start


Start
Web-Artikel
Lexikon
Vorträge
Ausbildung
Essays
Rhetorik
Links
Autor
Kontakt

Lexikon - Q 3 Lexikon - Q 5

Astro-Lexikon Q 4


pdf QQ
pdf A-ZA-Z

Quarkstern

Bei sehr hohen Massendichten, die vergleichbar sind mit denen im Innern von Neutronensternen, erwarten Physiker, dass sich salopp gesagt 'die Nukleonen überlappen' und ein Übergang in Quarkmaterie stattfindet. Bereits vor vier Jahrzehnten wurde darüber nachgedacht, dass eine solche Materieform im Innern kompakter Sterne vorkommen könnte: in Quarksternen.

ultradichte Materie

Befassen wir uns zunächst mit extrem dicht gepackter Materie: Kern- und Teilchenphysiker sind an Phasendiagrammen der Quantenchromodynamik (QCD) interessiert. Wie in der klassischen Thermodynamik von Gasen geben Phasendiagramme darüber Auskunft, unter welchen thermodynamischen Bedingungen, d.h. ab welchen Dichten und Temperaturen, ein Übergang von der einen Phase in die andere stattfindet (Phasenübergang). Ein einfaches Beispiel eines Phasenübergangs ist das Gefrieren von Wasser, das dabei von der flüssigen in die feste Phase übergeht.
Um nun auf analoge Weise QCD-Phasendiagramme zu bekommen, müssen die Physiker sie mit geeigneten Methoden berechnen. Ein wesentliches Modell ist das MIT Bag-Modell, das entwickelt wurde, um aus den Quarks die Massen der Hadronen abzuleiten (Chodos et al., 1974). Die QCD kann numerisch auf dem Gitter gelöst werden (Lattice Quantum Chromodynamics, LQCD). Aus diesen Rechnungen resultieren Vorstellungen über Quarkmaterie und Zustandsgleichungen unter extremen Bedingungen.

Phasen dichter Materie

QCD-Phasendiagramm Bei hohen Dichten, etwa mehrfacher Kernmateriedichte und tiefen Temperaturen, kondensiert die Materie zu Quarkpaaren, was man in Analogie zur BCS-Supraleitung der Festkörperphysik Farbsupraleitung nennt. Die Quarks befinden sich in einem Fermi-See und solche an der Fermi-Oberfläche sind quasi frei.
Die drei Phasen in der QCD sind die hadronische Phase, die Quark-Gluonen-Phase und die farbsupraleitende Phase. Am trikritischen Punkt sind diese Phasen koexistent und stehen miteinander im Gleichgewicht, wie das QCD-Phasendiagramm rechts zeigt.
Daneben soll es aber noch eine im wörtlichen Sinne 'fremdartige Phase' geben: die Strange-Materie (siehe dazu Seltsamkeit). Diese Materie kommt in natürlicher Form nicht auf der Erde vor. Die Nukleonen bestehen aus den vertrauten up- und down-Quarks. Der US-amerikanische Physiker Edward Witten (* 1951) postulierte, dass nicht etwa die hadronische Phase, also Quarks eingeschlossen in einem Verbund, dem Grundzustand der QCD gleichkommen, sondern quasi-freie Quarkmaterie, die zu gleichen Teilen aus u-, d- und s-Quarks bestehe (strange matter hypothesis). Das MIT Bag-Modell wurde zum Effektivmassen-Bag-Modell erweitert, um diese Quarkphasen zu beschreiben (Schertler et al., 1998).
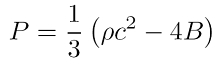
Zustandsgleichung von Strange-Materie nach dem Bag-Modell Dabei gelang es, eine einfache Zustandsgleichung der Strange-Materie abzuleiten (siehe Gleichung rechts). Neben der Materiedichte ρ und der Vakuumlichtgeschwindigkeit c enthält sie die so genannte Bag-Konstante B, die anschaulich der Energie entspricht, die nötig ist, um aus dem Vakuum ein Hadron zu erzeugen. Sie wird in der Theorie häufig als freier Parameter angenommen, der zwischen 96 und 208 MeV fm-3 variiert.
Nimmt man einen Wert von B = (145 MeV)4 an, so zeigt sich mithilfe der Zustandsgleichung, dass ab einer besonders hohen Dichte, etwa ab 4 × 1014 g cm-3, die gerade oberhalb der Kernmateriedichte liegt, die Strange-Materie frei existieren kann - der Druck P verschwindet dann.

kompakte Sterne

Neben irdischen Experimenten in Teilchenbeschleunigern bieten kompakte Objekte ein wichtiges 'Fenster' in das Verständnis des Aufbaus ultradichter Materie. Daten aus Teilchenbeschleunigern und astronomische Beobachtungsdaten können mit den Rechnungen verglichen werden.
Das Innere von Neutronensterne ist ein natürlicher Ort, an dem solch extremen Materiedichten erreicht werden (unter dem Eintrag Neutronenstern befindet sich eine Darstellung der Neutronensternschalen mit entsprechender Dichte).
Allerdings werden verschiedene kompakte Sterne unterschieden, je nachdem aus welchem Materiegemisch sie bestehen:

  • Neutronensterne sind im strengen Sinne rein hadronisch, d.h. sie bestehen nur aus der hadronischen Phase, z.B. einer Neutronenflüssigkeit (siehe dazu auch Fermionensterne).
  • Hybridsterne bestehen aus einer hadronischen Phase und einer Quarkphase.
  • Quarksterne (auch Q-Sterne genannt) bestehen an sich nur aus einer Quarkphase.
  • Diquark-Sterne sind hier noch ein Spezielfall, die aus einer farbsupraleitenden Phase bestehen.
  • seltsame Sterne (oder Strange Stars) bestehen aus Strange-Materie.

Außerdem unterscheidet man zwei Typen von Strange Stars, solche mit Kruste (engl. crust strange stars) und solche ohne Kruste (engl. bare strange stars). Im letzten Fall grenzt die Quarkmaterie direkt an die Umgebung des Sterns, was zu seltsamen Effekten führt.

Unterscheidungskriterium Sternmasse

Wie bei den Weißen Zwergen die Chandrasekhar-Grenze, lässt sich auch bei Sternen aus Strange-Materie eine maximale Masse ableiten, bevor auch der Quarkstern im dominanten Gravitationskollaps in sich zusammenfällt:

  • Eine perturbative QCD-Rechnung (pQCD) liefert 1.32 Sonnenmassen bei einem Radius von nur 7.2 km.
  • Eine nichtperturbative QCD-Rechnung führt auf den viel größeren Wert von 3.2 Sonnenmassen.
  • Das Bag-Modell liefert einen intermediären Wert von 1.98 Sonnenmassen bei 10.78 km Radius.

Eine astronomische Messung der Sternmasse sollte daher Aufschluss geben über den Typen des kompakten Sterns.

Unterscheidungskriterium Sternradius

Eine Beimischung von Quarkmaterie 'weicht' die Zustandsgleichung auf, so dass Quarksterne (bei gleicher Masse) kompakter sein können als Neutronensterne, die aus einer reinen Hadronenphase bestehen (Schertler et al. 2000). Eine genaue Messung des Sternradius sollte deshalb Klarheit darüber verschaffen können, um welchen kompakten Stern es sich handelt.

Masse-Radius-Beziehungen

Zur Unterscheidung von Neutronensternen und Quarksternen kann man die beiden Unterscheidungskriterien Sternmasse und Sternradius auch in der Masse-Radius-Beziehung zusammenfassen. Zum Glück sind diese Relationen für beide Klassen sehr unterschiedlich:

  • M ~ R-3 für Neutronensterne,
  • M ~ R+3 bei den kompakteren Quarksternen aus Strange-Materie.

astronomische Tests

Die Messung der Sternradien ist das erste Hindernis in der Astronomie: die kompakte Sterne sind so klein und so weit weg, dass Astronomen sie nicht mit Teleskopen auflösen können (siehe dazu auch Auflösungsvermögen). Aus der Stellarphysik ist aber bekannt, dass die Leuchtkraft (siehe dort für die entsprechende Gleichung) mit dem Quadrat des Sternradius anwächst. Die scheinbare Helligkeit kann mühelos astronomisch beobachtet werden; die Leuchtkraft folgt dann erst mit bekannter Entfernung mittels des Distanzmoduls und der Effektivtemperatur, die ihrerseits aus dem beobachteten Spektraltyp folgt.
Auf diese Weise wurden einige Kandidaten für kompakte Sterne beobachtet, die noch kleiner, noch kompakter zu sein schienen, als typische Neutronensterne. Die Hypothese war daher, dass es sich dabei um Quarksterne oder seltsame Sterne handeln müsse. Diese Gebilde können noch kleinere Radien erreichen, weil sie besonders hohe Dichten haben.

HST-Bild des Quarkstern-Kandidaten RX J185635-3754

Der Fall RX J185635-3754

Der Röntgenstern RX J185635-3754 wurde 1992 mit dem erfolgreichen, deutschen Röntgensatelliten ROSAT am Südhimmel im Sternbild Corona Australis (dt. Südliche Krone) entdeckt. Im Jahr 1997 enstand die optische Aufnahme oben von RX J185635-3754 (siehe Pfeilmarkierung) mit dem Weltraumteleskop Hubble (Credit: Fred Walter, State University of New York at Stony Brook und NASA, 1997).
Im Jahr 2002 wurde RX J185635-3754 mit dem US-amerikanischen Röntgenteleskop Chandra beobachtet. Mit einer Entfernung von nur 200 Lichtjahren und einer Effektivtemperatur von etwa 700000 Grad (hundertfach heißer als die Sonne!) folgte ein Radius von nur etwa 4 bis 8 Kilometern (Drake et al. 2002, astro-ph/0204159). Dieser sehr kleine Radius sorgte seinerzeit für Wirbel, legte er doch einen sehr guten Quarksternkandidaten nahe.
Die optischen Nachbeobachtungen ließen jedoch bald Zweifel an der Quarksterninterpretation aufkommen: zum einen musste die Entfernung zu 450 Lichtjahren nach oben korrigiert werden; zum anderen wurde vermutlich ein so genannter Hot Spot mit hoher Röntgenhelligkeit auf der Neutronensternoberfläche mit Chandra beobachtet. Aktuell wird daher von den Neutronensternforschern favorisiert, dass RX J185635-3754 ein ganz normaler, isolierter Neutronenstern mit deutlich größeren 34 km Durchmesser sei.
Das legen auch neue Beobachtungen nahe, die italienische Astronomen mit den europäischen Röntgenteleskop XMM-Newton durchgeführt haben (Tiengo & Mereghetti, ApJ 657, L101, 2007): sie entdeckten erstmals, dass RX J185635-3754 variiert wie ein Pulsar mit einer Periode von sieben Sekunden! Das schmälert die Quarksternhypothese, weil ein solches Pulsieren charakteristisch für Neutronensterne ist.

Fazit

Zurzeit gibt es keinerlei gute Kandidaten für Quarksterne oder seltsame Sterne in der Astronomie. Doch die astronomische Forschung wird durch immer bessere Satellitenprojekte (wie z.B. die geplanten, europäischen Missionen eROSITA und XEUS) auf experimenteller Seite vorangebracht, ebenso wie die theoretische Erforschung, die zu einem immer besseren Verständnis von ultradichter Materie führt.

Literatur

  • Gibt es Quarksterne? von Markus Thoma (MPE), in Astronomie heute, September 2006
Quasar
Quasar-Sample mit Wirtsgalaxien, beobachtet mit dem HST

Quasare sind die wohl bekanntesten Vertreter unter den Aktiven Galaktischen Kernen (AGN), vermutlich auch dadurch bedingt, dass sie immer wieder in den Medien auftauchen. Sie haben eine extreme Leuchtkraft: die leuchtkräftigsten Quasare erreichen 1047 erg/s - das entspricht hundert Billionen Sonnenleuchtkräften und übertrifft normale Galaxien bei weitem! Im Prinzip zeigen Quasare diese Aktivität bei allen Wellenlängen des elektromagnetischen Spektrums. Quasare sind einem breitem Publikum bekannt für ihre unglaublich hohen Entfernungen im Bereich von Millionen bis Milliarden Lichtjahren. Das bedeutet gleichermaßen, dass sie sich sehr früh im Universum gebildet haben müssen. Die Modelle für Galaxienentstehung sind daher für Kosmologen eine Herausforderung.

Quasar vs. QSO

Klären wir zunächst die Namen: Quasar ist ein Kunstwort aus quasi-stellare Radioquelle, d.h. Quasare sind radio-laut (hohe Radioleuchtkraft). Die Abkürzung QSO steht für quasi-stellares Objekt, die radio-leise sind (geringe Radioleuchtkraft). Die Begriffe Quasar und QSO werden oft gleichbedeutend in der Literatur verwendet, bezeichnen aber eigentlich verschiedene, kosmische Objekte! Oft wird Quasar als Oberbegriff für beide verwendet.

Entdeckungsgeschichte

Quasare wurden 1960 radioastronomisch entdeckt (3C 48, 16.mag). Optisch erschienen sie zunächst sternartig: Sie sahen aus wie ein Lichtpunkt, der nicht mit Teleskopen aufgelöst werden konnte. Das Weltraumteleskop Hubble (Hubble Space Telescope, HST) photographierte 1996 schließlich erstmals die Wirtsgalaxien der Quasare (Abbildung oben rechts, Credit: Bahcall et al., STScI/NASA, 1996). Somit war klar, dass Quasare die hellen Kerne von Galaxien sind: Quasare sind eingebettet in Wirtsgalaxien (engl. host galaxies). Im Falle der Quasare können die Wirtsgalaxien jeden Hubble-Typ haben. Eine besondere Häufung stellt man allerdings bei den elliptischen Galaxien, also sehr entwickelten Sternsystemen, fest.

Der Quasar-Motor

Vom Standpunkt der theoretischen Astrophysik sind die Quasare hochinteressante Studienobjekte. Das größte Rätsel: Woher kommt diese unglaubliche Leuchtkraft? Schnell war klar, dass die Beobachtung nicht mit thermonuklearer Fusion, wie sie im Innern von Sternen abläuft, zu erklären ist.
Die Theoretiker stellten bereits Mitte bis Ende der 1960er Jahre, also bald nach der Entdeckung der Quasare, ein physikalisches Modell vor. Zu den Pionieren dieser Idee zählen die russischen Astrophysiker Yakov B. Zel'dovich & Igor D. Novikov (1964), der österreichische Kernphysiker Edwin E. Salpeter (1964) und der britische Astrophysiker Donald Lynden-Bell (1969). Sie erklärten die enorme Helligkeit durch die Akkretion auf ein supermassereiches Schwarzes Loch. Genau das ist das heute fest verwurzelte Paradigma für alle AGN. Akkretion ist der effizienteste Mechanismus, um aus durch Gravitation gebundene Materie Strahlungsenergie herzustellen. Wie das im Detail funktioniert, wird im Eintrag Eddington-Leuchtkraft vorgerechnet. Quasare sind dabei nahe am Eddington-Limit.
Das Schicksal der Materie, die in ein Schwarzes Loch fällt, wird mit modernen Hochleistungsrechnern simuliert. Bei diesen Supercomputer-Simulationen kommen Methoden der Magnetohydrodynamik und der Allgemeinen Relativitätstheorie zum Einsatz. In der Nähe des Lochs wird es sehr heiß, so dass die einfallende Materie zu einem Plasma wird, das aus Elektronen und Ionen besteht. Dieses Plasma bewegt sich unter dem Einfluss von elektrischen Feldern und Magnetfeldern auf dem Hintergrund der gekrümmten Raumzeit in ein Schwarzes Loch. In der Astrophysik ist mittlerweile klar, dass dabei die Rotation des Loches eine wesentliche Rolle spielt (siehe Kerr-Lösung). Die Akkretion ist assoziiert mit wichtigen magnetischen Effekten im Akkretionsfluss, z.B. mit der magnetischen Rotationsinstabilität und mit dem magnetischen Herauskatapultieren von Materie, die dann zu relativistischen AGN-Jets gebündelt wird. Das Szenario ist detailliert unter dem Eintrag zu supermassereichen Schwarzen Löchern beschrieben.
Die Spektren dieser einfallenden Materie folgen in der Theorie mit einem zweiten Schritt: die nun bekannte Dynamik des Plasmas wird genutzt, um Strahlungsprozesse (Comptonisierung, Synchrotronstrahlung, Bremsstrahlung; allgemein Strahlungstransport) auszurechnen. Besser, aber numerisch deutlich aufwendiger, ist die direkte Kopplung von kovariantem Strahlungstransport an hydrodynamische oder magnetohydrodynamische Gleichungen. Aktuell arbeiten die theoretischen Astrophysiker weltweit daran, dieses Problem konsistent zu lösen. Die ersten Arbeiten auf dem Gebiet der allgemein relativistischen Magnetohydrodynamik (GRMHD) sind von Koide et al. 1999, De Villiers & Hawley 2002, Gammie et al. 2003, Semenov et al. 2004.

Quasare und Radiogalaxien sind verwandt

Astronomen zählen bei der Gruppe der radioleisen QSOs deutlich mehr Vertreter als bei den radiolauten Quasaren. Die Aktivität im Radiobereich lässt sich auch auf die intrinsische Helligkeit in allen Spektralbereichen, die so genannte bolometrische Leuchtkraft, übertragen. Die radioleisen QSOs scheinen mit den schwächeren AGN-Typen, wie den Seyfertgalaxien, verwandt zu sein. Hingegen sind die radiolauten Quasare, wie der Prototyp 3C 273, verwandt mit den radioleuchtkräftigen Radiogalaxien, wie Cyg A.
Sogar die Morphologie von Quasaren und Radiogalaxien ist auffallend ähnlich und nutzt dieselbe Nomenklatur für beobachtbare Radiostrukturen: Core, Hot Spot, Lobe und Jet (Begriffe erläutert unter FR-Klassifikation). Die verblüffende Ähnlichkeit unterscheidet sich nur durch die Längenskala. Auf der Homepage des Very Large Arrays (VLA), einer Anordnung von 27 Radioteleskopen in New Mexico (USA), die interferometrisch hochaufgelöste Radiobilder erzeugen können, kann man farbenprächtige Bilder betrachten, die klar die verwandte Morphologie belegen

AGN Typ-1 und Typ-2

Betrachtet man die Spektren der Seyfertgalaxien und der Quasare, so kann man sie im Wesentlichen in zwei Klassen einteilen. Bald wurde vorgeschlagen, dass diese Zweiteilung (Dichotomie) das Resultat eines Orientierungseffektes ist (Antonucci & Miller, ApJ 1985; Antonucci, ARA&A 1993): in einem Abstand von einigen pc vom Zentrum des AGN befinde sich ein ausgedehnter, molekularer Staubtorus. Dieser 'kalte Materieschlauch' ist schwer zu durchdringen für optische Strahlung und weiche Röntgenstrahlung. Ist der AGN nun zufällig so orientiert, dass der irdische Beobachter von oben in die Kernregion blicken kann, so versperrt der Staubtorus nicht die Sicht. Der Neigungswinkel (Inklination) zwischen Symmetrieachse des Torus und der Blickrichtung ist klein. In diesem Fall sprechen die Astronomen von einem AGN Typ-1.
Bei hoher Inklination jedoch, also Winkeln zwischen etwa 60 und 90°, blickt der Beobachter mehr oder weniger auf die Kante des Staubtorus: der Blick in das Zentrum des AGN ist versperrt. Somit sagen die Astronomen zu dieser aktiven Galaxie AGN Typ-2.
Genau dieser Effekt ist auch in den Spektren zu sehen, so dass Astronomen mit optischer Strahlung und weicher Röntgenstrahlung die AGN klassifizieren können. Bei Röntgenspektren von AGN Typ-2 fehlt der Anteil an niederenergetischer Röntgenstrahlung, weil er durch Streuung im Staubtorus verloren ging. Astronomen stellen insgesamt fest, dass Typ-1-Quasare (kleine Inklination) etwa 90% aller Quasare ausmachen; die restlichen 10% sind Typ-2-Quasare (hohe Inklination). Die Typ-1-Typ-2-Nomenklatur hat sich vor allem bei Seyfertgalaxien und Quasaren durchgesetzt.
Die Astronomen haben festgestellt, dass die Klassifizierung unterschiedlich ausfallen kann, je nachdem ob der AGN optisch oder per Röntgenstrahlung klassifiziert wurde. Das ist natürlich nicht erwünscht. Ursache dafür sind Störeffekte, beispielsweise durch die Wirtsgalaxie. Eine gute Wahl ist eine Kombination: nahe AGN werden mit Röntgenstrahlung klassifiziert und weit entfernte AGN optisch (Szokoly et al. 2004).
Die aktuelle Forschung zeigt, dass ein rein geometrischer Effekt nicht ausreicht, um die beiden AGN-Typen zu erklären: Mit dem japanischen Röntgensatelliten ASCA wurden etwa 230 helle AGN beobachtet (Ueda et al. 2003). Besonderes Interesse galt für AGN, die harte Röntgenstrahlung emittieren. Nun stellte sich der Trend heraus, dass der Anteil der AGN Typ-2 abnimmt, wenn die Leuchtkraft des AGN zunimmt! Dieser Leuchtkrafteffekt ist nicht geometrisch erklärbar. Eine mögliche Erklärung bestünde darin, dass ein sehr leuchtkräftiger Quasar seine Umgebung mit dem heftigen Strahlungsdruck 'leer fegt'. Auf diese Weise würde auch der blockierende Staubtorus verschwinden und damit der Typ-2.

spektrale Eigenschaften

Die visuellen Helligkeiten der Quasare sind enorm und gehen bis -23. Magnitude bei den hellsten Vertretern. Weitere spektrale Eigenschaften sind starkes blaues Kontinuum, Infrarot- und UV-Exzesse, hohe zeitliche Variabilitäten der Quellen, keine Absorptionslinien, aber sehr breite Emissionslinien. Inzwischen entdeckten Röntgenastronomen sogar die heiße Emissionslinie von Eisen in den Spektren bei 6.4 bis 6.7 keV Ruheenergie. Die Linie gibt Aufschluss über den inneren Akkretionsfluss in unmittelbarer Nähe zum zentralen, superschweren Schwarzen Loch. Sie wird in der Diagnostik der AGN genutzt, um die Neigung der Standardscheibe, die Plasmakinematik, die Lochrotation etc. abzuleiten.

Quasare sind extrem weit entfernt

Die Anordnung der Emissionslinien im Spektrum der Quasare war bei ihrer Entdeckung zunächst sehr rätselhaft. Der Astronom Maarten Schmidt erkannte 1963, dass es sich um an sich bekannte Emissionslinien handelt, die allerdings im Spektrum hochrotverschoben wurden. Der Grund für diese seltsame spektrale Eigenschaft liegt in der Expansion des Universums selbst. Die Quasare sind so weit von der Erde entfernt, dass sich die kosmologische Rotverschiebung bemerkbar macht. Die Photonen, die der Quasar aussendet, bewegen sich durch eine expandierende Raumzeit, der Robertson-Walker-Metrik. Deshalb bewegen sich alle kosmologisch entfernten Quellen von der Erde weg: sie 'schwimmen' mit der expandierenden Raumzeit. Die Allgemeine Relativitätstheorie besagt dann, dass die Spektren stark rotverschoben sind. Die elektronischen Übergänge der strahlenden Atome im Quasar liegen aufgrund der hohen Distanz dieser Objekte in ganz anderen Spektralbereichen, wenn sie beim irdischen Beobachter ankommen: so kann die Lyman-Alpha-Kante (Lyα), die üblicherweise (d.h. im Ruhesystem) im Ultravioletten liegt, bei einem Quasar mit z = 5.0 bis in den optischen Bereich verschoben werden! Damit war klar, dass Quasare extragalaktische Objekte sind. 1963 wurde ein weiterer Quasar, 3C 273, von Hazard, Mackey und Shimmins entdeckt, die ihn mithilfe der Mondbedeckungsmethode auf bis zu einer Bogensekunde genau am Himmel lokalisierten - damals eine Sensation. 3C 273 im Sternbild Jungfrau (Virgo) gehört zu den hellsten und nächsten Quasaren und ist etwa 2.1 Milliarden Lichtjahre (640 Mpc) entfernt. In seiner Nachbarschaft zeigt er einen etwa zwei Bogensekunden langen, relativistischen Jet.

Entfernungsrekorde

Der aktuell am weitesten entfernte AGN ist ein Quasar mit der Bezeichnung SDSS J1148+5251 und liegt bei einer Rotverschiebung von z = 6.41 (Fan et al. 2003, Willott et al. 2003). Diese Entfernung wird nur noch von einer nicht aktiven, sehr jungen Galaxie bei z = 10 geschlagen, dem aktuellen Rekordhalter mit der größten Entfernung zur Erde (Pello et al. 2004). Die Lyα-Linie des Wasserstoffs, die sonst im UV liegt, fand man bei einer ebenfalls sehr weit entfernten Galaxie, SDSS 1030+0524, im nahen Infrarot (NIR) bei 885 nm. SDSS J1148 weist eine noch stärker rotverschobene Linie auf. Fan et al. von der Universität Princeton konnten 2001 im Sloan Digital Sky Survey (SDSS) mit einem digitalen, automatischen Teleskop in New Mexico drei unglaublich weit entfernte Objekte beobachten, bei denen es sich allesamt um Quasare handelt. Sie haben die Katalogbezeichnungen SDSS 1030+0524, SDSS 1306+0356 und SDSS 0836+0054 und in dieser Reihenfolge die Rotverschiebungen z = 6.28; 5.99 und 5.82. Diese Objekte sind soweit entfernt, dass wir in eine Zeit zurückschauen, wo das Universum erst 700 Millionen Jahre alt (6% des heutigen Alters) war und noch dichter war und sogar noch neutrales Wasserstoffgas in der Umgebung der Quasare vorlag!

Als die Welt noch neutral war

Die Epoche der Reionisation war also zu diesem Zeitpunkt (z ~ 6) noch nicht abgeschlossen: die intensive Strahlung der Quasare ionisierte nach und nach das umgebende, intergalaktische Medium, bis schließlich durch eine signifikante Anzahl ionisierender Objekte das ganze Universum reionisiert war. Die erste Ionisation war kurz nach dem Urknall, als das Universum noch sehr klein, dicht und heiß war. Bei z ~ 1100, entsprechend nur etwa 400000 Jahre nach dem Urknall, war die Epoche der Rekombination, wo das Universum genug abgekühlt war, dass sich Elektronen und Protonen zu den ersten (neutralen) Atomen zusammenschließen (rekombinieren) konnten. Bei diesem Prozess entstanden primordiale Elemente, wie Wasserstoff, Helium und Lithium (siehe primordiale Nukleosynthese).
Im Spektrum der Quasare erkennt der Astronom das neutrale, intergalaktische Umgebung unzweifelhaft daran, dass hier die so genannten Gunn-Peterson-Tröge (engl. Gunn-Peterson troughs) auftreten. Im Spektrum haben diese Features eine Trog-Form: unterhalb der Lyα-Kante wird die Kontinuumsstrahlung stark unterdrückt. Der physikalische Grund besteht darin, dass die optische Tiefe des umgebenden neutralen Mediums besonders groß ist und deshalb dieser Bereich im Spektrum verschwindet.

Quasare im Doppelpack

1979 wurde das Quasar-Paar QSO 0957+561 entdeckt. Beide Quasare zeigen erstaunlicherweise sehr ähnliche Spektren. Dies konnte man darauf zurückführen, dass es sich in Wirklichkeit um Abbilder ein und desselben Objekts handelt! Durch den Gravitationslinseneffekt gelangt das Licht des Quasars auf zwei verschiedenen Lichtwegen zum Beobachter. Eine Gravitationslinse ist ein massereiches Objekt, z.B. ein Galaxienhaufen, der zwischen Quasar und der Erde lokalisiert ist und nach der Allgemeinen Relativitätstheorie Licht abzulenken vermag: Licht folgt gekrümmten Nullgeodäten. Die leichten spektralen Unterschiede erklären sich dadurch, dass auf den beiden Lichtwegen unterschiedliche Bedingungen herrschen können, wie beispielsweise unterschiedliche Dichte des intergalaktischen Mediums (IGM) und somit unterschiedliche Extinktion.

.. oder lieber vier!

Quasar QSO-PG1115+080 als Vierfachbild, beobachtet mit dem HST Die Abbildung rechts zeigt im linken Feld eine Infrarotbeobachtung mit dem Weltraumteleskop Hubble, ein besonders schönes Exemplar eines gelinsten Quasars: Ein Vierfachbild eines Quasars! Die Gravitationslinse ist eine schwere, elliptische Galaxie. Der Quasar hat die Katalogbezeichnung PG 1115+080. Im rechten Feld wurden die vier Quasarbilder und die linsende Galaxie abgezogen. Die ringförmige Helligkeitsverteilung ist das gravitativ beeinflusste Licht der Wirtsgalaxie des Quasars. Die Strahlung wird durch die Krümmung der Raumzeit verbogen (Fachausdruck: Lichtaberration) und bildet den berühmten Einstein-Ring, hier im Infraroten bei einer Wellenlänge von 1.6 Mikrometern (Credit: Impey et al., STScI/NASA 1998).

echte Doppelquasare

Es gibt allerdings auch tatsächlich ein intrinsisches Paar von Quasaren, QQ 1145-071, der 1987 entdeckt wurde. Ebenso besteht das Objekt LBQS 0103-2753 in einer Entfernung von z = 0.848 aus einem Binär-Quasar, die sich in einem Abstand von nur 0.3 Bogensekunden bzw. 2.3 kpc umkreisen (Shields et al. 2001, astro-ph/0104236). Dies ist eines der wenigen Beispiele, wo sich zwei supermassereiche Schwarze Löcher unmittelbar umkreisen und vielleicht in einem katastrophalen Ereignis verschmelzen können.

weitere bekannte Quasare und QSOs

3C 273, 3C 48, QSO 1229+204, QSO 0046-293, QSO 0910+564, QSO 0101-304, QSO 0000-263, QSO 2203+292, QSO 0051-279, QSO 0957+561 und QQ 1145-071.

quasi-periodisch

In der Astronomie verwendet man einige Eigenschaftswörter, um das zeitliche Verhalten der Strahlungsemission oder der Helligkeit einer kosmischen Quelle zu charakterisieren.

Definition von quasi-periodisch

Das Attribut quasi-periodisch kann nicht so klar definiert werden; wörtlich würde man damit eine Helligkeitsvariation betiteln, die zeitlich in etwa regelmäßig wiederkehrt. Es ist zwar kein strenger Zyklus über lange Zeiten beobachtbar, aber es gibt dennoch Perioden über ein kurzes Zeitintervall.

Eine Frage der Perspektive

Die Beurteilung, welchen Charakter die Helligkeitsvariation hat, ist abhängig vom Beobachter. Die Ursache dafür ist die Relativität des Zeitbegriffs, denn die Relativitätstheorie führt zu Effekten wie der Zeitdilatation.
Die Klassifikation ist ebenfalls eine Frage der Zeitskala. Typische Perioden liegen im Bereich von Minuten bis Stunden.

Beispiele

Die Bezeichnungsweise ist in der Astronomie an sich nur bei den Quasi-periodischen Oszillationen gebräuchlich, die in unterschiedlichen Wellenlängenbereichen, oft jedoch bei Röntgendoppelsternen beobachtet werden.

weitere Bezeichnungen

Andere Bezeichnungen für die Charakterisierung des zeitlichen Verhaltens sind periodisch, persistent und transient.

Quasi-periodische Oszillationen

Die Quasi-periodischen Oszillationen (engl. quasi-periodic oscillations, QPOs) sind zeitlich wiederkehrende Phänomene, die Astronomen in Lichtkurven, z.B. bei Röntgendoppelsternen, beobachten.

Die Fourier-Analyse

Es bietet sich an, diese Lichtkurven (Intensität über Zeit) mit einem mathematischen Verfahren zu studieren, der so genannten Fourier-Transformation. Nach einer Fourier-Transformation sind die Lichtkurven nicht mehr in Abhängigkeit von der Zeit dargestellt, sondern von der Frequenz. Mathematiker sagen das so: Die Fourier-Transformierte befindet sich im Frequenzraum. Die resultierenden Spektren nennen die Astronomen Power Density Spektren (PDS) oder kurz Power Spektren.

Was bringt die Prozedur?

Charakteristische Variabilitäten in der Lichtkurve (Periodizitäten, Quasi-Periodizitäten), die immer wieder etwa dieselbe Frequenz haben, können in den PDS als Spitzen ('Peaks') mit bestimmter Frequenz entlarvt werden. Das ist eine sehr bequeme und exakte Identifikation, die sich im Zeitraum (vor der Fourier-Transformation) deutlich schwieriger und ungenauer gestalten würde.

charakteristische Frequenzen der Akkretionstheorie

Die QPOs spiegeln sich in den Spektren als Variabilitäten wider, deren Verhalten nicht ganz, aber etwa periodisch ist. Sie können mit der Theorie der Akkretion beschrieben werden, weil man Effekte im Akkretionsfluss (eventuell einer Standardscheibe) um ein kompaktes Objekt mit den QPOs assoziiert. Die Interpretation ist schwierig. Es gibt drei charakteristische Frequenzen, die mit QPOs verknüpft werden können:

  • die Keplerfrequenz, also diejenige Frequenz, die der Umlaufzeit um das kompakte Objekt zugeordnet ist (siehe Kepler-Gesetze);
  • die radiale Epizykelfrequenz, eine charakteristische Frequenz, die resultiert, wenn man einen Kreisorbit geringfügig in radialer Richtung stört (siehe auch Epizykel);
  • und die vertikale Frequenz. Sie resultiert aus vertikalen Störungen der Bahn.

Weiterhin wird seit wenigen Jahren die Lense-Thirring-Frequenz (als vierte, mögliche Frequenz) diskutiert. Die Astronomen vermuten, dass sie eine gewichtige Rolle in den QPOs von Mikroquasaren spielt. Der Drehimpuls eines rotierenden, stellaren Schwarzen Lochs erzeugt ein so genanntes gravitomagnetisches Feld. Dies ist ein Effekt von Einsteins Allgemeiner Relativitätstheorie, der mit dem Oberbegriff Gravitomagnetismus bezeichnet wird. Das gravitomagnetische Feld wirkt sich auf umlaufende Testteilchen oder auch den Akkretionsfluss aus und führt zur Lense-Thirring-Präzession.

Was zappelt denn da?

QPOs sind sicherlich mit einer variablen Akkretionslösung assoziiert. Die Astrophysiker favorisieren Instabilitäten im Akkretionsstrom (siehe z.B. magnetische Rotationsinstabilität), die zur Anregung von lokalen Störungen im Akkretionsstrom - so genannte Blobs - führen. Diese Störungen können eine Zeit lang mit einer der charakteristischen Frequenzen schwingen und wieder verschwinden.
Alternativ ist es denkbar, dass die Übergangsregion zwischen kalter, optisch dicker, aber geometrisch dünner Standardscheibe (SSD) zu einem heißen, optisch dicken und geometrisch ausgedehntem Objekt wie beispielsweise dem ADAF ein räumlich (präzise gesagt radial) oszillierendes Gebilde formt. Die Zeitskala ist typischerweise so groß, wie die Umlaufzeiten der Materie um das Zentrum am betreffenden Radius (Kepler-Zeitskala). Diese Akkretionslösungen sind bimodal und oszillieren zwischen ADAF und SSD (José Gracia 2003).
Typische Frequenzen liegen im kHz-Bereich bei den Mikroquasaren oder anderen stellaren Quellen. Bei den deutlich größeren Aktiven Galaktischen Kernen (AGN) sind sie nicht zu beobachten, weil die Frequenzen zu klein werden. Salopp und stark vereinfacht gesagt: der innere Akkretionsstrom um stellare Löcher piepst, aber derjenige um superschwere Löcher brummt.

Quelle

Quelle (engl. source) ist ein typischer Fachbegriff der Astronomie und meint ein beliebiges, kosmisches Objekt, dass elektromagnetische Strahlung, Teilchen und/oder Gravitationswellen abgibt. Der Astronom kann diese Quelle mit einem geeigneten, empfindlichen Detektor oder Teleskop beobachten. Entsprechend gibt es Bezeichnungen wie Radioquelle, Röntgenquelle, Gammaquelle, Neutrinoquelle, Protonenquelle etc.
Der Begriff Quelle ist auch in der Feldtheorie gebräuchlich und meint hier den Erzeuger des Feldes. So sind Massen die Quellen der Gravitation, und elektrische Ladungen sind die Quellen des elektromagnetischen Feldes.
In beiden Bedeutungen wird der Begriff Quelle in diesem Lexikon verwendet.

pdf QQ
pdf A-ZA-Z

nach oben

Lexikon - Q 3 Lexikon - Q 5


Start - Web-Artikel - Lexikon - Vorträge - Ausbildung - Essays - Rhetorik - Links - Autor - Kontakt
Andreas Müller © Andreas Müller, August 2007

Index

A
Abbremsparameter
ADAF
ADD-Szenario
ADM-Formalismus
AdS/CFT-Korrespondenz
AGB-Stern
Äquivalenzprinzip
Akkretion
Aktiver Galaktischer Kern
Alfvén-Geschwindigkeit
Alfvén-Zahl
Allgemeine Relativitätstheorie
Alpha-Zerfall
AMR
anthropisches Prinzip
Antigravitation
Antimaterie
Apastron
Apertursynthese
Aphel
Apogäum
Astronomie
Astronomische Einheit
asymptotisch flach
Auflösungsvermögen
Axion
AXP
B
Balbus-Hawley- Instabilität
Bardeen-Beobachter
Baryogenese
Baryonen
baryonische Materie
Bekenstein-Hawking- Entropie
Beobachter
Beta-Zerfall
Bezugssystem
Bianchi-Identitäten
Big Bang
Big Bounce
Big Crunch
Big Rip
Big Whimper
Birkhoff-Theorem
Blandford-Payne- Szenario
Blandford-Znajek- Mechanismus
Blauverschiebung
Blazar
BL Lac Objekt
Bogenminute
Bogensekunde
Bosonen
Bosonenstern
Boyer-Lindquist- Koordinaten
Bran
Brans-Dicke- Theorie
Brauner Zwerg
Brill-Wellen
Bulk
C
Carter-Konstante
Casimir-Effekt
Cauchy-Fläche
Cepheiden
Cerenkov-Strahlung
Chandrasekhar-Grenze
Chaplygin-Gas
Chiralität
Christoffel-Symbol
CMB
CNO-Zyklus
Comptonisierung
Cosmon
C-Prozess
D
Deep Fields
Derricks Theorem
de-Sitter- Kosmos
DGP-Szenario
Diffeomorphismus
differenzielle Rotation
Distanzmodul
Dodekaeder-Universum
Doppler-Effekt
Drei-Kelvin-Strahlung
Dunkle Energie
Dunkle Materie
E
Eddington-Finkelstein- Koordinaten
Eddington-Leuchtkraft
Effektivtemperatur
Eichtheorie
Einstein-Ring
Einstein-Rosen- Brücke
Einstein-Tensor
Eisenlinie
Eklipse
Ekliptik
Ekpyrotisches Modell
Elektromagnetismus
Elektronenvolt
elektroschwache Theorie
Elementarladung
Energie
Energiebedingungen
Energie-Impuls-Tensor
Entfernungsmodul
eos
eos-Parameter
Epizykel
Ereignishorizont
erg
Ergosphäre
eV
Extinktion
Extradimension
extragalaktisch
extrasolar
extraterrestrisch
Exzentrizität
F
Falschfarbenbild
Fanaroff-Riley- Klassifikation
Faraday-Rotation
Farbindex
Farbladung
Farbsupraleitung
Feldgleichungen
Fermi-Beschleunigung
Fermionen
Fermionenstern
Fernparallelismus
Feynman-Diagramm
FFO
FIDO
Flachheitsproblem
FLRW-Kosmologie
Fluchtgeschwindigkeit
Frame-Dragging
f(R)-Gravitation
Friedmann-Weltmodell
G
Galaktischer Schwarz-Loch-Kandidat
Galaxie
Gamma Ray Burst
Gamma-Zerfall
Geodäte
Geometrisierte Einheiten
Geometrodynamik
Gezeitenkräfte
Gezeitenradius
Gluonen
Grad
Granulation
Gravastern
Gravitation
Gravitationskollaps
Gravitationskühlung
Gravitationslinse
Gravitationsradius
Gravitations- rotverschiebung
Gravitationswellen
Gravitomagnetismus
Graviton
GRBR
Große Vereinheitlichte Theorien
Gruppe
GUT
GZK-cutoff
H
Hadronen
Hadronen-Ära
Hamilton-Jacobi- Formalismus
Harvard-Klassifikation
Hauptreihe
Hawking-Strahlung
Hawking-Temperatur
Helizität
Helligkeit
Herbig-Haro- Objekt
Hertzsprung-Russell- Diagramm
Hierarchieproblem
Higgs-Teilchen
Hilbert-Raum
Hintergrundmetrik
Hintergrundstrahlung
HLX
HMXB
Holostern
Homogenitätsproblem
Horizont
Horizontproblem
Horn-Universum
Hubble-Gesetz
Hubble-Klassifikation
Hubble-Konstante
Hydrodynamik
hydrostatisches Gleichgewicht
Hyperladung
Hypernova
Hyperonen
I
IC
Inertialsystem
Inflation
Inflaton
intergalaktisch
intermediate-mass black hole
interplanetar
interstellar
Isometrien
Isospin
Isotop
ITER
J
Jahreszeiten
Jansky
Jeans-Masse
Jet
K
Kaluza-Klein-Theorie
Kaup-Grenzmasse
Kaonen
Kataklysmische Veränderliche
Keine-Haare- Theorem
Kepler-Gesetze
Kerr-de-Sitter- Lösung
Kerr-Lösung
Kerr-Newman- de-Sitter- Lösung
Kerr-Newman- Lösung
Kerr-Schild- Koordinaten
Killing-Felder
Killing-Tensor
K-Korrektur
Koinzidenzproblem
Kollapsar
Kompaktes Objekt
Kompaktheit
Kompaktifizierung
Kompaneets-Gleichung
konforme Transformation
Kongruenz
Koordinatensingularität
Kopenhagener Deutung
Korona
Korrespondenzprinzip
Kosmische Strahlung
Kosmische Strings
Kosmographie
Kosmologie
Kosmologische Konstante
Kosmologisches Prinzip
kovariante Ableitung
Kovarianzprinzip
Kreisbeschleuniger
Kretschmann-Skalar
Krümmungstensor
Kruskal-Lösung
Kugelsternhaufen
L
Laborsystem
Ladung
Lagrange-Punkte
Lambda-Universum
Lapse-Funktion
Laserleitstern
Lense-Thirring- Effekt
Leptonen
Leptonen-Ära
Leptoquarks
Leuchtkraft
Leuchtkraftdistanz
Levi-Civita- Zusammenhang
Licht
Lichtjahr
Lichtkurve
Lie-Ableitung
Linearbeschleuniger
LINER
Linienelement
LIRG
LMXB
LNRF
Lokale Gruppe
Loop-Quantengravitation
Lorentz-Faktor
Lorentzgruppe
Lorentzinvarianz
Lorentz-Kontraktion
Lorentz-Transformation
Lundquist-Zahl
Luxon
M
Machscher Kegel
Machsches Prinzip
Machzahl
Magnetar
magnetische Rotationsinstabilität
Magnetohydrodynamik
Magnitude
marginal gebundene Bahn
marginal stabile Bahn
Markariangalaxie
Maxwell-Tensor
Membran-Paradigma
Mesonen
Metall
Metrik
Mikroblazar
Mikrolinse
Mikroquasar
Milchstraße
Minkowski-Metrik
Missing-Mass- Problem
mittelschwere Schwarze Löcher
MOND
Monopolproblem
Morphismus
M-Theorie
Myonen
N
Neutrino
Neutronenreaktionen
Neutronenstern
Newtonsche Gravitation
No-Hair-Theorem
Nova
Nukleon
Nukleosynthese
Nullgeodäte
O
Öffnung
Olbers-Paradoxon
O-Prozess
Oppenheimer-Volkoff- Grenze
optische Tiefe
Orthogonalität
P
Paradoxon
Paralleluniversum
Parsec
partielle Ableitung
Pauli-Prinzip
Penrose-Diagramm
Penrose-Prozess
Pentaquark
Periastron
Perigäum
Perihel
periodisch
persistent
Petrov-Klassifikation
PG1159-Sterne
Phantom-Energie
Photon
Photonenorbit
Photosphäre
Pion
Pioneer-Anomalie
Planck-Ära
Planckscher Strahler
Planck-Skala
Planet
Planetarische Nebel
Poincarégruppe
Poincaré- Transformation
Polytrop
Population
Post-Newtonsche Approximation
Poynting-Fluss
pp-Kette
p-Prozess
Prandtl-Zahl
primordiale Schwarze Löcher
Prinzip minimaler gravitativer Kopplung
Protostern
Pseudo-Newtonsche Gravitation
Pulsar
Pulsierendes Universum
Pyknonukleare Reaktionen
Q
QPO
Quant
Quantenchromodynamik
Quantenelektrodynamik
Quantenfeldtheorie
Quantengravitation
Quantenkosmologie
Quantenschaum
Quantensprung
Quantentheorie
Quantenvakuum
Quantenzahlen
Quark-Ära
Quark-Gluonen- Plasma
Quarks
Quarkstern
Quasar
quasi-periodisch
Quasi-periodische Oszillationen
Quelle
Quintessenz
R
Radioaktivität
Radiogalaxie
Radion
Randall-Sundrum- Modelle
Randverdunklung
Raumzeit
Rayleigh-Jeans- Strahlungsformel
Ray Tracing
Reichweite
Reionisation
Reissner-Nordstrøm- de-Sitter- Lösung
Reissner-Nordstrøm- Lösung
Rekombination
relativistisch
Relativitätsprinzip
Relativitätstheorie
Renormierung
Reverberation Mapping
Reynolds-Zahl
RGB-Bild
Ricci-Tensor
Riemann-Tensor
Ringsingularität
Robertson-Walker- Metrik
Robinson-Theorem
Roche-Volumen
Röntgendoppelstern
Roter Riese
Roter Zwerg
Rotverschiebung
Rotverschiebungsfaktor
r-Prozess
RRAT
RR Lyrae-Sterne
Ruhesystem
S
Schallgeschwindigkeit
scheinbare Größe
Schleifen- Quantengravitation
Schwache Wechselwirkung
Schwarzer Körper
Schwarzer Zwerg
Schwarzes Loch
Schwarzschild-de-Sitter- Lösung
Schwarzschild-Lösung
Schwarzschild-Radius
Schwerkraft
Seltsamer Stern
Seltsamkeit
Seyfert-Galaxie
Singularität
skalares Boson
SNR
Soft Gamma-Ray Repeater
Sonne
Spektraltyp
Spezialität
Spezielle Relativitätstheorie
Spin
Spin-Netzwerk
Spinschaum
Spin-Statistik-Theorem
Spintessenz
s-Prozess
Standardkerzen
Standardmodell
Standardscheibe
Starke Wechselwirkung
Statisches Universum
Staubtorus
Stefan-Boltzmann- Gesetz
stellare Schwarze Löcher
Stern
Sternentstehung
Strange Star
Stringtheorien
Subraum
Supergravitation
supermassereiche Schwarze Löcher
Supernova
Supernovaremnant
Superstringtheorie
Supersymmetrie
Symbiotische Sterne
Symmetrie
Symmetriebrechung
Symmetriegruppe
Synchrotron
Synchrotronstrahlung
Synchrozyklotron
T
Tachyon
Tagbogen
Tardyon
Teilchen
Teilchenbeschleuniger
Tensorboson
Tensoren
Tetraden
Tetraquark
TeVeS
Thermodynamik
thermonukleare Fusion
Tiefenfeldbeobachtung
Tierkreis
TNO
Topologie
topologische Defekte
Torsionstensor
Trägheit
transient
Transit
Triple-Alpha-Prozess
T Tauri Stern
Tunneleffekt
U
ULIRG
ULX
Unifikation
Unitarität
Universum
Unruh-Effekt
Urknall
V
Vakuum
Vakuumstern
Vektorboson
Velapulsar
Veränderliche
Vereinheitlichung
Viele-Welten- Theorie
VLA
VLBI
VLT
VLTI
Voids
VSOP
W
Walker-Penrose- Theorem
Weakonen
Weinberg-Winkel
Weiße Löcher
Weißer Zwerg
Wellenfunktion
Weylsches Postulat
Weyl-Tensor
Wheeler-DeWitt- Gleichung
Wiensche Strahlungsformel
Wilson-Loop
WIMP
Wolf-Rayet-Stern
w-Parameter
Wurmlöcher
X
X-Bosonen
X-Kraft
X-ray burster
Y
Y-Bosonen
Yerkes- Leuchtkraftklassen
YSO
Yukawa-Potential
Z
ZAMO
Zeit
Zeitdilatation
Zodiakallicht
Zustandsgleichung
Zustandsgröße
Zwerge
Zwergplanet
Zwillingsparadoxon
Zyklisches Universum
Zyklotron