start


Start
Web-Artikel
Lexikon
Vorträge
Ausbildung
Essays
Rhetorik
Links
Autor
Kontakt

Lexikon - P 4 Lexikon - P 6

Astro-Lexikon P 5


pdf PP
pdf A-ZA-Z

Pioneer-Anomalie

Die Pioneer-Anomalie ist ein bisher nicht verstandener Beschleunigungseffekt der US-amerikanischen Raumsonden Pioneer 10 und Pioneer 11.

Das Pioneer-Forschungsprogramm

Pioneer 10 kurz vor dem Start Die Pioneer-Missionen der NASA zielten auf eine Erforschung des interplanetaren Raumes und insbesondere der Planeten im Sonnensystem. Pioneer 1 startete bereits am 11. Oktober 1958. Die Sonden Pioneer 10 und 11 wurden am 03. März 1972 bzw. am 05. April 1973 gestartet und sollten die Gasplaneten Jupiter und Saturn erforschen. Pioneer 10 (siehe Foto links; Credit: NASA/Ames Research Center) durchquerte als erste Raumsonde überhaupt den Planetoidengürtel zwischen Mars und Jupiter. Sie passierte Jupiter, den größten Planeten im Sonnensystem, am 03. Dezember 1973 in nur 130000 km Entfernung; Pioneer 11 erreichte am 01. September 1979 auch Saturn. Nach diesen Rendezvous mit den Gasplaneten verließen die Sonden durch ein Swing-by-Manöver am Gasgiganten Jupiter das Sonnensystem in entgegengesetzten Richtungen: Pioneer 10 wird in etwa zwei Millionen Jahren den Stern Aldebaran, ein Roter Riese und Hauptstern im Sternbild Stier, erreichen; Pioneer 11 steuert auf das Sternbild Adler zu und wird in etwa vier Millionen Jahren beim nächsten Stern ankommen. Die Kommunikation mit Pioneer 11 riss am 30. September 1995 ab. Pioneer 10 bewegte sich mit etwa 40000 km/h im Jahr 2001 von Erde weg. Diese Sonde funkte am 23. Januar 2003 das letzte Signal - derzeit dürfte Pioneer 10 etwa 90 Astronomische Einheiten entfernt sein. Kommunikationsversuche am 07. Februar 2003 und 03.-05. März 2006 schlugen fehl, vermutlich weil die Sendeleistung der Sonde nun zu schwach ist. An Bord von Pioneer 10 befindet sich auch die berühmte Goldplatte, in die Gestalten einer nackten Frau und eines nackten Mannes, das Sonnensystem, die Ziffer 8 als Binärzahl, der Hyperfeinstrukturübergang von neutralem Wasserstoff (21cm-Linie), die Silhouette der Sonde und die Position der Sonne relativ zu 14 Pulsaren und des galaktischen Zentrums eingraviert sind.

Kommunikation mit den Pioneer-Sonden

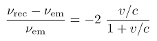
Zusammenhang zwischen Sondengeschwindigkeit, Sende- und Empfangsfrequenz Die interplanetare Kommunikation mit Raumsonden ist ein äußerst raffiniertes Verfahren: Im Fall der Pioneer-Sonden wurde von der Erde aus ein Radiosignal mit der Frequenz νem zu den Sonden gesendet. Es handelte sich um ein S-Band-Signal der Frequenz 2.11 GHz. Die Sonden bewegen sich relativ zur Erde mit einer Geschwindigkeit, so dass durch den speziell relativistischen Doppler-Effekt eine Frequenzverschiebung stattfindet. Genauer gesagt handelt es sich wegen der zunehmenden Entfernung der Sonden von der Erde um eine Doppler-Rotverschiebung (zweite Gleichung im Eintrag Doppler-Effekt), so dass die Sonde eine kleinere Frequenz des von der Erde kommenden Radiosignals misst. Die Sonde schickt mit der gleichen Radiofrequenz, mit der sie das irdische Signal empfängt, ein Signal zurück zur Erde. Dieses Sondensignal wird nun wiederum Doppler-rotverschoben, so dass bei der Erde eine neue Empfangsfrequenz νrec gemessen wird. Rechnerisch folgt diese Frequenz durch zweimaliges Anwenden der Doppler-Formel. Eliminiert man in diesen Gleichungen Sendefrequenz der Sonde durch Einsetzen, so resultiert eine Relation zwischen νem und νrec. Man schreibt diese Relation so um, dass man eine (dimensionslose) relative Frequenzänderung erhält (siehe Gleichung oben rechts, mit Vakuumlichtgeschwindigkeit c). Auf der Erde sind beide Frequenzen νem und νrec bekannt, so dass aus dieser Gleichung sofort die Sondengeschwindigkeit v folgt. Das Pioneer-Team hat über Jahrzehnte diese Dopplergeschwindigkeit der Sonden gemessen. Unabhängig davon wurde die Signallaufzeit Δt gemessen, die nach 2D = c Δt die Entfernung D der Sonden liefert.

Was ist so ungewöhnlich?

Schon 1979 wurde eine anomale Blauverschiebung des Doppler-Signals gemessen. Mit anderen Worten unterliegen die Pioneer-Sonden einer unerklärlichen Beschleunigung in Richtung Sonne. Eine Analyse der Messdaten zwischen 1987 und 1998 ergab eine konstante Zunahme dieser Blauverschiebung um etwa 6 × 10-9 Hz/s. Rechnet man dies auf Distanzen um, so folgt, dass sich die Sonden nach 15 Jahren um etwa eine Million Kilometer von der vorhergesagten Position entfernt befinden! Die Blauverschiebungsrate kann in eine konstante Abbremsung (negative Beschleunigung) umgerechnet werden, und man erhält etwa -8.74 × 10-8 cm/s2 (Anderson et al. 1998; 2002). Das hört sich nach einem sehr kleinen Wert an, aber diese Zahl bereitet den Physikern großes Kopfzerbrechen.

Messfehler oder neue Physik?

Woher kommt die Abbremsung der Pioneer-Sonden? Kann man allen Messdaten trauen oder beweist die Pioneer-Anomalie einen neuen, physikalischen Effekt? Nach bekannt werden der rätselhaften Abbremsung wurde eine Fülle von wissenschaftlichen Artikeln publiziert, die die Anomalie zu erklären versuchten. Im Folgenden werden mögliche Ursachen vorgestellt, von denen in der Literatur fast alle als Erklärung ausgeschlossen werden:

Ursachen bei der Sonde

  • Es kann sich nicht um den zufälligen Mess- oder Baufehler bei einer Sonde handeln, weil diese anomale Beschleunigung sogar von beiden Sonden unabhängig bestätigt wurde (Abweichung von 3%).
  • Ein Rückstoß der Sonden durch Senden des Radiosignals ist viel kleiner als die anomale Beschleunigung.
  • Ebenso ist eine Beschleunigung durch Emission von Wärmestrahlung ausgeschlossen, weil sie wegen des Leistungsabfalls der Sonde zeitlich variieren würde, aber die anomale Beschleunigung konstant ist.
  • Interplanetare Magnetfelder können nicht die möglicherweise elektrisch aufgeladenen Sonden so sehr beeinflusst haben.
  • Die radioaktive Energiequelle der Sonde ist Plutonium (Pu-238), ein Alpha-Strahler, der Helium erzeugt. Das Ausdampfen des Heliums führt zwar zu einem Rückstoss, kann aber als Ursache aufgrund der Kleinheit des Effekts und der speziellen Anordnung der thermoelektrischen Generatoren ausgeschlossen werden. Falls Variationszeitskalen bei der Anomalie auftreten würden, die vergleichbar mit der Halbwertszeit von Pu-238 (87.74 Jahre) sind, wäre das ein Hinweis auf die Energiequelle als Ursache (Nieto 2007).
  • Die Sonden verlieren Treibstoff und werden dadurch beschleunigt - auch das ist ein zu kleiner Effekt verglichen mit der Anomalie.

Ursachen bei der Auswertung

  • Ein Fehler in der Software zur Auswertung der Pioneer-Daten kann es auch nicht sein, weil drei verschiedene Programmpakete zum gleichen Ergebnis kamen.
  • Unsicherheiten in Parametern zur Bahnberechnung gibt es zwar, aber sie erklären nur Tages- und Jahresschwankungen der Pioneer-Daten - jedoch nicht die Jahrzehnte andauernde konstante Beschleunigung.
  • Probleme bei der Umrechnung in den verschiedenen Koordinatensystemen werden ebenfalls ausgeschlossen.

Ursachen durch bekannte Physik

  • Die Radiosignale werden durch interplanetares Gas und Plasma beeinflusst, aber auch dieser Effekt ist deutlich kleiner als die Anomalie.
  • Die Gravitationswirkungen der Körper im Sonnensystem, wie Sonne, Planeten, Monde, Kometen und Planetoiden wurden in aufwendigen numerischen Simulationen berücksichtigt und ergaben keine Erkenntnisse über den Ursprung der Anomalie.
  • Die relativistische Zeitdilatation (Shapiro-Effekt) der Radiosignale wurde berechnet und kann als Fehlerquelle ausgeschlossen werden.
  • Interplanetarer und interstellarer Staub bremst tatsächlich die Sonden in ihrer Bewegung in die Tiefen des Alls ab. Allerdings zeigen Berechnungen, dass dieses Material etwa 300000-mal dichter sein müsste, um die Anomalie erklären zu können. Das widerspricht Dichtemessungen, die z.B. mit der Sonde Ulysses durchgeführt wurden.
  • Der Sonnenwind beschleunigt die Sonden nach außen, würde also der Anomalie entgegenwirken. Der solare Strahlungsdruck nimmt außerdem jenseits von 15 Astronomischen Einheiten stark ab. Auch dieser Einfluss wird ausgeschlossen.
  • Die Rotation von Sender und Empfänger hat Einfluss auf die Doppler-Verschiebung der Radiosignale (Anderson & Mashhoon 2003). Allerdings ist auch diese so genannte Spin-Rotations-Kopplung viel zu klein.
  • Die Bewegung der Sonne senkrecht zur Ekliptik erzeugt zwar auch einen Effekt, der jedoch zu klein ist, als dass er Ursache der anomalen Beschleunigung sein könnte.
  • Die Expansion des Universum klingt nach einer reizvollen Erklärung für die Anomalie ist aber vernachlässigbar, wie schon Arbeiten von Einstein gezeigt haben (Einstein & Straus 1945).

Ursachen durch neue Physik

  • Ein Vorschlag nimmt Bezug auf die kosmologische Konstante, die nach der aktuellen Datenlage der experimentellen Kosmologie die favorisierte Form der Dunkle Energie im Kosmos ist. Laurent Nottale hat vorgeschlagen, dass die kosmologische Konstante zu einer Trägheitskraft führt, die die Pioneer-Sonden und andere freie Testkörper (aber nicht die Planeten!) zusätzlich beschleunige (gr-qc/0307042). Diese Zusatzbeschleunigung sei gerade die beobachtete, anomale Pioneer-Beschleunigung. Um den beobachteten Zahlenwert vollständig erklären zu können, sind allerdings weitere Effekte erforderlich.
  • Höherdimensionale Branenmodelle würden die Gravitationsgesetze modifizieren. Eine entsprechende Modifikation bei großen Abständen, wie im DGP-Szenario, könnte neue Einblicke in das Pioneer-Rätsel liefern.
  • Milgroms MOND-Theorie erklärt recht gut die Dynamik innerhalb von Spiralgalaxien und Galaxienhaufen, ohne dass die Existenz Dunkler Materie gefordert werden müsste. Es ist ein komischer Zufall, dass die empirisch bestimmte Beschleunigungskonstante a0 die gleiche Größenordnung hat, wie die konstante Beschleunigung bei der Pioneer-Anomalie. Es ist unklar, ob MOND das Pioneer-Problem löst.
  • Viele exotische und spekulative Vorschläge zur Lösung des Pioneer-Problems wurden gemacht, die alternative Gravitationstheorien involvieren, wie sie unter dem Eintrag Gravitation vorgestellt werden. Dennoch ist nicht klar, inwiefern das überzeugende Lösungen darstellen. Klare Hinweise durch weitere Beobachtungen müssen diese Alternativen erst festigen.

Bislang gibt es keine überzeugende Erklärung für die Pioneer-Anomalie. Sehr wahrscheinlich ist eine physikalische Ursache.

Deep Space Gravity Probe

Die Rätsel um die Pioneer-Anomalie haben zu dem Plan geführt, eine neue, speziell zur Untersuchung der Anomalie designte Mission zu starten. Das ESA-Missionsszenario Deep Space Gravity Probe soll Klärung verschaffen. Dies gehört jedoch zum Cosmic Vision Program der ESA, das erst Starttermine für 2015 - 2025 vorsieht. Eventuell geben auch andere, laufende Missionen wie die Pluto-Mission New Horizons Aufschluss über das Pionier-Problem.

Literatur, Datenquellen & Weblinks

  • Dittus, H. & Lämmerzahl, C.: Die Pioneer-Anomalie, Physik Journal 5, 25, 2006
  • Anderson, J.D. et al.: Indication, from Pioneer 10/11, Galileo, and Ulysses Data, of an Apparent Anomalous, Weak, Long-Range Acceleration, Phys. Rev. Lett. 81, 2858, 1998
  • Anderson, J.D. et al.: Study of the anomalous acceleration of Pioneer 10 and 11, Phys. Rev. D 65, 2004, 2002
  • Nieto, M.M.: The Quest to understand the Pioneer Anomaly, 2007, Preprint: gr-qc/0702017
  • Pioneer Website, NASA
Planck-Ära

Die Planck-Ära kennzeichnet die erste Phase in der Entwicklung des Universums nach dem Urknall.

Was passierte in der Planck-Epoche?

Es gab nach gegenwärtiger Meinung der Wissenschaftler in dieser Phase nur eine fundamentale Kraft, die Urkraft. Die vier fundamentalen Kräfte der Physik, die Gravitation, die elektromagnetische, die schwache und die starke Wechselwirkung waren ununterscheidbar. Dies bezeichnet man auch als Unifikation der Kräfte. Die Planck-Ära leitet ihren Namen von der Planck-Skala ab, denn das Milieu war bestimmt durch die Planck-Größen: Das Universum war so 'alt' wie die Planck-Zeit, also etwa 10-43 Sekunden und hatte eine Planck-Temperatur von 1032 Kelvin oder 1019 GeV.

keine Physik in der Planck-Ära

Die physikalische Beschreibung versagt in dieser Phase. Es ist nicht gelungen, eine physikalische Theorie zu entwickeln, die die Physik der Planck-Ära fassen kann. Als Kandidat werden die Stringtheorien gehandelt. Die M-Theorie ist eine Hypothese, die man aus der Verwandtschaft unterschiedlicher Stringtheorien und der Supergravitation ableitet. Vielleicht bietet sie die Werkzeuge, um der Planck-Ära Herr zu werden. Im Kern besteht die Herausforderung darin, die Gravitation mit Quanteneffekten beschreiben zu können. An einer solchen Quantengravitation wird aktuell geforscht, doch sind die Physiker noch weit davon entfernt verlässliche Aussagen machen zu können. In der Loop-Quantengravitation, einer weiteren Variante einer Quantengravitation, versuchen die Forscher die Allgemeine Relativitätstheorie mit der Quantenmechanik zu verknüpfen. Dabei werden allerdings die anderen Quantenfeldtheorien, wie schwache und starke Kraft zunächst außen vor gelassen.

Die Weltformel

Eine Theorie, die die Urkraft zu beschreiben vermag, wird weithin als Vereinheitlichte Theorie (engl. Unified Theory, UT) oder 'Theorie von Allem' (engl. Theory Of Everything, TOE) bezeichnet. Populärwissenschaftlich wurde auch der Begriff von der Weltformel geprägt. Es bestehen allerdings berechtigte Zweifel daran, dass man aus einer solchen Weltformel unmittelbar den Facettenreichtum der Natur und beispielsweise die Entstehung von Leben ableiten kann.
In der Kosmologie wird allgemein angenommen, dass sich an die Planck-Ära die GUT-Ära bzw. Baryogenese nach einer spontanen Symmetriebrechung anschloss. Dabei spaltete sich die Urkraft in die Gravitation und die X-Kraft auf. Dieses Phänomen kennzeichnet den ersten Phasenübergang im Universum, der sich auf 10-43 Sekunden nach dem Urknall datieren lässt.

Planckscher Strahler

Der Plancksche Strahler ist vermutlich das wichtigste Strahlungsgesetz in der Astronomie. Das liegt daran, weil sehr viele Quellen elektromagnetischer Strahlung im Universum durch ein solches Strahlungsgesetz beschrieben werden. Es handelt sich dabei um Wärmestrahlung, d.h. die elektromagnetische Emission wird von elektrischen Ladungen (in der Regel Elektronen, Protonen, Ionen) abgegeben, die sich aufgrund von Wärme bewegen.

Terminologie

Plancksche Strahler werden auch als Hohlraumstrahler, Schwarze Strahler oder Schwarze Körper (engl. black body, BB) bezeichnet. Der etwas allgemeine Name Wärmestrahler oder thermischer Strahler ist ebenfalls verbreitet.

Beispiele

Beispiele für Planck-Strahler aus dem Alltag sind eine Kerzenflamme, unsere Haut, ein Eiswürfel, eine Tasse Kaffee - eigentlich strahlt alles Wärmestrahlung ab, weil jeder Gegenstand eine endliche Temperatur hat. Einen Zustand endlicher Temperatur verlangt gerade der dritte Hauptsatz der Thermodynamik. Bei welcher Strahlungsenergie (Farbe) die höchste Strahlungsintensität liegt, bestimmt gerade die Temperatur des Strahlers.
Die kosmischen Planck-Strahler sind beispielsweise die kosmische Hintergrundstrahlung, fein verteilter, interplanetar Staub im Sonnensystem (siehe auch Zodiakallicht), das relativ kühle interstellare Medium in der Milchstraße, heißes intergalaktisches Gas, das zwischen den Galaxien in Galaxienhaufen zu finden ist, natürlich auch die Oberflächen von Sternen (siehe Effektivtemperatur und Spektraltyp) oder auch die Standardscheiben, die um diverse kosmische Objekte (Protosterne, Weiße Zwerge, Schwarze Löcher) rotieren.

Geschichtliches

Der Plancksche Strahler wurde nach dem deutschen Physiker Max Planck (1858 - 1947) benannt. Er ist ein Pionier der Quantentheorie, weil er die Quanten der Wärmestrahlung im Jahr 1900 entdeckt hat (Nobelpreis für Physik 1918). Erst später wurde klar, dass Licht und elektromagnetische Strahlung generell quantisiert sind (Einsteins Lichtquantenhypothese 1905, siehe auch Photon).

Das Planck-Spektrum

Ein Planck-Strahler gibt Wärmestrahlung als kontinuierliches Spektrum über einen theoretisch beliebig großen Spektralbereich ab. Die Plancksche Strahlungsverteilung ist jedoch nicht konstant über alle Wellenlängen oder extrem schmal wie eine Spektrallinie: es ist eine recht breite Verteilung, die ein Maximum bei einer bestimmten Wellenlänge der Strahlung (Strahlungsfrequenz, -energie) annimmt. Die Position dieses Maximums und das Profil der Verteilung diktiert einzig die Temperatur als wichtigster Parameter eines Planck-Strahlers.
Die Gestalt einer Planckschen Strahlungsverteilung in Abhängigkeit von der Temperatur zeigt die folgende Abbildung:

Plancksche Strahlungsverteilung in Abhängigkeit der Wellenlänge für verschiedene Temperaturen

Dabei entsprechen 0 Kelvin gleich -273.16° Celsius, so sind z.B. 1000 Kelvin gleich 726.84° Celsius. In der Horizontalen ist die Wellenlänge der Strahlung in Mikrometern (10-6 Metern) angegeben. Die Größe in der Vertikalen heißt spektrale Strahlungsdichte und ist ein Maß für die Strahlungsintensität des Planckschen Strahlers. Wie man in den Beispielen gut erkennen kann, verschiebt sich das Maximum der Verteilung zu kleineren Wellenlängen, wenn die Temperatur des Strahlers anwächst. Deshalb kann ein besonders heißer Körper auch optische Planck-Strahlung abgeben. Der linke Rand im Diagramm entspricht gerade 0.5 μm = 500 nm, also grünem Licht. Der rechte Rand ist der Bereich der Infrarotstrahlung.

Wo liegt das Strahlungsmaximum?

Wiensches Verschiebungsgesetz in Anwendung auf Sterne mit gegebener Effektivtemperatur Das Maximum der Planckschen Strahlungsverteilung kann mit dem Wienschen Verschiebungsgesetz berechnet werden (siehe Gleichung rechts, nachzurechnen mittels Kurvendiskussion der Strahlungsformel unten). Dieser Zusammenhang wurde 1893 von dem deutschen Physiker Wilhelm Karl Werner Wien (1864 - 1928) gefunden. Einsetzen der Temperatur liefert die Wellenlänge am Strahlungsmaximum. Dieses Maximum bestimmt, bei welcher Strahlungsenergie (=Farbe) der Plancksche Strahler die höchste Strahlungsintensität erreicht. Einfacher gesagt: Die Temperatur bestimmt, wie uns ein Körper erscheint und welche Strahlungsdetektoren man verwenden sollte, um die thermische Strahlung zu messen.
Unsere Haut leuchtet deshalb bei etwa 10 μm im Nahinfrarot. Die einige hundert Grad heiße Glut im Feuer erscheint uns daher rot. Die Sonne mit etwa 6000 Grad Oberflächentemperatur sehen wir als gelben Stern. Ein an der Oberfläche extrem heißer Weißer Zwerg erscheint blau-weiß.

Die Strahlungsformel

Für diejenigen, die es ganz genau wissen wollen, wird im Folgenden die Plancksche Strahlungsformel vorgestellt, um die Planck-Spektren berechnen zu können. Dabei wird vereinfachend Isotropie der Strahlung vorausgesetzt, was mit einem Faktor 4π in den Strahlungsformeln beiträgt. Was bei der Berechnung Schwierigkeiten bereiten kann, ist die korrekte Umrechnung, je nachdem ob man die Planck-Verteilung als Funktion der Wellenlänge, der Strahlungsfrequenz oder der Strahlungsenergie ausdrückt.
Generell berechnet sich die totale Energiedichte der Strahlung u = U/V aus einem Integral über die spektrale Energiedichte uν. Je nachdem, ob man über Wellenlänge λ, Frequenz ν bzw. ω = 2πν oder Energie E integriert, entscheidet man sich für eines der folgenden vier Integrale (große Version):

Plancksche Strahlungsformel für Wellenlänge, Frequenz und Energie

Hier muss man auf die Vorfaktoren aufpassen. Substitution der Wellenlänge durch eine Frequenz involviert andere Vorfaktoren, damit u bzw. alles unter dem Integral immer die Dimension Energie pro Volumen haben. Als Rechenhilfe zeigt die letzte Zeile die Umrechnungen, die sich aus den Substitutionen im Integral ergeben.

Stefan-Boltzmann-Gesetz

Das oben gezeigte Integral für die gesamte Energiedichte u lässt sich explizit ausführen (Verwendung von Gamma- und Zeta-Funktion) und führt auf das berühmte Stefan-Boltzmann-Gesetz oder T4-Gesetz. Es besagt, dass die Energiedichte eines Photonengases (ebenso wie dessen Druck und innere Energie) proportional zur vierten Potenz in der Temperatur ist. Die Proportionalitätskonstante heißt Stefan-Boltzmann-Konstante mit dem Zahlenwert σ = 5.67 × 10-8 W m-2 K-4. Diese Relation wurde 1879 empirisch von dem österreichischen Physiker Josef Stefan (1835 - 1893) gefunden und fünf Jahre später von seinem Landsmann Ludwig Boltzmann (1844 - 1906) theoretisch hergeleitet.
Dass der Druck eines Photonengases (radiativer Druck) so stark mit der Temperatur ansteigt, ist bedeutsam für die Stabilität von Sternen in der Astrophysik (siehe auch hydrostatisches Gleichgewicht).

Rayleigh-Jeans- und Wien-Ast

Es ist auch interessant sich zu überlegen, was mit der Planckschen Strahlungsverteilung im Grenzwert großer Wellenlängen (kleiner Frequenzen) bzw. kleiner Wellenlängen (großer Frequenzen) geschieht. Mit den Reihenentwicklungen der Exponentialfunktion folgen dann die beiden wichtigen Grenzfälle, die bei kleinen Frequenzen Rayleigh-Jeans-Ast und bei großen Frequenzen Wien-Ast heißen:

Rayleigh- und Wien-Ast

Rayleigh-Jeans-Formel und Wiensche Strahlungsformel sind demnach verschiedene Limites der Planckschen Strahlungsformel. Historisch war gerade das Rayleigh-Jeans-Gesetz (erste Gleichung) der Ausgangspunkt für Max Plancks bahnbrechende Entdeckung. Die Gleichung macht Probleme bei hohen Frequenzen, weil sie dann gegen unendlich strebt. Dieses Verhalten bezeichnen Physiker als Ultraviolettkatastrophe oder Ultraviolettdivergenz.
Plancks Quantisierungsansatz der Wärmestrahlung bereinigte diese UV-Divergenz. Anhand der zweiten Gleichung für den Wien-Ast sieht man wieso: der Exponentialterm dominiert bei großen Frequenzen und 'dämpft' damit die Divergenz ab.
Die Forderung nach Quantisierung läutete eine Vielzahl wichtiger Entdeckungen und Anwendungen in der modernen Physik des 20. Jahrhunderts ein, von der wir heute noch profitieren.

Plancksche Strahlungsverteilung in Abhängigkeit der Strahlungsenergie für verschiedene Temperaturen

Hochenergetische Wärmestrahlung

Abschließend betrachten wir noch ein Beispiel, das demonstriert, dass Wärmestrahlung nicht immer Infrarotstrahlung sein muss. Dazu verwenden wir die Gleichung der spektralen Energiedichte in Abhängigkeit von der Energie und stellen die Verteilung für verschiedene recht hohe Temperaturen von tausend bis eine Million Kelvin dar (siehe Abbildung oben).
Wie beim Strahlungsmaximum besprochen, bestimmt die Temperatur die Position des Maximums. Ist es denkbar, dass ein Körper so heiß ist, dass seine Plancksche Strahlungsverteilung vor allem im hochenergetischen Röntgenbereich emittiert? Ja, das zeigt uns ein Blick auf die Energieachse im Diagramm: einige keV sind gerade typische Energien der Röntgenstrahlung. Solche Planck-Strahler sind wichtig in der Röntgenastronomie. So ist das intergalaktische Medium (IGM) in Galaxienhaufen so heiß, dass seine thermische Emission typischerweise mit Röntgenteleskopen beobachtet wird.

Planck-Skala

Herleitung der Planck-Masse Eine fundamentale Skala in der Physik, die den Gültigkeitsbereich von Quantentheorie und Allgemeiner Relativitätstheorie absteckt und den Bereich neuer physikalischer Theorien wie der Quantengravitation markiert.

Herleitung der Planck-Skala

Der deutsche Physiker und 'Vater der Quantentheorie' Max Planck (1858 - 1947) wies bereits darauf hin, dass eine kritische Masse existiere, ab der eine Beschreibung mit Relativitätstheorie und Quantentheorie versagen müsse. Seither nennt man diese kritische Masse die Planck-Masse (oder äquivalent Planck-Energie). Formal folgt sie aus der Gleichsetzung der Gleichungen für den Gravitationsradius und der Compton-Wellenlänge (siehe rechts). Anschaulich wird bei diesem kritischen Wert die Gravitation so stark wie die starke Wechselwirkung, und es werden Quanteneffekte bei der Gravitation wichtig. Allgemeine Relativitätstheorie und Quantentheorie sind für sich genommen ab diesen Energien nicht mehr ein adäquates Konzept zur Beschreibung der Vorgänge und eine Quantengravitation - eine quantisierte Gravitationstheorie - muss angewendet werden.

Planck-Temperatur, -Länge, -Zeit, -Dichte

Zur Planck-Masse von 1.2 × 1019 GeV lassen sich entsprechende Werte für andere physikalische Größen ableiten:

  • Planck-Temperatur: 1.4 × 1032 K (verwende Gleichung E = kT)
  • Planck-Länge: 1.6 × 10-35 m
  • Planck-Zeit: 5.4 × 10-44 s (Der Zeit, die das Licht für das Zurücklegen der Planck-Länge benötigt.)
  • Planck-Dichte: 1.3 × 1093 g/cm-3 (Planck-Masse in einer Kugel mit Radius der Planck-Länge).

Sub-Planck-Physik vs. Super-Planck-Physik

Anmerkung: Es gibt bisweilen unterschiedliche Konventionen, die h oder h/2π verwenden ('h quer'), je nach Einheitensystem (SI, cgs, Heaviside).
Werden Planck-Masse, Planck-Dichte und Planck-Temperatur überschritten bzw. Planck-Länge und Planck-Zeit unterschritten beginnt die Domäne der Quantengravitation. Der Planck-Wert teilt die Welt in Sub-Planck-Physik und Super-Planck-Physik.

Hoffnung auf eine reduzierte Planck-Skala?

Die Stringtheorien postulieren die Existenz weiterer Dimensionen, den so genannten Extradimensionen, um das Hierarchieproblem der vier fundamentalen Wechselwirkungen zu lösen. Die Extradimensionen sind - sollten sie tatsächlich existieren - kompaktifiziert und treten auf großen Raumskalen daher nicht in Erscheinung. Die Gravitation breite sich jedoch nach einer Idee in allen Dimensionen aus: den gewöhnlichen, nicht-kompaktifizierten und den kompaktifizierten. Dabei zeigt sich, dass zusätzliche Dimensionen die Planck-Masse herabsetzen. Dies nennt man reduzierte Planck-Skala.
Eine aufregende Möglichkeit besteht darin, dass man diese reduzierte Skala in modernen Teilchenbeschleunigern überprüfen könnte - und vielleicht sogar die Anzahl der Extradimensionen zählen könnte. Die klassische Planck-Masse bei den üblichen vier Dimensionen (siehe auch Raumzeit) liegt in oben genannten gigantischen Energiebereichen von 1019 Protonenmassen. Schon bei zehn Extradimensionen reduziert sich die Planck-Skala bis auf etwa 1 TeV (Stichwort: TeV quantum gravity). Die modernsten Teilchenbeschleuniger wie der Tevatron oder der noch im Bau befindliche LHC (Large Hadron Collider, Start 2007) am CERN stoßen in dieses Energieregime vor, so dass hier die Extradimensionen in Erscheinung treten könnten.

Produktion Schwarzer Mini-Löcher?

Es ist noch dramatischer: Superbeschleuniger wie der LHC könnten im Kollisionsereignis ein - für kosmische Verhältnisse kleines - Schwarzes Loch erzeugen! Diese Minilöcher sind um Größenordnungen kleiner als die primordialen Schwarzen Löcher und würden in Sekundenbruchteilen (einige hundert fm/c, also etwa 10-22 Sekunden) durch Emission von Hawking-Strahlung zerfallen. Wegen dieser kurzen Lebensdauer wären sie nicht direkt, sondern nur indirekt nachweisbar. So nehmen die Hochenergiephysiker an, dass die Minilöcher ein recht kugelsymmetrisches Ereignis im Detektor produzieren würden.
Das klingt schon faszinierend und wäre ein Fenster in aufregende, neue Physik. Natürlich müssen diese Erkenntnismöglichkeiten mit den Risiken abgewogen werden. Die Betriebssicherheit der Teilchenbeschleuniger hat immer Vorrang! Darüber sind sich natürlich die Experimentatoren im Klaren. Es steht eine Laborphysik mit Schwarzen Löchern in Aussicht, die erstmals die Detektion von Hawking-Strahlung ermöglichen, den Nachweis von Extradimensionen erbringen und eine neue Quantengravitation experimentell greifbar machen würde!

Planet

grch. planetos: Umherschweifender, Planet Das Wort Planet kommt aus dem Griechischen: planetos, 'Umherschweifender'. Ein Planet ist ein kugelförmiges Himmelsobjekt, in dessen Innern im Gegensatz zu einem Stern wie unserer Sonne keine thermonuklearen Fusionsprozesse ablaufen. Planeten kreisen um einen zentralen Stern und bewegen sich auf elliptischen oder kreisförmigen Bahnen. Aber Planeten sind keine Monde, denn Monde sind kleine Himmelskörper, die ihrerseits um einen Planeten kreisen.
Die Bewegungen dieser Massen im Sonnensystem können mit den Kepler-Gesetzen beschrieben werden. Sie folgen aus Rechnungen, die auf der Newtonsche Gravitation basieren.
Astronomen unterscheiden Gasplaneten von erdähnlichen Planeten mit fester Oberfläche. Sie unterscheiden weiterhin innere Planeten (innerhalb der Erdbahn: Merkur und Venus) von äußeren Planeten (außerhalb der Erdbahn: Mars, Jupiter, Saturn, Uranus, Neptun).

Die Vorgeschichte zum neuen Planetenbegriff

Im August 2006 trafen sich mehr als 2500 Astronomen in Prag zu einer Konferenz der Internationalen Astronomischen Union (International Astronomical Union, IAU). Im Zuge der immer besseren Beobachtungstechnologien wurden in den letzten Jahren viele neue Objekte im Sonnensystem jenseits der Bahn von Pluto entdeckt. Um nicht eine Fülle von Planeten im Sonnensystem zu haben, die aus einer sehr inhomogenen Gruppe bestehen, sahen sich die Astronomen gezwungen, den Planetenbegriff zu überdenken. Sie stimmten bei der IAU-Konferenz über neue Definitionen ab, die seither offiziell festlegen, was Planet ist und was nicht.

Definitionen: Planet

Ein Planet ist nach der neuen Definition seit August 2006 ein Himmelskörper, der...

  • ... um die Sonne kreist,
  • ... ein Gravitationsfeld hat, das stark genug ist, dass der Himmelskörper nahezu rund ist
  • ... und eine um seinen unmittelbaren Orbit freie Nachbarschaft hat.

Somit gibt es nun acht Planeten im Sonnensystem: Merkur, Venus, Erde, Mars, Jupiter, Saturn, Uranus und Neptun.

Definitionen: Zwergplanet

Weiterhin wurde eine zweite Objektklasse Zwergplanet definiert. Ein Zwergplanet...

  • ... kreist um die Sonne,
  • ... besitzt ein Gravitationsfeld, das stark genug ist, dass der Himmelskörper nahezu rund ist,
  • ... hat keine freie Nachbarschaft in der Nähe seines Orbits
  • ... und ist kein Satellit.

(Quelle: IAU-Website)

Der letzte Zusatz schließt die zahlreichen Monde im Sonnensystem von den Zwergplaneten aus. Daher gibt es drei Zwergplaneten: Ceres (ein ehemaliger Planetoid), Pluto (ein ehemaliger Planet) und 2003 UB313 (ein neu entdecktes Objekt jenseits der Plutobahn). Pluto wurde außerdem zum Prototypen einer neuen Kategorie gemacht: den Trans-Neptunischen Objekten (engl. trans-Neptunian objects, TNOs). Der unschöne Katalogname 2003 UB313 wurde bereits im September 2006 durch Eris ersetzt. Dieser Name wurde von den Entdeckern M.E. Brown, C.A. Trujillo und D. Rabinowitz vorgeschlagen, die Eris am 05. Januar 2005 entdeckten. Eris ist in der griechischen Mythologie die Göttin der Zwietracht - die Namensgebung darf sicherlich als ironische Anspielung auf den Streit um den Status von Pluto angesehen werden. Denn die 'Degradierung von Pluto' vom Planeten zum Zwergplaneten hatte heftige Diskussionen ausgelöst. Der Mond dieses Zwergplaneten Eris, der vorläufig S/2005 (2003 UB313) 1 hieß, heißt fortan offiziell Dysnomia. Die Fachbezeichnung des Monds lautet (136199) Eris I. Dysnomia ist in der Mythologie der Dämon der Gesetzlosigkeit und die Tochter von Eris.
Außerdem gibt es bereits eine Kandidatenliste für weitere Zwergplaneten, weil jenseits der Plutobahn weitere Himmelskörper des Sonnensystems entdeckt wurden, die in diese Kategorie passen. Eine diagrammatische Übersicht der mittleren Entfernungen im Sonnensystem befindet sich im Eintrag Astronomische Einheit.

extrasolare Planeten

Diese Planeten kreisen um Sterne außerhalb unseres Sonnensystems und sind äußerst schwer zu entdecken. Sie leuchten im Vergleich zu einem Stern sehr schwach und werden vom Hauptstern überstrahlt. Es gibt im Wesentlichen zwei Methoden, um sie aufzuspüren:
1) Eine indirekte Methode heißt Doppler-Whobbling-Methode (siehe auch Doppler-Effekt). Durch sie kann man feststellen, dass sich der Hauptstern minimal hin- und herbewegt, weil Planet/en und Hauptstern um den gemeinsamen Schwerpunkt kreisen. Mithilfe dieser Methode können Astronomen sogar Planetenmassen bestimmen. Aufgrund der Unempfindlichkeit der Methode muss der Planet schon sehr massereich sein und sich im Bereich von Jupitermassen bewegen, um detektiert zu werden.
2) Eine alternative Methode zur Entdeckung von Planeten heißt Bedeckungsmethode. Bei geeigneter Orientierung kann es passieren, dass ein Planet vor der Sternscheibe des Hauptgestirns vorüberzieht und für eine gewisse Zeit das Sternlicht verdunkelt. Dieses Phänomen heißt in der Fachsprache Transit. Mithilfe photometrischer Methoden messen Astronomen die Helligkeiten des Sterns und können aus der Lichtkurve auf den Planeten schließen.

Zahl der extrasolaren Planeten

Mittlerweile kennt man etwa 200 solcher extrasolaren Planeten.

pdf PP
pdf A-ZA-Z

nach oben

Lexikon - P 4 Lexikon - P 6


Start - Web-Artikel - Lexikon - Vorträge - Ausbildung - Essays - Rhetorik - Links - Autor - Kontakt
Andreas Müller © Andreas Müller, August 2007

Index

A
Abbremsparameter
ADAF
ADD-Szenario
ADM-Formalismus
AdS/CFT-Korrespondenz
AGB-Stern
Äquivalenzprinzip
Akkretion
Aktiver Galaktischer Kern
Alfvén-Geschwindigkeit
Alfvén-Zahl
Allgemeine Relativitätstheorie
Alpha-Zerfall
AMR
anthropisches Prinzip
Antigravitation
Antimaterie
Apastron
Apertursynthese
Aphel
Apogäum
Astronomie
Astronomische Einheit
asymptotisch flach
Auflösungsvermögen
Axion
AXP
B
Balbus-Hawley- Instabilität
Bardeen-Beobachter
Baryogenese
Baryonen
baryonische Materie
Bekenstein-Hawking- Entropie
Beobachter
Beta-Zerfall
Bezugssystem
Bianchi-Identitäten
Big Bang
Big Bounce
Big Crunch
Big Rip
Big Whimper
Birkhoff-Theorem
Blandford-Payne- Szenario
Blandford-Znajek- Mechanismus
Blauverschiebung
Blazar
BL Lac Objekt
Bogenminute
Bogensekunde
Bosonen
Bosonenstern
Boyer-Lindquist- Koordinaten
Bran
Brans-Dicke- Theorie
Brauner Zwerg
Brill-Wellen
Bulk
C
Carter-Konstante
Casimir-Effekt
Cauchy-Fläche
Cepheiden
Cerenkov-Strahlung
Chandrasekhar-Grenze
Chaplygin-Gas
Chiralität
Christoffel-Symbol
CMB
CNO-Zyklus
Comptonisierung
Cosmon
C-Prozess
D
Deep Fields
Derricks Theorem
de-Sitter- Kosmos
DGP-Szenario
Diffeomorphismus
differenzielle Rotation
Distanzmodul
Dodekaeder-Universum
Doppler-Effekt
Drei-Kelvin-Strahlung
Dunkle Energie
Dunkle Materie
E
Eddington-Finkelstein- Koordinaten
Eddington-Leuchtkraft
Effektivtemperatur
Eichtheorie
Einstein-Ring
Einstein-Rosen- Brücke
Einstein-Tensor
Eisenlinie
Eklipse
Ekliptik
Ekpyrotisches Modell
Elektromagnetismus
Elektronenvolt
elektroschwache Theorie
Elementarladung
Energie
Energiebedingungen
Energie-Impuls-Tensor
Entfernungsmodul
eos
eos-Parameter
Epizykel
Ereignishorizont
erg
Ergosphäre
eV
Extinktion
Extradimension
extragalaktisch
extrasolar
extraterrestrisch
Exzentrizität
F
Falschfarbenbild
Fanaroff-Riley- Klassifikation
Faraday-Rotation
Farbindex
Farbladung
Farbsupraleitung
Feldgleichungen
Fermi-Beschleunigung
Fermionen
Fermionenstern
Fernparallelismus
Feynman-Diagramm
FFO
FIDO
Flachheitsproblem
FLRW-Kosmologie
Fluchtgeschwindigkeit
Frame-Dragging
f(R)-Gravitation
Friedmann-Weltmodell
G
Galaktischer Schwarz-Loch-Kandidat
Galaxie
Gamma Ray Burst
Gamma-Zerfall
Geodäte
Geometrisierte Einheiten
Geometrodynamik
Gezeitenkräfte
Gezeitenradius
Gluonen
Grad
Granulation
Gravastern
Gravitation
Gravitationskollaps
Gravitationskühlung
Gravitationslinse
Gravitationsradius
Gravitations- rotverschiebung
Gravitationswellen
Gravitomagnetismus
Graviton
GRBR
Große Vereinheitlichte Theorien
Gruppe
GUT
GZK-cutoff
H
Hadronen
Hadronen-Ära
Hamilton-Jacobi- Formalismus
Harvard-Klassifikation
Hauptreihe
Hawking-Strahlung
Hawking-Temperatur
Helizität
Helligkeit
Herbig-Haro- Objekt
Hertzsprung-Russell- Diagramm
Hierarchieproblem
Higgs-Teilchen
Hilbert-Raum
Hintergrundmetrik
Hintergrundstrahlung
HLX
HMXB
Holostern
Homogenitätsproblem
Horizont
Horizontproblem
Horn-Universum
Hubble-Gesetz
Hubble-Klassifikation
Hubble-Konstante
Hydrodynamik
hydrostatisches Gleichgewicht
Hyperladung
Hypernova
Hyperonen
I
IC
Inertialsystem
Inflation
Inflaton
intergalaktisch
intermediate-mass black hole
interplanetar
interstellar
Isometrien
Isospin
Isotop
ITER
J
Jahreszeiten
Jansky
Jeans-Masse
Jet
K
Kaluza-Klein-Theorie
Kaup-Grenzmasse
Kaonen
Kataklysmische Veränderliche
Keine-Haare- Theorem
Kepler-Gesetze
Kerr-de-Sitter- Lösung
Kerr-Lösung
Kerr-Newman- de-Sitter- Lösung
Kerr-Newman- Lösung
Kerr-Schild- Koordinaten
Killing-Felder
Killing-Tensor
K-Korrektur
Koinzidenzproblem
Kollapsar
Kompaktes Objekt
Kompaktheit
Kompaktifizierung
Kompaneets-Gleichung
konforme Transformation
Kongruenz
Koordinatensingularität
Kopenhagener Deutung
Korona
Korrespondenzprinzip
Kosmische Strahlung
Kosmische Strings
Kosmographie
Kosmologie
Kosmologische Konstante
Kosmologisches Prinzip
kovariante Ableitung
Kovarianzprinzip
Kreisbeschleuniger
Kretschmann-Skalar
Krümmungstensor
Kruskal-Lösung
Kugelsternhaufen
L
Laborsystem
Ladung
Lagrange-Punkte
Lambda-Universum
Lapse-Funktion
Laserleitstern
Lense-Thirring- Effekt
Leptonen
Leptonen-Ära
Leptoquarks
Leuchtkraft
Leuchtkraftdistanz
Levi-Civita- Zusammenhang
Licht
Lichtjahr
Lichtkurve
Lie-Ableitung
Linearbeschleuniger
LINER
Linienelement
LIRG
LMXB
LNRF
Lokale Gruppe
Loop-Quantengravitation
Lorentz-Faktor
Lorentzgruppe
Lorentzinvarianz
Lorentz-Kontraktion
Lorentz-Transformation
Lundquist-Zahl
Luxon
M
Machscher Kegel
Machsches Prinzip
Machzahl
Magnetar
magnetische Rotationsinstabilität
Magnetohydrodynamik
Magnitude
marginal gebundene Bahn
marginal stabile Bahn
Markariangalaxie
Maxwell-Tensor
Membran-Paradigma
Mesonen
Metall
Metrik
Mikroblazar
Mikrolinse
Mikroquasar
Milchstraße
Minkowski-Metrik
Missing-Mass- Problem
mittelschwere Schwarze Löcher
MOND
Monopolproblem
Morphismus
M-Theorie
Myonen
N
Neutrino
Neutronenreaktionen
Neutronenstern
Newtonsche Gravitation
No-Hair-Theorem
Nova
Nukleon
Nukleosynthese
Nullgeodäte
O
Öffnung
Olbers-Paradoxon
O-Prozess
Oppenheimer-Volkoff- Grenze
optische Tiefe
Orthogonalität
P
Paradoxon
Paralleluniversum
Parsec
partielle Ableitung
Pauli-Prinzip
Penrose-Diagramm
Penrose-Prozess
Pentaquark
Periastron
Perigäum
Perihel
periodisch
persistent
Petrov-Klassifikation
PG1159-Sterne
Phantom-Energie
Photon
Photonenorbit
Photosphäre
Pion
Pioneer-Anomalie
Planck-Ära
Planckscher Strahler
Planck-Skala
Planet
Planetarische Nebel
Poincarégruppe
Poincaré- Transformation
Polytrop
Population
Post-Newtonsche Approximation
Poynting-Fluss
pp-Kette
p-Prozess
Prandtl-Zahl
primordiale Schwarze Löcher
Prinzip minimaler gravitativer Kopplung
Protostern
Pseudo-Newtonsche Gravitation
Pulsar
Pulsierendes Universum
Pyknonukleare Reaktionen
Q
QPO
Quant
Quantenchromodynamik
Quantenelektrodynamik
Quantenfeldtheorie
Quantengravitation
Quantenkosmologie
Quantenschaum
Quantensprung
Quantentheorie
Quantenvakuum
Quantenzahlen
Quark-Ära
Quark-Gluonen- Plasma
Quarks
Quarkstern
Quasar
quasi-periodisch
Quasi-periodische Oszillationen
Quelle
Quintessenz
R
Radioaktivität
Radiogalaxie
Radion
Randall-Sundrum- Modelle
Randverdunklung
Raumzeit
Rayleigh-Jeans- Strahlungsformel
Ray Tracing
Reichweite
Reionisation
Reissner-Nordstrøm- de-Sitter- Lösung
Reissner-Nordstrøm- Lösung
Rekombination
relativistisch
Relativitätsprinzip
Relativitätstheorie
Renormierung
Reverberation Mapping
Reynolds-Zahl
RGB-Bild
Ricci-Tensor
Riemann-Tensor
Ringsingularität
Robertson-Walker- Metrik
Robinson-Theorem
Roche-Volumen
Röntgendoppelstern
Roter Riese
Roter Zwerg
Rotverschiebung
Rotverschiebungsfaktor
r-Prozess
RRAT
RR Lyrae-Sterne
Ruhesystem
S
Schallgeschwindigkeit
scheinbare Größe
Schleifen- Quantengravitation
Schwache Wechselwirkung
Schwarzer Körper
Schwarzer Zwerg
Schwarzes Loch
Schwarzschild-de-Sitter- Lösung
Schwarzschild-Lösung
Schwarzschild-Radius
Schwerkraft
Seltsamer Stern
Seltsamkeit
Seyfert-Galaxie
Singularität
skalares Boson
SNR
Soft Gamma-Ray Repeater
Sonne
Spektraltyp
Spezialität
Spezielle Relativitätstheorie
Spin
Spin-Netzwerk
Spinschaum
Spin-Statistik-Theorem
Spintessenz
s-Prozess
Standardkerzen
Standardmodell
Standardscheibe
Starke Wechselwirkung
Statisches Universum
Staubtorus
Stefan-Boltzmann- Gesetz
stellare Schwarze Löcher
Stern
Sternentstehung
Strange Star
Stringtheorien
Subraum
Supergravitation
supermassereiche Schwarze Löcher
Supernova
Supernovaremnant
Superstringtheorie
Supersymmetrie
Symbiotische Sterne
Symmetrie
Symmetriebrechung
Symmetriegruppe
Synchrotron
Synchrotronstrahlung
Synchrozyklotron
T
Tachyon
Tagbogen
Tardyon
Teilchen
Teilchenbeschleuniger
Tensorboson
Tensoren
Tetraden
Tetraquark
TeVeS
Thermodynamik
thermonukleare Fusion
Tiefenfeldbeobachtung
Tierkreis
TNO
Topologie
topologische Defekte
Torsionstensor
Trägheit
transient
Transit
Triple-Alpha-Prozess
T Tauri Stern
Tunneleffekt
U
ULIRG
ULX
Unifikation
Unitarität
Universum
Unruh-Effekt
Urknall
V
Vakuum
Vakuumstern
Vektorboson
Velapulsar
Veränderliche
Vereinheitlichung
Viele-Welten- Theorie
VLA
VLBI
VLT
VLTI
Voids
VSOP
W
Walker-Penrose- Theorem
Weakonen
Weinberg-Winkel
Weiße Löcher
Weißer Zwerg
Wellenfunktion
Weylsches Postulat
Weyl-Tensor
Wheeler-DeWitt- Gleichung
Wiensche Strahlungsformel
Wilson-Loop
WIMP
Wolf-Rayet-Stern
w-Parameter
Wurmlöcher
X
X-Bosonen
X-Kraft
X-ray burster
Y
Y-Bosonen
Yerkes- Leuchtkraftklassen
YSO
Yukawa-Potential
Z
ZAMO
Zeit
Zeitdilatation
Zodiakallicht
Zustandsgleichung
Zustandsgröße
Zwerge
Zwergplanet
Zwillingsparadoxon
Zyklisches Universum
Zyklotron