft. Letztendlich beeinflusst diese Kraft Testkörper und zwingt ihnen die Korotation auf. Gyroskope werden dann zur Lense-Thirring-Präzession veranlasst. Es handelt sich bei dem Lense-Thirring-Effekt also physikalisch gesprochen um eine Wechselwirkung von Drehimpulsen, nämlich demjenigen des Loches (Kerr-Parameter a) und demjenigen des ankommenden Teilchens/Testkörpers/Kreisels.

f(R)-Gravitation

f(R)-Gravitation ist ein Oberbegriff für gegenüber der Allgemeinen Relativitätstheorie (ART) erweiterte Gravitationstheorien, die außer der Hilbert-Wirkung der ART weitere nichtlineare Terme vorsehen. Diese nichtlinearen Modifikationen werden besonders durch Stringtheorien und M-Theorie motiviert. In der Gravitationsforschung ist allerdings generell von Interesse neue Theorievarianten zu testen - auch, um sich von der Richtigkeit von Bewährtem (in diesem Fall ART und Newtonsche Gravitation) zu überzeugen.

Warum f(R)?

Die Bezeichnung f(R) nimmt Bezug darauf, dass eine wesentliche Grundgleichung dieser Feldtheorie, das so genannte Wirkungsfunktional, eine mehr oder weniger beliebige Funktion des Krümmungsskalars R (= Ricci-Skalars, siehe Ricci-Tensor) sein kann, der sowohl in positiven oder negativen Potenzen, als auch logarithmiert etc. auftreten kann. Die mathematische Symbolik f(R) kann wörtlich als 'Funktion des Ricci-Skalars' übersetzt werden. Die Nichtlinearitäten bewirken anschaulich, dass bei sehr kleinen Krümmungen der Raumzeit plötzlich die neuen Zusatzterme relevant werden können, dass sie aber bei moderaten bis hohen Krümmungen vielleicht völlig irrelevant sind. Dieses seltsame, 'launige' Verhalten liegt in der Natur von Nichtlinearitäten.

Motivation zu einem neuen Ansatz

Das Interesse an solchen Varianten entbrannte, als entdeckt wurde, dass ein solcher f(R)-Ansatz zu beschleunigten Phasen einer sich ausdehnenden Raumzeit führen kann (Alexei A. Starobinsky 1980) - genau das beobachten die Kosmologen für die globale Raumzeit des ganzen Universums. Sollte diese Beschleunigung vielleicht gar nicht durch Einsteins Theorie, sondern vielmehr durch eine f(R)-Gravitation beschrieben werden?

Qual der Wahl

Ansatz in f(R)-Gravitationen Um diese Frage zu lösen, unternehmen die Gravitationsforscher große Anstrengungen. Aktuell widmen sich zahlreiche Veröffentlichungen ganz unterschiedlichen f(R)-Modellen. Die Forschergruppen setzen ein bestimmte Funktion für f(R) an und betrachten die resultierende Dynamik der modifizierten Feldgleichungen der Gravitation. Eine der vielen f(R)-Familien zeigt z.B. die Gleichung rechts. Darin sind α und β reelle Größen geeigneter Dimension, während m und n beliebige natürliche Zahlen symbolisieren. Die Analyse dieser speziellen Klasse hat ergeben, dass ein solcher Ansatz problematisch und nicht verträglich mit Daten der experimentellen Kosmologie ist (Brookfield et al. 2006).
Der Übergang zur ART findet bei der Wahl f(R) = R statt, weil dann gerade die Einstein-Hilbert-Wirkung reproduziert wird (siehe dazu auch Olmo 2006, astro-ph/0612047). Dazu muss man wissen, dass die Einstein-Hilbert-Wirkung nur von der Determinante der Metrik - und nicht von weiteren Ricci-Skalaren - abhängt und dass sie über den Euler-Lagrange-Formalismus automatisch auf die klassischen Einsteinschen Feldgleichungen führt.
f(R)-Gravitationen lassen sich generell auf Skalar-Tensor-Theorien reduzieren, also auf Theorien, in denen nicht nur eine tensorielle Größe (wie der metrische Tensor in der ART) die Dynamik bestimmt, sondern auch noch ein zusätzlicher Skalar. Spezielle f(R)-Ansätze sind daher äquivalent zur Brans-Dicke-Theorie.

Ein technischer Aspekt

Technisch unterscheidet man bei der Analyse von f(R)-Modellen zwei Methoden: Den Metrik-Formalismus und den Palatini-Formalismus. Beim Metrik-Formalismus erhält man die Feldgleichungen aus der Variation der Wirkung nach der Metrik. Im Palatini-Formalismus hingegen wird der Ricci-Skalar als Funktion der Zusammenhänge (siehe Christoffel-Symbole) aufgefasst und die Wirkung wird nach Metrik und Zusammenhängen getrennt voneinander variiert.

Stand der f(R)-Forschung

Zielsetzung der f(R)-Gravitationsforschung ist es, die Möglichkeiten neuer Gravitationstheorien durchzuspielen und aus Beobachtungsdaten die entsprechenden Parameter des Ansatzes einzuschränken (im obigen Beispiel also α, β, m und n). Gleich drei f(R)-Familien werden in einem aktuellen Papier von Fay, Tavakol & Tsujikawa (2007) untersucht (Preprint unter astro-ph/0701479).

Zentrale Fragen in der f(R)-Forschung

  • Vermag f(R)-Gravitation ein schlüssiges Modell der Inflation zu skizzieren?
  • Können f(R)-Ansätze Merkwürdigkeiten wie die Dunkle Energie oder die Pioneer-Anomalie erklären?
  • Leistet f(R)-Gravitation mehr als die ART?
Friedmann-Weltmodelle

Die Friedmann-Weltmodelle beschreiben die Dynamik des Universums als Ganzes. Mit ihrer Hilfe lassen sich Szenarien für dynamisch ganz unterschiedliche Universen entwerfen.

dynamische und statische Modell-Universen

Damit sind Friedmann-Universen wesentlicher Gegenstand der Kosmodynamik. Auch Albert Einsteins Statisches Universum ist als Grenzfall enthalten. Geeignete kosmologische Parameter ermöglichen eine Klassifikation in nicht-statische, also dynamische, und statische Lösungen. Die Behandlung und Untersuchung der Lösungsmannigfaltigkeiten der Friedmann-Weltmodelle nennen Kosmologen manchmal auch Friedmannologie. Formal folgen die Friedmann-Weltmodelle oder FLRW-Modelle (Friedmann-Lemaître-Robertson-Walker-Modelle) aus folgenden vier Zutaten:

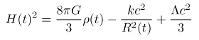
klassische Friedmann-Gleichung Friedmann-Weltmodelle sind also eingebettet in eine relativistische Kosmologie. Das Linienelement der Robertson-Walker-Metrik wird in die Einsteinschen Feldgleichungen mit Lambda-Term eingesetzt und führt auf ein System zweier unabhängiger Differentialgleichungen zweiter Ordnung, den Friedmann-Gleichungen. Sie sind von fundamentaler Bedeutung für die moderne Kosmologie. Die beiden Gleichungen können zu einer einzigen Differentialgleichung erster Ordnung (siehe rechts) kombiniert werden. Diese Gleichung ist erster Ordnung, weil der Hubble-Parameter H(t) die erste Ableitung von R(t) enthält. Die Gleichung wird für unterschiedliche kosmologische Parameter betrachtet und führt so auf unterschiedliche Modelluniversen.

Historische Wegbereiter der modernen Kosmologie

Die Friedmann-Gleichungen fand der russische Mathematiker und Astronom Alexandr A. Friedmann 1922 und 1924 für die Krümmungsparameter k = -1 und k = +1, sowie Gesamtdruck p = 0 (also einem Substrat aus Staub). H.P. Robertson fand die flache Lösung mit k = 0 (Euklidisches Universum).
Die Friedmann-Weltmodelle beschreiben Universen konstanter Krümmung k. Räume konstanter Krümmung haben einen Riemannschen Krümmungstensor mit einfacherer Gestalt, als im allgemeinen Fall beliebig gekrümmter Mannigfaltigkeiten.

Drei Krümmungstypen des Kosmos

FLRW-Modelle unterscheiden sich in ihrer globalen Geometrie und Topologie:

  • elliptisches oder sphärisches Universum: Krümmung k = +1.
    Dieses Weltall ist geschlossen, unbegrenzt, hat jedoch endliches Volumen. Eine moderne Manifestation dieses Typs ist das Dodekaeder-Universum.
  • Euklidisches Universum: Krümmung k = 0.
    Dieses Weltall ist offen/unendlich oder geschlossen/endlich. Das Universum ist flach. Hier gelten die Sätze der ebenen Geometrie Euklids, z.B. die Winkelsumme im Dreieck beträgt 180 Grad. Im Konsens-Modell der Kosmologie (engl. concordance model) ist das unendlich ausgedehnte, flache Universum die Grundlage.
  • hyperbolisches Universum: Krümmung k = -1. Das Horn-Universum mit negativer Krümmung ist eine moderne Alternative zum flachen Universum.
    Dieses Weltall ist ebenfalls offen/unendlich oder geschlossen/endlich - je nach Topologie.

Aber beliebige viele Topologietypen des Kosmos

Eine Entscheidung, welche kosmische Topologie vorliegt ist nicht-trivial und Gegenstand der aktuellen, kosmologischen Forschung. Die Aufstellung zeigt, dass nach der Bestimmung des Krümmungsparameters k nur die Geometrie feststeht, jedoch noch nicht die Topologie. Momentan favorisiert man (auch aus Gründen der Einfachheit; vergleiche Ockhams Rasierklinge) ein flaches, offenes Euklidisches Universum. Flachheit folgt aus den Beobachtungen. Der Euklidische Kosmos konkurriert noch mit dem geschlossenen Dodekaeder-Universum oder Horn-Universum, die als Alternativen vorgeschlagen wurde - noch können sie nicht von den Beobachtungsdaten ausgeschlossen werden. Die topologischen Aspekte der Kosmologie werden unter dem Eintrag Topologie profunder erörtert.

kosmische Materie fließt

In der Herleitung der Friedmann-Gleichung geht die Annahme ein, dass das Universum mit Materie, beschrieben als ideale Flüssigkeit, angefüllt ist. Deshalb wurde auch der Energie-Impuls-Tensor einer idealen Flüssigkeit verwendet. Die Flüssigkeit wird durch ihre Energiedichte (relativistische Verallgemeinerung der Massendichte) und ihren Druck p bestimmt. Verschwindet der Druck, p = 0, spricht man von Staub. Die Lösungen der Friedmann-Gleichung werden für verschiedene Parameter diskutiert. Dabei dienen Krümmungsparameter k, kosmologische Konstante ('Lambda', Λ) und Druck der idealen Flüssigkeit p als Klassifikationsmerkmale.

Stars in order of appearance

So folgt eine Klassifikation von Friedmann-Universen in chronologischer Reihenfolge ihrer Entdeckung:

  • Bereits 1917 schlug Albert Einstein sein statisches Universum vor. Bei statischen Lösungen ist der Weltradius konstant, R(t) = const. Lambda wurde ja von Einstein auf diese Weise eingeführt und ist ungleich null. Als Krümmung wurde k = +1 gewählt, weil alle sphärischen Universen geschlossen sind, was Einstein als ästhetisch empfand. Im statischen Universum verschwinden sowohl Hubble-Parameter, als auch Abbremsparameter, was anschaulich unmittelbar einsichtig ist.
  • Im gleichen Jahr 1917 fand der holländische Astronom Willem de Sitter (1872 - 1934) eine flache Lösung, k = 0, mit positiver kosmologischer Konstante, die dynamisch, aber materiefrei (Energie-Impuls-Tensor null) ist. Damit verstößt sie gegen das Machsche Prinzip! Die Dynamik dieser de-Sitter-Lösung wird von der Dunklen Energie verursacht.
  • 1922 schlägt Friedmann die Gleichung vor, die heute nach ihm benannt wurde. Sie enthält sämtliche Universen, auch den statischen Einstein-Kosmos. Die Friedmann-Lösungen im engeren Sinne fand Friedmann 1922 und 1924 selbst. Für sie gilt: verschwindendes Lambda, k = -1,+1 und p = 0. Besonders interessant sind Friedmanns oszillierende Weltmodelle für negative Lambda. Die Dunkle Energie stoppt die Expansion und verursacht eine Kontraktion des Universums. Im Prinzip könnte dieses Universum beliebig oft expandieren und kontrahieren. Es ist ein pulsierendes Universum. Friedmanns Erkenntnisse waren jedoch für die damalige Zeit zu avantgardistisch. Ein dynamisches Universum war jenseits jeder Vorstellung - auch für die Kosmologen der ersten Stunde, allen voran Einstein. Friedmanns Lösungen fanden sehr zögerlich die Akzeptanz anderen Kosmologen.
  • Der belgische Kosmologe Abbé Georges Lemaître (1894 - 1966) arbeitete auf gleichem Gebiet wie Friedmann. Er fand 1925 die Lösung eines expandierenden Universums. Zunächst wurden positive Krümmung und positives Lambda vorausgesetzt. Dynamische Universen waren zu dieser Zeit äußerst unattraktiv. Erst Hubbles Entdeckung der Fluchtbewegung der Galaxien im Jahr 1929 verschafften den Friedmann-Lemaître-Modellen verdienten Zulauf.
  • 1929 fand Robertson Lösungen mit beliebigem Lambda, k = 0 und p = 0.
  • Im Zuge von Einsteins zurückgenommener kosmologischer Konstante, erlangen Modelle mit verschwindendem Lambda zunehmend Aufmerksamkeit. Das Einstein-de-Sitter-Universum (1932) ist flach, k = 0.
  • In der Folgezeit wurden viele Subklassifikationen der Friedmann-Lemaître-Lösungen gefunden (nach Robertson, 1933).

Lemaître: Erfinder des Urknalls unter anderem Namen

Dynamische Universen haben variablen Weltradius R(t), der häufig auch als Skalenfaktor a(t) in der Fachliteratur bezeichnet wird. Die Entdeckung der Expansion führte Lemaître zu der Annahme, dass wenn man die Expansion zeitlich zurück extrapoliert, es ein beliebig kleines Universum gegeben haben muss. Lemaître nannte dies die 'Geburt des Raumes' (Artikel in Nature 1931). Demzufolge darf er als der 'Vater der Urknall-Theorie' bezeichnet werden.

Was sind das für Ωs?

Dichteparameter der Kosmologie: Materie, Dunkle Energie, Krümmung, gesamt Bei der Diskussion der Friedmann-Gleichungen bietet sich an, einige dimensionslose Größen einzuführen: die Dichteparameter. Sie werden symbolisiert durch den letzten Buchstaben des griechischen Alphabets, Ω, der verschiedene Indizes trägt. Die Terme der Friedmann-Gleichung (ganz oben) lassen sich so in eine Summe aus Dichteparametern umschreiben. Jeder Dichteparameter kann einer bestimmten Energieform bzw. Energiedichte zugeordnet werden:

Die Omegas erhalten entsprechende Indizes, um die Energieform zu charakterisieren (Ωm: Materie, ΩΛ: Dunkle Energie, Ωrad: Strahlung, Ωk: Krümmung des Universums). Die Omegas hängen im Allgemeinen von der Zeit bzw. von der kosmologischen Rotverschiebung ab! Der Index 0 steht üblicherweise für das lokale Universum, z = 0 ('heute'). Die Friedmann-Gleichung kann mit den Definitionen der Omegas wie sie rechts notiert sind auf Dichteparameter umgeschrieben werden, so dass man die untere Gleichung rechts erhält. Der Astronom misst nun die beispielsweise die Omegas von Strahlung, Materie und Dunkler Energie im lokalen Universum und kann so die Krümmung des Kosmos bestimmen.

Expansion vs. Abbremsung

Definition des Hubble-Parameters Die Dichte-Parameter bestimmen zusammen mit dem Hubble-Parameter und dem Abbremsparameter vollständig die Dynamik des Universums. Man bezeichnet diesen Parametersatz als kosmologische Parameter, weil sie sämtliche Eigenschaften des Kosmos - bis auf die globale Topologie - bestimmen. Der Hubble-Parameter H(t) (siehe Gleichung rechts) ist mit der Expansionsgeschwindigkeit des Universums in der Epoche t assoziiert und im Allgemeinen zeitabhängig (bzw. abhängig von der Rotverschiebung). Im lokalen Universum kann zwischen kosmologischer Rotverschiebung und Entfernung (vergleiche Entfernungsmodul) approximativ eine lineare Beziehung abgeleitet werden: das Hubble-Gesetz. Der amerikanische Astronom Edwin Hubble fand dieses Gesetz bereits 1929 auf der Grundlage von nur 18 Galaxien - eine richtige Interpretation, trotz geringer Datenmenge und schlechter Statistik. Die Proportionalitätskonstante heißt Hubble-Konstante, H0, und ist nur im nahen Universum konstant. Das lässt sich so verstehen, dass im nahen Universum die Expansionsgeschwindigkeit konstant ist. Bei größeren Distanzen, ab etwa 420 Mpc, bemerkt man Beschleunigungseffekte und die Linearität des Hubble-Gesetzes gilt nicht mehr.

Die Größe der Welt

Definition des Abbremsparameters Die Größe R(t) bzw. a(t) kann als zeitabhängiger Weltradius verstanden werden. Seine erste Zeitableitung ist assoziiert mit der Expansions- (positives Vorzeichen) oder Kontraktionsgeschwindigkeit (negatives Vorzeichen); seine zweite Zeitableitung ist verknüpft mit der Beschleunigung (positives Vorzeichen) oder Abbremsung (negatives Vorzeichen). Die Gleichung rechts zeigt den so zu definierenden Abbremsparameter q(t) (Brems-, Beschleunigungs-, Dezelerationsparameter oder Dezelerationsfunktion). Der Abbremsparameter charakterisiert die zeitliche Veränderung der Expansionsgeschwindigkeit, also Beschleunigungen der Ausdehnung des Universums. Um dies zu veranschaulichen, skizzieren wir kurz Hubbles historische Technik nach: Hubble maß Rotverschiebungen extragalaktischer Systeme. Aufgrund der kosmischen Expansion streben alle Galaxien auseinander, was sich darin äußert, dass ein Beobachter, der in einem Sternensystem lokalisiert sein mag, die Strahlung aller anderen Galaxien rotverschoben misst. Hubble trug nun seine Daten in einem Diagramm ein: gemessene Radialgeschwindigkeiten über zugehörigen Entfernungen (bestimmt mithilfe der Cepheiden). Im Bereich bis etwa 15 Mpc ergibt sich eine Gerade: das ist das lineare Hubble-Gesetz! Die Steigung der Geraden entspricht der Hubble-Konstanten. Die Auswirkungen von Abbremseffekten sieht man für größere Distanzen beobachteter Systeme. Dann knickt die Gerade nach oben oder nach unten ab. Das parametrisiert nicht die Steigung der Gerade (1. Ableitung), sondern ihre Krümmung (2. Ableitung). Daraus resultiert die Gleichung für den Abbremsparameter. Im Allgemeinen werden Hubble-Parameter und Abbremsparameter für jede Epoche t ausgewertet und die so resultierenden Zeitabhängigkeiten analysiert.

Entwicklung verschiedener Universen

Dynamische Modelluniversen im Vergleich

Die Abbildung oben zeigt unterschiedliche Szenarien, wie sich ein dynamisches Universum entwickeln kann (Credit: WMAP-Website). Auf der horizontalen Achse ist die kosmische Zeit in Einheiten von Milliarden Jahren aufgetragen. Bei der Stelle Now befinden wir uns als lokale Beobachter auf der Erde. Links von Now schauen wir in die Vergangenheit unseres Universums und rechts von Now in die Zukunft. Auf der vertikalen Achse ist die Größe des Universums als Weltradius aufgetragen. Die Einheiten sind willkürlich und wurden so normiert, dass der Weltradius bei Now gerade exakt 1 ist. Im Urknall muss der Weltradius null gewesen sein - hier startet also die Entwicklung des dynamischen Kosmos. Die unterschiedlichen Kurven stehen nun jeweils für ein anderes Friedmann-Weltmodell. Die Parameter, die den Kurvenverlauf und damit das Schicksal des Universums bestimmen, sind die beiden Dichteparameter Ωm (die 'Materie', d.h normale plus Dunkle Materie) und ΩV (das 'Vakuum', also die Dunkle Energie). Am Anfang dehnen sich alle Modelluniversen aus, weil zunächst alle Kurven von links unten nach rechts oben ansteigen. Allerdings starten sie an unterschiedlichen Stellen; mit anderen Worten: je nach Energieinhalt haben die Modelluniversen unterschiedliches Alter. Dieses Alter kann man am Kreuzungspunkt der Kurve mit der horizontalen Achse ablesen: die grüne Kurve steht für ein Universum mit einem Alter von 10 Mrd. Jahren; ganz links liegt ein Alter von knapp 15 Mrd. Jahren vor.

erst Expansion, dann Kollaps

Die orangegelbe Kurve zeigt einen besonderen Verlauf: der Weltradius nimmt in der Zukunft (rechts von Now) wieder ab! Betrachten wir die Parameter, so stellen wir fest, weshalb das so ist: dieses Modelluniversum enthält sehr viel Materie (Ωm = 5.0) und gar keine Dunkle Energie (ΩV = 0). Die Zahl 5 bedeutet, dass die Materiedichte die kritische Dichte um das Fünffache überschreitet! Dieses Universum enthält soviel Materie, dass irgendwann in der Zukunft (nach knapp weiteren 10 Mrd. Jahren) die Gravitation gewinnt und die Expansion wieder umkehren kann. Als Konsequenz kollabiert das Universum und die kosmologische Rotverschiebung kehrt sich um in einer kosmologische Blauverschiebung. Das ist ein geschlossenes Universum.

kritische Expansion

Die grüne Kurve enthält hingegen etwas weniger Materie (Ωm = 1.0) und ebenfalls keine Dunkle Energie. Der Materieinhalt entspricht exakt der kritischen Dichte. Wie man sieht, startet die Expansion recht flott, aber die Kurve flacht immer mehr ab, so dass die Expansion immer langsamer wird. Der Materieinhalt reicht hier nicht aus, damit das Universum in sich zusammenfällt.

verlangsamte Expansion

Bei der blauen Kurve liegt die Materiedichte unterhalb der kritischen Dichte (Ωm = 0.3; ebenfalls keine Vakuumenergie). Es handelt sich um ein offenes Universum, bei dem sich die Expansion verlangsamt, aber aufrechterhalten wird. Im Unterschied zur grünen Kurve ist dieses Modelluniversum älter - die blaue Kurve schneidet die horizontale Achse weiter links, d.h. zu früheren kosmischen Zeiten.

beschleunigte Expansion nur mit Dunkler Energie

Die rote Kurve enthält dieselbe Materiedichte wie die blaue (Ωm = 0.3), aber zusätzlich gibt es auch Dunkle Energie (ΩV = 0.7) - verglichen mit der Materiedichte sogar mehr als doppelt soviel. Die Dunkle Energie weist einen negativen Druck auf und wirkt somit antigravitativ. Dieser Effekt wird besonders ausgeprägt zu späten Entwicklungsphasen dieses dynamischen Modelluniversums. Es ist klar zu sehen, dass die Expansion sogar beschleunigt wird - die rote Kurve steigt nach rechts extrem an. Dieser Vorgang kann nur mit der Dunklen Energie als Zutat erklärt werden.
Es sei bei dieser Kurve auf ein besonderes Detail hingewiesen: am Anfang steigt der Weltradius zwar an, aber die Expansion wird für eine Zeit lang abgebremst! Das erkennt man an der Rechtskrümmung der Kurve; später verschwindet das und eine klare Linkskrümmung liegt vor. Zu Beginn der der Expansion war die Dunkle Energie dynamisch noch nicht so relevant. Erst zu späten kosmologischen Epochen hin dominiert sie die Dynamik des ewig expandierenden Kosmos.

Unser beschleunigt expandierender Kosmos

Die Aufgabe der Astronomen ist es nun Beobachtungen durchzuführen, um Datenpunkte in dieses Diagramm eintragen zu können. Versammeln sich die Datenpunkte eindeutig auf einer der Kurven, so steht das Friedmann-Modell für unser Universum fest. Das Sammeln von Datenpunkten übernehmen beispielsweise Supernovaforscher, die weit entfernte Supernovae vom Typ Ia analysieren. Fatalerweise schmiegen sich alle Kurven im Bereich von Now sehr eng aneinander. Die Astronomen müssen demnach tief in die Vergangenheit des Kosmos schauen (dort, wo die Kurven voneinander abweichen), um klar bestimmen zu können, welcher Kurve unser Universum folgt - leider können sie nicht in die Zukunft blicken und Datenpunkte rechts von Now eintragen. Liegt jedoch die Kurve fest, so wissen wir, wie sich das Universum in Zukunft entwickeln wird!
Die Astronomen wissen es. Ende der 1990er Jahre wurde tatsächlich die beschleunigte Expansion anhand von weit entfernten, explodierenden Weißen Zwergen gemessen.

Unser Universum folgt der roten Kurve!

Wir leben in einem Universum, dass nach den aktuellen Erkenntnissen der modernen Kosmologie niemals kollabieren wird, aber ewig expandieren und dabei langsam auskühlen wird. Das Alter unseres Universums beträgt 13.7 Mrd. Jahre - bei dieser Zahl schneidet die rote Kurve die horizontale Achse. Die Zusammensetzung unseres Universums ist so, wie die Parameter der roten Kurve nahe legen: ein Drittel Materie, zwei Drittel Dunkle Energie (s.u. für die präzisen, aktuellen Daten).
Die Supernovadaten passen zu allen anderen astronomischen Messungen (kosmische Hintergrundstrahlung, großräumige Verteilung der Galaxien und Galaxienhaufen, Häufigkeiten der primordialen Elemente) und auch zu den Erkenntnissen aus der Altersbestimmung. So gibt das Alter von Objekten im Kosmos ein Mindestalter für das Universum vor. Die Altersbestimmung mit radiogenen Methoden bei Gesteinen oder das Alter von Kugelsternhaufen (den ältesten Systemen in der Milchstraße) oder von Weißen Zwergen - all das passt zu den Erkenntnissen der experimentellen Kosmologie.

aktuelle Werte der Hubble-Konstanten H0

  • Die Hauptaufgabe des amerikanischen Weltraumteleskops Hubble (Hubble Space Telescope, HST) war es gerade, die Hubble-Konstante äußerst präzise zu messen. Ergebnis: H0 = 72 km s-1 Mpc-1 (H0KP, Freedman et al. 2001).
  • Auch die Verteilung der kosmischen Hintergrundstrahlung kann herangezogen werden, um die kosmologischen Parameter zu messen. Brandaktuelles Ergebnis: H0 = 73 km s-1 Mpc-1 (WMAP 3rd year data, Spergel et al., 2006; astro-ph/0603449).

Auch Astronomen streiten

Zuvor stritten Kosmologen jahrzehntelang, ob die Hubble-Konstante eher bei 50 oder eher bei 100 km s-1 Mpc-1 läge. Dieser Streit ist mittlerweile beigelegt, weil die Fehlerbalken aufgrund mehrerer unabhängiger Methoden sehr klein geworden sind.

Rezept für ein Universum

Die Konstituenten kosmischer Energieformen sind aktuell gemäß Messungen des Mikrowellen-Satelliten WMAP (Stand März 2006, Quelle WMAP Homepage), der die Hintergrundstrahlung exakt vermessen hat:

  • gewöhnliche, baryonische Materie: 4%
  • Strahlung: irrelevant,
  • heiße Dunkle Materie (HDM): irrelevant,
  • kalte Dunkle Materie (CDM): 22%,
  • Dunkle Energie (Lambda): 74%.

Der Beitrag von elektromagnetischer Strahlung kann im lokalen Universum vernachlässigt werden, weil Ωrad ~ 10-5 beträgt. Die Strahlung wird durch die Expansion des Kosmos sehr stark ausgedünnt; allerdings war sie in der Frühphase des Universums wichtig - vor allem in der Phase des strahlungsdominierten Kosmos.

Das größte Geheimnis der Astrophysik

Damit kommt der Dunklen Energie die tragende Rolle in der Kosmodynamik des bereits entwickelten Universums zu. Sie macht sich als Antigravitation bemerkbar und treibt die Expansion des Universums. Auch wenn Interpretationen in Form von Vakuumpolarisationen des Quantenvakuums oder ultraleichten skalaren Bosonen wie dem Cosmon oder dem Radion für diese Komponente vorliegen, gehört sie doch zu den größten Geheimnissen des Kosmos.

Moderne Entwicklungen

Die Friedmann-Modelle dienen in der modernen Kosmologie als einfache Modell-Universen. In den 1980er Jahren wurden diese Modelle modifiziert und eine Phase exponentieller Expansion des Universums implementiert. Diese Phase heißt Inflation. Die aktuellen Supernovamessdaten bevorzugen eindeutig die kosmologische Konstante Λ, die man als konstante und gleichmäßig verteilte Form Dunkler Energie ansehen kann. Trotz dieser aktuellen Datenlage haben Physiker zeitlich veränderliche Formen Dunkler Energie wie Quintessenz-Modelle entwickelt. Motiviert ist das durch das Problem der Kleinheit von Λ und das Koinzidenzproblem.
Eine andere moderne Stoßrichtung ist die Berücksichtigung räumlicher Extradimensionen. In diesen Modellen werden neben einer Zeitdimension und drei Raumdimensionen, die in der Raumzeit der ART verknüpft sind, weitere räumliche Dimensionen angenommen, die möglicherweise kompaktifiziert sind. Diese Ansätze modifizieren das klassische vierdimensionale Linienelement der ART. Solche Überlegungen folgen vor allem aus den Stringtheorien. Diese neuen Ansätze resultieren in einer Kosmologie mit Branen, zum Beispiel realisiert als ADD-Szenario, DGP-Szenario oder Randall-Sundrum-Modelle. Wenn räumliche Extradimensionen existieren sollten, wird die klassische Friedmann-Gleichung der vierdimensionalen Kosmologie deutlich modifiziert. Es gibt dann neue Terme, die von der Spannung der Bran oder von der Dunklen Strahlung (engl. dark radiation) abhängen. Außerdem skaliert der Hubble-Parameter bei hohen Energien linear mit der Energiedichte (klassisch steigt er nur mit der Wurzel an).
Diese Modelle mit neuer Physik haben attraktive Eigenschaften - letztendlich muss aber die Naturbeobachtung klären, ob die Modelle etwas mit der Realität zu tun haben.

Weitere Literatur

pdf FF
pdf A-ZA-Z

nach oben

Lexikon - F 3 Lexikon - G 1


Start - Web-Artikel - Lexikon - Vorträge - Ausbildung - Essays - Rhetorik - Links - Autor - Kontakt
Andreas Müller © Andreas Müller, August 2007

Index

A
Abbremsparameter
ADAF
ADD-Szenario
ADM-Formalismus
AdS/CFT-Korrespondenz
AGB-Stern
Äquivalenzprinzip
Akkretion
Aktiver Galaktischer Kern
Alfvén-Geschwindigkeit
Alfvén-Zahl
Allgemeine Relativitätstheorie
Alpha-Zerfall
AMR
anthropisches Prinzip
Antigravitation
Antimaterie
Apastron
Apertursynthese
Aphel
Apogäum
Astronomie
Astronomische Einheit
asymptotisch flach
Auflösungsvermögen
Axion
AXP
B
Balbus-Hawley- Instabilität
Bardeen-Beobachter
Baryogenese
Baryonen
baryonische Materie
Bekenstein-Hawking- Entropie
Beobachter
Beta-Zerfall
Bezugssystem
Bianchi-Identitäten
Big Bang
Big Bounce
Big Crunch
Big Rip
Big Whimper
Birkhoff-Theorem
Blandford-Payne- Szenario
Blandford-Znajek- Mechanismus
Blauverschiebung
Blazar
BL Lac Objekt
Bogenminute
Bogensekunde
Bosonen
Bosonenstern
Boyer-Lindquist- Koordinaten
Bran
Brans-Dicke- Theorie
Brauner Zwerg
Brill-Wellen
Bulk
C
Carter-Konstante
Casimir-Effekt
Cauchy-Fläche
Cepheiden
Cerenkov-Strahlung
Chandrasekhar-Grenze
Chaplygin-Gas
Chiralität
Christoffel-Symbol
CMB
CNO-Zyklus
Comptonisierung
Cosmon
C-Prozess
D
Deep Fields
Derricks Theorem
de-Sitter- Kosmos
DGP-Szenario
Diffeomorphismus
differenzielle Rotation
Distanzmodul
Dodekaeder-Universum
Doppler-Effekt
Drei-Kelvin-Strahlung
Dunkle Energie
Dunkle Materie
E
Eddington-Finkelstein- Koordinaten
Eddington-Leuchtkraft
Effektivtemperatur
Eichtheorie
Einstein-Ring
Einstein-Rosen- Brücke
Einstein-Tensor
Eisenlinie
Eklipse
Ekliptik
Ekpyrotisches Modell
Elektromagnetismus
Elektronenvolt
elektroschwache Theorie
Elementarladung
Energie
Energiebedingungen
Energie-Impuls-Tensor
Entfernungsmodul
eos
eos-Parameter
Epizykel
Ereignishorizont
erg
Ergosphäre
eV
Extinktion
Extradimension
extragalaktisch
extrasolar
extraterrestrisch
Exzentrizität
F
Falschfarbenbild
Fanaroff-Riley- Klassifikation
Faraday-Rotation
Farbindex
Farbladung
Farbsupraleitung
Feldgleichungen
Fermi-Beschleunigung
Fermionen
Fermionenstern
Fernparallelismus
Feynman-Diagramm
FFO
FIDO
Flachheitsproblem
FLRW-Kosmologie
Fluchtgeschwindigkeit
Frame-Dragging
f(R)-Gravitation
Friedmann-Weltmodell
G
Galaktischer Schwarz-Loch-Kandidat
Galaxie
Gamma Ray Burst
Gamma-Zerfall
Geodäte
Geometrisierte Einheiten
Geometrodynamik
Gezeitenkräfte
Gezeitenradius
Gluonen
Grad
Granulation
Gravastern
Gravitation
Gravitationskollaps
Gravitationskühlung
Gravitationslinse
Gravitationsradius
Gravitations- rotverschiebung
Gravitationswellen
Gravitomagnetismus
Graviton
GRBR
Große Vereinheitlichte Theorien
Gruppe
GUT
GZK-cutoff
H
Hadronen
Hadronen-Ära
Hamilton-Jacobi- Formalismus
Harvard-Klassifikation
Hauptreihe
Hawking-Strahlung
Hawking-Temperatur
Helizität
Helligkeit
Herbig-Haro- Objekt
Hertzsprung-Russell- Diagramm
Hierarchieproblem
Higgs-Teilchen
Hilbert-Raum
Hintergrundmetrik
Hintergrundstrahlung
HLX
HMXB
Holostern
Homogenitätsproblem
Horizont
Horizontproblem
Horn-Universum
Hubble-Gesetz
Hubble-Klassifikation
Hubble-Konstante
Hydrodynamik
hydrostatisches Gleichgewicht
Hyperladung
Hypernova
Hyperonen
I
IC
Inertialsystem
Inflation
Inflaton
intergalaktisch
intermediate-mass black hole
interplanetar
interstellar
Isometrien
Isospin
Isotop
ITER
J
Jahreszeiten
Jansky
Jeans-Masse
Jet
K
Kaluza-Klein-Theorie
Kaup-Grenzmasse
Kaonen
Kataklysmische Veränderliche
Keine-Haare- Theorem
Kepler-Gesetze
Kerr-de-Sitter- Lösung
Kerr-Lösung
Kerr-Newman- de-Sitter- Lösung
Kerr-Newman- Lösung
Kerr-Schild- Koordinaten
Killing-Felder
Killing-Tensor
K-Korrektur
Koinzidenzproblem
Kollapsar
Kompaktes Objekt
Kompaktheit
Kompaktifizierung
Kompaneets-Gleichung
konforme Transformation
Kongruenz
Koordinatensingularität
Kopenhagener Deutung
Korona
Korrespondenzprinzip
Kosmische Strahlung
Kosmische Strings
Kosmographie
Kosmologie
Kosmologische Konstante
Kosmologisches Prinzip
kovariante Ableitung
Kovarianzprinzip
Kreisbeschleuniger
Kretschmann-Skalar
Krümmungstensor
Kruskal-Lösung
Kugelsternhaufen
L
Laborsystem
Ladung
Lagrange-Punkte
Lambda-Universum
Lapse-Funktion
Laserleitstern
Lense-Thirring- Effekt
Leptonen
Leptonen-Ära
Leptoquarks
Leuchtkraft
Leuchtkraftdistanz
Levi-Civita- Zusammenhang
Licht
Lichtjahr
Lichtkurve
Lie-Ableitung
Linearbeschleuniger
LINER
Linienelement
LIRG
LMXB
LNRF
Lokale Gruppe
Loop-Quantengravitation
Lorentz-Faktor
Lorentzgruppe
Lorentzinvarianz
Lorentz-Kontraktion
Lorentz-Transformation
Lundquist-Zahl
Luxon
M
Machscher Kegel
Machsches Prinzip
Machzahl
Magnetar
magnetische Rotationsinstabilität
Magnetohydrodynamik
Magnitude
marginal gebundene Bahn
marginal stabile Bahn
Markariangalaxie
Maxwell-Tensor
Membran-Paradigma
Mesonen
Metall
Metrik
Mikroblazar
Mikrolinse
Mikroquasar
Milchstraße
Minkowski-Metrik
Missing-Mass- Problem
mittelschwere Schwarze Löcher
MOND
Monopolproblem
Morphismus
M-Theorie
Myonen
N
Neutrino
Neutronenreaktionen
Neutronenstern
Newtonsche Gravitation
No-Hair-Theorem
Nova
Nukleon
Nukleosynthese
Nullgeodäte
O
Öffnung
Olbers-Paradoxon
O-Prozess
Oppenheimer-Volkoff- Grenze
optische Tiefe
Orthogonalität
P
Paradoxon
Paralleluniversum
Parsec
partielle Ableitung
Pauli-Prinzip
Penrose-Diagramm
Penrose-Prozess
Pentaquark
Periastron
Perigäum
Perihel
periodisch
persistent
Petrov-Klassifikation
PG1159-Sterne
Phantom-Energie
Photon
Photonenorbit
Photosphäre
Pion
Pioneer-Anomalie
Planck-Ära
Planckscher Strahler
Planck-Skala
Planet
Planetarische Nebel
Poincarégruppe
Poincaré- Transformation
Polytrop
Population
Post-Newtonsche Approximation
Poynting-Fluss
pp-Kette
p-Prozess
Prandtl-Zahl
primordiale Schwarze Löcher
Prinzip minimaler gravitativer Kopplung
Protostern
Pseudo-Newtonsche Gravitation
Pulsar
Pulsierendes Universum
Pyknonukleare Reaktionen
Q
QPO
Quant
Quantenchromodynamik
Quantenelektrodynamik
Quantenfeldtheorie
Quantengravitation
Quantenkosmologie
Quantenschaum
Quantensprung
Quantentheorie
Quantenvakuum
Quantenzahlen
Quark-Ära
Quark-Gluonen- Plasma
Quarks
Quarkstern
Quasar
quasi-periodisch
Quasi-periodische Oszillationen
Quelle
Quintessenz
R
Radioaktivität
Radiogalaxie
Radion
Randall-Sundrum- Modelle
Randverdunklung
Raumzeit
Rayleigh-Jeans- Strahlungsformel
Ray Tracing
Reichweite
Reionisation
Reissner-Nordstrøm- de-Sitter- Lösung
Reissner-Nordstrøm- Lösung
Rekombination
relativistisch
Relativitätsprinzip
Relativitätstheorie
Renormierung
Reverberation Mapping
Reynolds-Zahl
RGB-Bild
Ricci-Tensor
Riemann-Tensor
Ringsingularität
Robertson-Walker- Metrik
Robinson-Theorem
Roche-Volumen
Röntgendoppelstern
Roter Riese
Roter Zwerg
Rotverschiebung
Rotverschiebungsfaktor
r-Prozess
RRAT
RR Lyrae-Sterne
Ruhesystem
S
Schallgeschwindigkeit
scheinbare Größe
Schleifen- Quantengravitation
Schwache Wechselwirkung
Schwarzer Körper
Schwarzer Zwerg
Schwarzes Loch
Schwarzschild-de-Sitter- Lösung
Schwarzschild-Lösung
Schwarzschild-Radius
Schwerkraft
Seltsamer Stern
Seltsamkeit
Seyfert-Galaxie
Singularität
skalares Boson
SNR
Soft Gamma-Ray Repeater
Sonne
Spektraltyp
Spezialität
Spezielle Relativitätstheorie
Spin
Spin-Netzwerk
Spinschaum
Spin-Statistik-Theorem
Spintessenz
s-Prozess
Standardkerzen
Standardmodell
Standardscheibe
Starke Wechselwirkung
Statisches Universum
Staubtorus
Stefan-Boltzmann- Gesetz
stellare Schwarze Löcher
Stern
Sternentstehung
Strange Star
Stringtheorien
Subraum
Supergravitation
supermassereiche Schwarze Löcher
Supernova
Supernovaremnant
Superstringtheorie
Supersymmetrie
Symbiotische Sterne
Symmetrie
Symmetriebrechung
Symmetriegruppe
Synchrotron
Synchrotronstrahlung
Synchrozyklotron
T
Tachyon
Tagbogen
Tardyon
Teilchen
Teilchenbeschleuniger
Tensorboson
Tensoren
Tetraden
Tetraquark
TeVeS
Thermodynamik
thermonukleare Fusion
Tiefenfeldbeobachtung
Tierkreis
TNO
Topologie
topologische Defekte
Torsionstensor
Trägheit
transient
Transit
Triple-Alpha-Prozess
T Tauri Stern
Tunneleffekt
U
ULIRG
ULX
Unifikation
Unitarität
Universum
Unruh-Effekt
Urknall
V
Vakuum
Vakuumstern
Vektorboson
Velapulsar
Veränderliche
Vereinheitlichung
Viele-Welten- Theorie
VLA
VLBI
VLT
VLTI
Voids
VSOP
W
Walker-Penrose- Theorem
Weakonen
Weinberg-Winkel
Weiße Löcher
Weißer Zwerg
Wellenfunktion
Weylsches Postulat
Weyl-Tensor
Wheeler-DeWitt- Gleichung
Wiensche Strahlungsformel
Wilson-Loop
WIMP
Wolf-Rayet-Stern
w-Parameter
Wurmlöcher
X
X-Bosonen
X-Kraft
X-ray burster
Y
Y-Bosonen
Yerkes- Leuchtkraftklassen
YSO
Yukawa-Potential
Z
ZAMO
Zeit
Zeitdilatation
Zodiakallicht
Zustandsgleichung
Zustandsgröße
Zwerge
Zwergplanet
Zwillingsparadoxon
Zyklisches Universum
Zyklotron