start


Start
Web-Artikel
Lexikon
Vorträge
Ausbildung
Essays
Rhetorik
Links
Autor
Kontakt

Lexikon - K 2 Lexikon - K 4

Astro-Lexikon K 3


pdf KK
pdf A-ZA-Z

Kerr-Schild-Koordinaten

Kerr-Schild-Koordinaten sind eine mögliche Realisierung für ein Koordinatensystem um rotierende Schwarze Löcher zu beschreiben. Rotierende, elektrisch neutrale Löcher werden im Rahmen der Allgemeinen Relativitätstheorie mit der Kerr-Lösung dargestellt. Die Kerr-Schild-Koordinaten sind die (vor allem numerisch) günstigere Alternative zu den Boyer-Lindquist-Koordinaten. Beide Koordinatensysteme sind pseudo-sphärisch und asymptotisch flach.

Vorteil von Kerr-Schild

Ihr besonderer Vorteil gegenüber den Boyer-Lindquist-Koordinaten ist der Umstand, dass sich die Kerr-Schild-Koordinaten am Ereignishorizont, dem äußerem Horizont r+, und auf der Rotationsachse des Loches (θ = 0) 'gutartig verhalten', d.h. keine unangenehmen Divergenzen auftreten. Die Metrik bleibt damit auch numerisch beschreibbar, ohne dass 'Unendlichkeiten' auftauchen. Dies liegt daran, weil die Lapse-Funktion α der Boyer-Lindquist-Koordinaten durch eine Größe z ersetzt wurde. α wird am Horizont null und bewirkt damit für einen Außenbeobachter das bekannte 'Einfrieren' dynamischer Prozesse, hervorgerufen durch den Stillstand der Zeit (gravitative Zeitdilatation, Gravitationsrotverschiebung).

technische Details

Die Komponente grr des metrischen Tensors in Boyer-Lindquist-Form divergiert. Mithilfe der Größe z lässt sich das umgehen und die Randbedingung am (äußeren) Horizont numerisch sehr elegant formulieren. In der Äquatorialebene hat z für alle Löcher (unabhängig von der Rotation!) das Verhalten 2/r. Bei r = 0 divergiert demnach auch die z-Funktion. Am äußeren Horizont bleibt sie hingegen endlich und wird in relativistischen Einheiten am Äquator exakt zwei für die Kerr-Lösung und exakt eins für die Schwarzschild-Lösung. An den Polen des Ereignishorizonts wiederum wird z = 1 bei Kerr und Schwarzschild.
Die Kerr-Schild-Koordinaten können hier abgerufen werden: metrischer Tensor der Kerr-Geometrie in Kerr-Schild-Form sowie darin enthaltene Kerr-Schild-Funktionen (Quelle: S.S. Komissarov 2004, astro-ph/0402403). Wie man schnell erkennt, weist der metrische Tensor in Kerr-Schild-Koordinaten mehr Komponenten auf (exakt zwei Nebendiagonalelemente mehr plus ihrem symmetrischen Pendant), als in Boyer-Lindquist-Koordinaten. Das könnte erklären, weshalb häufig letztgenannte Koordinaten bevorzugt werden.

Motivation für Kerr-Schild

Weil die Kerr-Schild-Koordinaten kein pathologisches Verhalten an den Horizonten der Kerr-Lösung zeigen, kann es von Vorteil sein, sie in Computersimulationen (z.B. Hydrodynamik oder Magnetohydrodynamik) zu verwenden.

Killing-Felder

Killing-Gleichung mit Killing-Vektorfeldern X Die Killing-Felder sind Lösungen der Killing-Gleichung und beschreiben die Symmetrie einer Raumzeit. Man gewinnt die Killing-Felder aus der Betrachtung von Isometrien. Ihre Kenntnis erleichtert die analytische Behandlung und das Verständnis der Eigenschaften einer Metrik sehr! Außerdem können Killing-Felder im Rahmen der Numerischen Relativistik der Klassifikation von Raumzeiten dienen.

Killing-Tensor

Die Existenz des symmetrischen Killing-Tensors ergibt sich aus dem Theorem von Walker und Penrose (1970). Aus dessen zweifacher Verjüngung, die erhalten ist, ergibt sich der kompletten Satz Photonenimpulse im ZAMO und die Carter-Konstante (B. Carter 1968).
Bei der Betrachtung der Dirac-Theorie in der Kerr-Geometrie ist eine tiefere Einsicht in die Theorie möglich: Killing-Yano-Tensoren geben Aufschluss über Bewegungskonstanten. Der symmetrische Tensor heißt Killing-Tensor, während der antisymmetrische Yano-Tensor genannt wird. Neuerdings wird ein Zusammenhang mit der Supersymmetrie (SUSY) hergestellt. Eine relativistische Punkt-Ladung wird dazu in die Supersymmetrie eingebettet, um die Symmetrieeigenschaften von Raumzeiten und elektromagnetischen Felder zu studieren und einen Zusammenhang zu Superinvarianten herzustellen.

K-Korrektur

Die K-Korrektur ist ein Auswertungsmethode bei Spektren von Quellen mit hoher kosmologischer Rotverschiebung. Insbesondere ist die K-Korrektur nötig bei der Datenanalyse von Supernova Typ Ia, um sie als Standardkerzen verwenden zu können.

Der kosmologische Rotverschiebungseffekt

Die kosmologische Rotverschiebung ist ein Effekt der Allgemeinen Relativitätstheorie und ist physikalisch bedingt durch die Expansion des Universums. Wenn die Strahlung sehr weit entfernter Himmelsobjekte bei der Erde (dem Laborsystem) ankommt, ist sie einerseits zum roten Ende des Spektrums hin verschoben und andererseits auch in ihrer Intensität abgeschwächt. Damit sieht die beobachtete Strahlung ganz anders aus als am Emissionsort (im so genannten Ruhesystem).

Folgen für astronomische Beobachtungen

Das verfälscht astronomische Messungen, sowohl in Spektroskopie, als auch Photometrie. In der Astronomie werden bestimmte Filter verwendet (siehe dazu unter Helligkeit), also eine instrumentelle Anordnung, die nur ein bestimmtes Frequenzband registriert. Alles, was außerhalb des Filters an Strahlung ankommt, wird nicht beobachtet.
Die kosmologische Rotverschiebung verschiebt nun ein spektrales Merkmal, z.B. eine Spektrallinie, zum Roten hin und kann im Extremfall dazu führen, dass das Merkmal außerhalb des Filters liegt.

Funktion der K-Korrektur

Genau diesen Effekt gleicht die K-Korrektur aus. Im Allgemeinen hängt die K-Korrektur von der kosmologischen Rotverschiebung z und von der Farbe bzw. vom Spektrum des hochrotverschobenen Emitters ab.

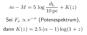
K-Korrektur im Distanzmodul bei Potenzspektrum

wichtiger Spezialfall: Potenzspektrum

Die Gleichungen oben zeigen den wesentlichen Fall eines Potenzspektrums des Emitters. Die erste Gleichung zeigt den Distanzmodul, hier allerdings korrigiert um die K-Korrektur im letzten Term K(z). Außerdem wird wie in der Kosmologie üblich die Leuchtkraftdistanz dL verwendet. In der zweiten Zeile steckt die Voraussetzung eines Potenzspektrums, d.h. der spektrale Fluss Fν kann als Funktion der Frequenz ν in Form eines Potenzgesetzes ausgedrückt werden. Dabei wird α spektraler Index genannt und parametrisiert die Steigung (engl. slope) des Spektrums.
Wie nun das Ergebnis der Berechnung der K-Korrektur (aus Vorlesungsskript Cosmology von Matthias Bartelmann, ZAH Heidelberg, 2005) ergibt, hat die K-Korrektur ein relativ einfache Gestalt: Der Term K(z) wird positiv für α > 1 (steile Spektren) und negativ für α < 1 (flache Spektren). Die z-Abhängigkeit der K-Korrektur zeigt, dass sie (wie zu erwarten ist) besonders wichtig für große Werte von z wird.

Lesehinweis

Koinzidenzproblem

Eine Koinzidenz bezeichnet generell das gleichzeitige Auftreten zweier oder mehrere Ereignisse. Das Koinzidenzproblem tritt nun speziell in der Kosmologie auf und bezieht sich auf die erstaunliche Beobachtung, dass die Anteile von Dunkler Energie und Dunkler Materie zufällig gerade die gleiche Größenordnung im lokalen Universum haben. Das drückt sich konkret dadurch aus, dass die dimensionslosen Dichteparameter der Kosmologie, ΩΛ für die Dunkle Energie und Ωm für die Dunkle Materie, nur um etwa einen Faktor drei verschieden sind.

Beobachtungsdaten

In der modernen Kosmologie gibt mittlerweile viele Modelle für Dunkle Energien. Die aktuellen Beobachtungsdaten der Astronomie, vor allem sehr weit entfernte, explodierende Weiße Zwerge (Supernovae Typ Ia), legen eine zeitlich konstante Form Dunkler Energie in Gestalt der kosmologischen Konstante Λ nahe: Die Supernovadaten, die mit dem Weltraumteleskop Hubble gemessen wurden, besagen, dass kosmologische Konstante schon vor 9 Mrd. Jahren den aktuellen, lokalen Wert hatte (Riess et al. 2006, STScI/NASA).

Verschärfung des Problems

Die favorisierte Interpretation der Dunklen Energie ist, dass sie ein Resultat des überall fein verteilten Quantenvakuums ist. Diese Interpretation klingt reizvoll, entpuppt sich bei der konkreten Berechnung mittels der Quantenfeldtheorie als problematisch, weil Beobachtung und Theorie um 120 Größenordnungen auseinander liegen! Die Hypothese vom Quantenvakuum ist auch deshalb problematisch, weil es nicht einsichtig ist, warum der Anteil des Quantenvakuums sich zeitlich während der Entwicklung des Universums ändern sollte - hier mag die aktuelle Forschung in den Quantenfeldtheorien und der Kosmologie (Astroteilchenphysik) neue Einsichten bringen.

Die Lösung

Das Koinzidenzproblem kann gelöst werden, wenn man zulässt, dass die Dunkle Energie zeitlich variabel oder anders gesagt eine Funktion der kosmologischen Rotverschiebung z ist. Inzwischen gibt es in der Kosmologie viele Modelle, die dieser Forderung gerecht werden: sie heißen z.B. Quintessenzen, aber auch andere Modelle wie das Radion oder die Phantom-Energie wurden vorgeschlagen (sämtliche Formen werden im Eintrag Dunkle Energie vorgestellt).
Die aktuellen Beobachtungen besagen jedoch, dass wenn die Dunkle Energie wirklich variabel ist, dann kann sie es nur in den ersten vier Milliarden Jahren des Universums gewesen sein. Danach wurde sie konstant oder entwickelt sich nur noch extrem langsam.

w wie warum eigentlich nicht?

Die Kosmologen drücken die Form der Dunklen Energie und ihre Zeitabhängigkeit sehr elegant durch den so genannten w-Parameter aus: w ist gerade das Verhältnis von Druck und Energiedichte (c = 1) der jeweiligen Dunklen Energie. Die Zeit- oder äquivalent Rotverschiebungsabhängigkeit drücken die Kosmologen mit w' = ∂w/∂z aus. Für die kosmologische Konstante gilt z.B. w = -1 und w' = 0. Für typische Quintessenz-Modelle gilt hingegen w = -1/3 und w' ≠ 0.

pdf KK
pdf A-ZA-Z

nach oben

Lexikon - K 2 Lexikon - K 4


Start - Web-Artikel - Lexikon - Vorträge - Ausbildung - Essays - Rhetorik - Links - Autor - Kontakt
Andreas Müller © Andreas Müller, August 2007

Index

A
Abbremsparameter
ADAF
ADD-Szenario
ADM-Formalismus
AdS/CFT-Korrespondenz
AGB-Stern
Äquivalenzprinzip
Akkretion
Aktiver Galaktischer Kern
Alfvén-Geschwindigkeit
Alfvén-Zahl
Allgemeine Relativitätstheorie
Alpha-Zerfall
AMR
anthropisches Prinzip
Antigravitation
Antimaterie
Apastron
Apertursynthese
Aphel
Apogäum
Astronomie
Astronomische Einheit
asymptotisch flach
Auflösungsvermögen
Axion
AXP
B
Balbus-Hawley- Instabilität
Bardeen-Beobachter
Baryogenese
Baryonen
baryonische Materie
Bekenstein-Hawking- Entropie
Beobachter
Beta-Zerfall
Bezugssystem
Bianchi-Identitäten
Big Bang
Big Bounce
Big Crunch
Big Rip
Big Whimper
Birkhoff-Theorem
Blandford-Payne- Szenario
Blandford-Znajek- Mechanismus
Blauverschiebung
Blazar
BL Lac Objekt
Bogenminute
Bogensekunde
Bosonen
Bosonenstern
Boyer-Lindquist- Koordinaten
Bran
Brans-Dicke- Theorie
Brauner Zwerg
Brill-Wellen
Bulk
C
Carter-Konstante
Casimir-Effekt
Cauchy-Fläche
Cepheiden
Cerenkov-Strahlung
Chandrasekhar-Grenze
Chaplygin-Gas
Chiralität
Christoffel-Symbol
CMB
CNO-Zyklus
Comptonisierung
Cosmon
C-Prozess
D
Deep Fields
Derricks Theorem
de-Sitter- Kosmos
DGP-Szenario
Diffeomorphismus
differenzielle Rotation
Distanzmodul
Dodekaeder-Universum
Doppler-Effekt
Drei-Kelvin-Strahlung
Dunkle Energie
Dunkle Materie
E
Eddington-Finkelstein- Koordinaten
Eddington-Leuchtkraft
Effektivtemperatur
Eichtheorie
Einstein-Ring
Einstein-Rosen- Brücke
Einstein-Tensor
Eisenlinie
Eklipse
Ekliptik
Ekpyrotisches Modell
Elektromagnetismus
Elektronenvolt
elektroschwache Theorie
Elementarladung
Energie
Energiebedingungen
Energie-Impuls-Tensor
Entfernungsmodul
eos
eos-Parameter
Epizykel
Ereignishorizont
erg
Ergosphäre
eV
Extinktion
Extradimension
extragalaktisch
extrasolar
extraterrestrisch
Exzentrizität
F
Falschfarbenbild
Fanaroff-Riley- Klassifikation
Faraday-Rotation
Farbindex
Farbladung
Farbsupraleitung
Feldgleichungen
Fermi-Beschleunigung
Fermionen
Fermionenstern
Fernparallelismus
Feynman-Diagramm
FFO
FIDO
Flachheitsproblem
FLRW-Kosmologie
Fluchtgeschwindigkeit
Frame-Dragging
f(R)-Gravitation
Friedmann-Weltmodell
G
Galaktischer Schwarz-Loch-Kandidat
Galaxie
Gamma Ray Burst
Gamma-Zerfall
Geodäte
Geometrisierte Einheiten
Geometrodynamik
Gezeitenkräfte
Gezeitenradius
Gluonen
Grad
Granulation
Gravastern
Gravitation
Gravitationskollaps
Gravitationskühlung
Gravitationslinse
Gravitationsradius
Gravitations- rotverschiebung
Gravitationswellen
Gravitomagnetismus
Graviton
GRBR
Große Vereinheitlichte Theorien
Gruppe
GUT
GZK-cutoff
H
Hadronen
Hadronen-Ära
Hamilton-Jacobi- Formalismus
Harvard-Klassifikation
Hauptreihe
Hawking-Strahlung
Hawking-Temperatur
Helizität
Helligkeit
Herbig-Haro- Objekt
Hertzsprung-Russell- Diagramm
Hierarchieproblem
Higgs-Teilchen
Hilbert-Raum
Hintergrundmetrik
Hintergrundstrahlung
HLX
HMXB
Holostern
Homogenitätsproblem
Horizont
Horizontproblem
Horn-Universum
Hubble-Gesetz
Hubble-Klassifikation
Hubble-Konstante
Hydrodynamik
hydrostatisches Gleichgewicht
Hyperladung
Hypernova
Hyperonen
I
IC
Inertialsystem
Inflation
Inflaton
intergalaktisch
intermediate-mass black hole
interplanetar
interstellar
Isometrien
Isospin
Isotop
ITER
J
Jahreszeiten
Jansky
Jeans-Masse
Jet
K
Kaluza-Klein-Theorie
Kaup-Grenzmasse
Kaonen
Kataklysmische Veränderliche
Keine-Haare- Theorem
Kepler-Gesetze
Kerr-de-Sitter- Lösung
Kerr-Lösung
Kerr-Newman- de-Sitter- Lösung
Kerr-Newman- Lösung
Kerr-Schild- Koordinaten
Killing-Felder
Killing-Tensor
K-Korrektur
Koinzidenzproblem
Kollapsar
Kompaktes Objekt
Kompaktheit
Kompaktifizierung
Kompaneets-Gleichung
konforme Transformation
Kongruenz
Koordinatensingularität
Kopenhagener Deutung
Korona
Korrespondenzprinzip
Kosmische Strahlung
Kosmische Strings
Kosmographie
Kosmologie
Kosmologische Konstante
Kosmologisches Prinzip
kovariante Ableitung
Kovarianzprinzip
Kreisbeschleuniger
Kretschmann-Skalar
Krümmungstensor
Kruskal-Lösung
Kugelsternhaufen
L
Laborsystem
Ladung
Lagrange-Punkte
Lambda-Universum
Lapse-Funktion
Laserleitstern
Lense-Thirring- Effekt
Leptonen
Leptonen-Ära
Leptoquarks
Leuchtkraft
Leuchtkraftdistanz
Levi-Civita- Zusammenhang
Licht
Lichtjahr
Lichtkurve
Lie-Ableitung
Linearbeschleuniger
LINER
Linienelement
LIRG
LMXB
LNRF
Lokale Gruppe
Loop-Quantengravitation
Lorentz-Faktor
Lorentzgruppe
Lorentzinvarianz
Lorentz-Kontraktion
Lorentz-Transformation
Lundquist-Zahl
Luxon
M
Machscher Kegel
Machsches Prinzip
Machzahl
Magnetar
magnetische Rotationsinstabilität
Magnetohydrodynamik
Magnitude
marginal gebundene Bahn
marginal stabile Bahn
Markariangalaxie
Maxwell-Tensor
Membran-Paradigma
Mesonen
Metall
Metrik
Mikroblazar
Mikrolinse
Mikroquasar
Milchstraße
Minkowski-Metrik
Missing-Mass- Problem
mittelschwere Schwarze Löcher
MOND
Monopolproblem
Morphismus
M-Theorie
Myonen
N
Neutrino
Neutronenreaktionen
Neutronenstern
Newtonsche Gravitation
No-Hair-Theorem
Nova
Nukleon
Nukleosynthese
Nullgeodäte
O
Öffnung
Olbers-Paradoxon
O-Prozess
Oppenheimer-Volkoff- Grenze
optische Tiefe
Orthogonalität
P
Paradoxon
Paralleluniversum
Parsec
partielle Ableitung
Pauli-Prinzip
Penrose-Diagramm
Penrose-Prozess
Pentaquark
Periastron
Perigäum
Perihel
periodisch
persistent
Petrov-Klassifikation
PG1159-Sterne
Phantom-Energie
Photon
Photonenorbit
Photosphäre
Pion
Pioneer-Anomalie
Planck-Ära
Planckscher Strahler
Planck-Skala
Planet
Planetarische Nebel
Poincarégruppe
Poincaré- Transformation
Polytrop
Population
Post-Newtonsche Approximation
Poynting-Fluss
pp-Kette
p-Prozess
Prandtl-Zahl
primordiale Schwarze Löcher
Prinzip minimaler gravitativer Kopplung
Protostern
Pseudo-Newtonsche Gravitation
Pulsar
Pulsierendes Universum
Pyknonukleare Reaktionen
Q
QPO
Quant
Quantenchromodynamik
Quantenelektrodynamik
Quantenfeldtheorie
Quantengravitation
Quantenkosmologie
Quantenschaum
Quantensprung
Quantentheorie
Quantenvakuum
Quantenzahlen
Quark-Ära
Quark-Gluonen- Plasma
Quarks
Quarkstern
Quasar
quasi-periodisch
Quasi-periodische Oszillationen
Quelle
Quintessenz
R
Radioaktivität
Radiogalaxie
Radion
Randall-Sundrum- Modelle
Randverdunklung
Raumzeit
Rayleigh-Jeans- Strahlungsformel
Ray Tracing
Reichweite
Reionisation
Reissner-Nordstrøm- de-Sitter- Lösung
Reissner-Nordstrøm- Lösung
Rekombination
relativistisch
Relativitätsprinzip
Relativitätstheorie
Renormierung
Reverberation Mapping
Reynolds-Zahl
RGB-Bild
Ricci-Tensor
Riemann-Tensor
Ringsingularität
Robertson-Walker- Metrik
Robinson-Theorem
Roche-Volumen
Röntgendoppelstern
Roter Riese
Roter Zwerg
Rotverschiebung
Rotverschiebungsfaktor
r-Prozess
RRAT
RR Lyrae-Sterne
Ruhesystem
S
Schallgeschwindigkeit
scheinbare Größe
Schleifen- Quantengravitation
Schwache Wechselwirkung
Schwarzer Körper
Schwarzer Zwerg
Schwarzes Loch
Schwarzschild-de-Sitter- Lösung
Schwarzschild-Lösung
Schwarzschild-Radius
Schwerkraft
Seltsamer Stern
Seltsamkeit
Seyfert-Galaxie
Singularität
skalares Boson
SNR
Soft Gamma-Ray Repeater
Sonne
Spektraltyp
Spezialität
Spezielle Relativitätstheorie
Spin
Spin-Netzwerk
Spinschaum
Spin-Statistik-Theorem
Spintessenz
s-Prozess
Standardkerzen
Standardmodell
Standardscheibe
Starke Wechselwirkung
Statisches Universum
Staubtorus
Stefan-Boltzmann- Gesetz
stellare Schwarze Löcher
Stern
Sternentstehung
Strange Star
Stringtheorien
Subraum
Supergravitation
supermassereiche Schwarze Löcher
Supernova
Supernovaremnant
Superstringtheorie
Supersymmetrie
Symbiotische Sterne
Symmetrie
Symmetriebrechung
Symmetriegruppe
Synchrotron
Synchrotronstrahlung
Synchrozyklotron
T
Tachyon
Tagbogen
Tardyon
Teilchen
Teilchenbeschleuniger
Tensorboson
Tensoren
Tetraden
Tetraquark
TeVeS
Thermodynamik
thermonukleare Fusion
Tiefenfeldbeobachtung
Tierkreis
TNO
Topologie
topologische Defekte
Torsionstensor
Trägheit
transient
Transit
Triple-Alpha-Prozess
T Tauri Stern
Tunneleffekt
U
ULIRG
ULX
Unifikation
Unitarität
Universum
Unruh-Effekt
Urknall
V
Vakuum
Vakuumstern
Vektorboson
Velapulsar
Veränderliche
Vereinheitlichung
Viele-Welten- Theorie
VLA
VLBI
VLT
VLTI
Voids
VSOP
W
Walker-Penrose- Theorem
Weakonen
Weinberg-Winkel
Weiße Löcher
Weißer Zwerg
Wellenfunktion
Weylsches Postulat
Weyl-Tensor
Wheeler-DeWitt- Gleichung
Wiensche Strahlungsformel
Wilson-Loop
WIMP
Wolf-Rayet-Stern
w-Parameter
Wurmlöcher
X
X-Bosonen
X-Kraft
X-ray burster
Y
Y-Bosonen
Yerkes- Leuchtkraftklassen
YSO
Yukawa-Potential
Z
ZAMO
Zeit
Zeitdilatation
Zodiakallicht
Zustandsgleichung
Zustandsgröße
Zwerge
Zwergplanet
Zwillingsparadoxon
Zyklisches Universum
Zyklotron