start


Start
Web-Artikel
Lexikon
Vorträge
Ausbildung
Essays
Rhetorik
Links
Autor
Kontakt

Lexikon - L 2 Lexikon - L 4

Astro-Lexikon L 3


pdf LL
pdf A-ZA-Z

Leuchtkraft

Die Leuchtkraft hat die Dimension einer Leistung, Energie pro Zeit, und ist in der Astronomie eine besonders wichtige Zustandsgröße. Im Speziellen ist die Leuchtkraft wesentlich, um in der Stellarphysik Sterne zu charakterisieren; aber Leuchtkräfte geben die Astronomen für alle möglichen kosmischen Objekte an, auch für Galaxien. Die typische Einheit der Leuchtkraft ist in der Astronomie erg/s, weil vor allem Theoretiker das cgs-System bevorzugen. Die Leuchtkraft (engl. luminosity) ist von der Definition der Helligkeit zu unterscheiden.

Was leuchtet da?

Oft beziehen die Astronomen die Leuchtkraft auf einen bestimmten Spektralbereich und sprechen beispielsweise von Radioleuchtkraft, Röntgenleuchtkraft oder Gammaleuchtkraft. Auch werden - etwas seltener - Leuchtkräfte auf Teilchen bezogen, z.B. Neutrinoleuchtkraft.

Leuchtkraft bei allen Farben

Zusammenhang zwischen absoluter bolometrischer Helligkeit und Leuchtkraft Die bolometrische Leuchtkraft, also die Leuchtkraft integriert über alle Spektralbereiche, folgt aus der bolometrischen Helligkeit (siehe erste Gleichung). Bei beiden Größen gibt es jedoch große Unsicherheiten zur exakten Bestimmung.

Leuchtkraft von Sternen

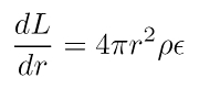
Die Leuchtkraft von Sternen folgt aus Sternmodellen. Eine fundamentale Gleichung der Stellarphysik setzt die Leuchtkraft einer Massenschale bekannter Dicke und Dichte in Bezug zur Energieproduktion in dieser Schale (siehe zweite Gleichung). produzierte Leuchtkraft in stellaren Massenschalen Kennt man die Energieproduktion (epsilon, Dimension: Energie pro Masse und pro Zeiteinheit) in Abhängigkeit von Dichte, Temperatur und chemischer Zusammensetzung (vergleiche auch thermonukleare Fusion), so lässt sich diese Gleichung über die Massenschale des Sterns integrieren und liefert die Leuchtkraft dieser Schale.

Leuchtkraft von wärmestrahlenden Kugeln

Beziehung zwischen Leuchtkraft, Radius und Effektivtemperatur eines SternsEine andere wichtige Gleichung erhält man, wenn man den Stern als Schwarzen Strahler (engl. black body) annimmt. Die strahlende Sternoberfläche mit Radius R möge gerade die Effektivtemperatur Teff. Dann folgt mit der Stefan-Boltzmann-Konstante σ, die einen Wert von 5.67 × 10-8 W m-2 K-4 hat, die dritte Gleichung. Sternradius und Effektivtemperatur oder äquivalent Spektraltyp führen so auf die Leuchtkraft eines Sterns.

Charakterisierung im Hertzsprung-Russell-Diagramm

Mit den beiden bekannten Zustandsgrößen Leuchtkraft und Effektivtemperatur (oder Spektraltyp) von vielen Sternen lässt sich das fundamentale Hertzsprung-Russell-Diagramm (HRD) der Sterne darstellen. Das HRD zeigt die Entwicklung von Sternen von ihrer Entstehung bis zu ihrem Ende, das möglicherweise zu einem kompakten Objekt führen kann. Es zeigt sich, dass sich beobachtete Sterne in verschiedenen Entwicklungsstadien befinden. Massereichere Sterne durchleben die stellare Entwicklung schneller, weil die thermonuklearen Prozesse im Innern effizienter sind und schneller den Brennstoff aufbrauchen. Massearme Sterne wie die Sonne hingegen können relativ lange in einem stationären Zustand auf der Hauptreihe verharren. Auch unterscheiden sich die Sterne darin, was als stabile Endkonfiguration nach den thermonuklearen Reaktionen übrig bleibt: Weiße Zwerge, Neutronensterne, Quarksterne, Seltsame Sterne, stellare Schwarze Löcher oder sogar Gravasterne sind dabei vermutete Kandidaten. Im Wesentlichen entscheidet die Masse des Sterns über sein Schicksal, weshalb sie als wichtigste Zustandsgröße angesehen werden muss.
Im HRD lassen sich die unterschiedlichen Entwicklungsstadien zu stellaren Entwicklungspfaden verknüpfen, die viel über die physikalischen Abläufe in Sternen während ihres 'Lebens' verraten.
In Sternmodellen unter Annahme bestimmter Zustandsgleichungen lassen sich so genannte Masse-Leuchtkraft-Beziehungen oder Temperatur-Leuchtkraft-Relationen ableiten. Auf diese Weise führt eine bekannte Zustandsgröße auf eine unbekannte Zustandsgröße, wenn die Relation Gültigkeit für den betrachteten Stern hat.

Leuchtkraft von Galaxien

In der Theorie der Galaxienentstehung und -entwicklung sowie in der Kosmologie ist man besonders an der Leuchtkraft von Galaxien interessiert. Es lässt sich also die Strahlung vieler Objekte (Sterne, Kugelsternhaufen, Kernregion etc.) in der Galaxie zu einem Wert subsumieren.
Im speziellen Fall elliptischer Galaxien (siehe Hubble-Klassifikation) fand de Vaucouleurs 1948 eine Helligkeitsverteilung, die einem R1/4-Gesetz folgt. Hier definiert man den Effektivradius Reff, der die Hälfte der Gesamtleuchtkraft enthält. Bei bekannten morphologischen Parametern der Ellipse, den Halbachsen a und b, kann man bei bekanntem Effektivradius und zugeordneter Helligkeit an diesem Radius, Ieff, die Gesamtleuchtkraft gemäß folgender Gleichung bestimmen:

Leuchtkraft einer elliptischen Galaxie

Leuchtkraftfunktionen

Von besonderem Interesse ist die so genannte Leuchtkraftfunktion. Sie gibt an, wie viele Galaxien in einem gegebenen Volumen in einem bestimmten Leuchtkraftintervall liegen. Schlechter hat 1976 dafür eine empirische Formel gefunden, die unterhalb einer charakteristischen Leuchtkraft ein Potenzverhalten und oberhalb einen exponentiellen Abfall zeigt.
Die größten Leuchtkräfte zeigen erwartungsgemäß die Aktiven Galaktischen Kerne (AGN). Diese enormen Leuchtkräfte lassen die AGN auch auf kosmologischen Skalen (Rotverschiebungen z = 1 bis 6) noch beobachten. Theoretisch erklärt man diese gewaltigen Strahlungsemissionen mit der Akkretion interstellarer Materie der Wirtsgalaxie auf ein supermassereiches Schwarzes Loch im Zentrum des AGN. Nur dieser Mechanismus leistet eine effiziente Umwandlung von Ruheenergie des Plasmas in Strahlungsenergie!

Leuchtkraftdistanz

Die Leuchtkraftdistanz oder Leuchtkraftentfernung ist das geeignete Entfernungsmaß in der relativistischen Kosmologie. Die üblichen Definitionen für Entfernung versagen in der Allgemeinen Relativitätstheorie, weil die Begriffe von Gleichzeitigkeit und absolutem Raum in Einsteins Theorie nicht mehr gelten. Die Raumzeit des Universums ist dynamisch, so dass Distanzen zu weit entfernten, kosmischen Objekten nicht zeitlich konstant bleiben. Die Expansion des Kosmos bewirkt eine kosmologische Rotverschiebung und kosmologische Zeitdilatation. Das erfordert einen neuen Entfernungsbegriff, nämlich die Leuchtkraftdistanz. Dieses Entfernungsmaß nutzen Astronomen, die sich mit hochrotverschobenen Quellen befassen, z.B. mit Supernova vom Typ Ia oder entfernten Aktiven Galaktischen Kernen.

Definition der Leuchtkraftentfernung

Definition der Leuchtkraftentfernung Im Euklidischen Raum nimmt die Helligkeit einer kosmischen Quelle, die in alle Richtungen gleich (isotrop) hell abstrahlen möge, aus rein geometrischen Gründen mit dem Abstandsquadrat ab. Anschaulich liegt das daran, weil sich die Strahlung auf einer Kugelfläche verteilen muss. Die Kugelfläche nimmt mit dem Abstandsquadrat zu - entsprechend nimmt die Strahlungsintensität bzw. der Strahlungsfluss ab.
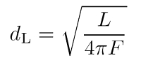
In Einsteins Kosmos kommen zu dieser geometrischen Helligkeitsabnahme die kosmologische Rotverschiebung und Zeitdilatation dazu. Sie hängen vom Entwicklungszustand des dynamischen Kosmos ab. Deshalb hängt im Allgemeinen die Leuchtkraftdistanz von den Parametern des jeweiligen Friedmann-Weltmodells ab. Der Definition im Euklidischen Raum folgend, definieren Astronomen die Leuchtkraftdistanz gemäß der Gleichung rechts, wobei L die Leuchtkraft (eine Art intrinsische Helligkeit) und F der beobachtete totale Strahlungsfluss sind. Die Abhängigkeit der Leuchtkraftentfernung von der kosmologischen Rotverschiebung steckt hier im beobachteten Fluss.

Berechnung der Leuchtkraftentfernung

Für FLRW-Universen mit verschwindender kosmologischer Konstante bietet sich die so genannte Mattig-Formel (nach W. Mattig 1958) an, die eine handliche Gleichung zur Berechnung der Leuchtkraftdistanz ist. Leider wird die Berechnung in ΛCDM-Universen (Friedmann-Weltmodells mit kosmologischer Konstante) komplizierter. Hier muss ein Integral ausgewertet werden, das der Standardliteratur für Kosmologie zu entnehmen ist. Oder man verwendet das Web-Tool des Kosmologen Ned Wright (s.u.)
Im Grenzfall z « 1 identifiziert man die Leuchtkraftentfernung mit der Entfernung im Hubble-Gesetz.

Web-Tool zur Berechnung der Leuchtkraftdistanz

  • Ned Wrights Web-Tool zur Berechnung von Zeiten und Entfernungen in der Kosmologie
Levi-Civita-Zusammenhang

Eine andere Bezeichnung für das Christoffel-Symbol.

Licht

Licht ist eine elektromagnetische Energieform. Sie breitet sich im Vakuum mit der Vakuumlichtgeschwindigkeit c von knapp 300 000 km/s aus; genau: 2.99792458 × 108 m/s. Im Prinzip ist die Reichweite von Licht unendlich, doch Licht tritt in der Regel in Wechselwirkung mit Materie, z.B. durch Beugung, Brechung, Streuung, Absorption, Emission.
Damit vermag Licht über große Entfernungen Energie und Information zu transportieren.

geometrische Optik & Wellenoptik

Die klassische, physikalische Disziplin, die sich mit Licht befasst ist die Optik. Ohne genau zu wissen, was eigentlich die Natur des Lichts ist, wird Licht als Lichtstrahl (geometrische Optik) oder als Lichtwelle (Wellenoptik) rein geometrisch beschrieben. Dieser relativ einfache mathematische Apparat ist mächtig und gestattet eine Fülle von Lichtphänomenen zu beschreiben, z.B. Brechung und Beugung.

Farben des Lichts

Im engeren Sinne meint Licht nur den für Menschen sichtbaren Teil des elektromagnetischen Spektrums. Das beginnt bei kurzen Wellenlängen (hohen Lichtenergien) im Violetten und geht über die Farben blau, grün, gelb, orange bis ins Rote. Allgemeiner gesprochen gibt es Licht in vielen Farben, als Radio-, Wärme-, optische, Ultraviolett-, Röntgen- und Gammastrahlung.
Diese vielfältigen Formen des Lichts machen klar, wie wesentlich Licht für die Astronomie ist. Die klassische, beobachtende Astronomie war optisch. Erst nach und nach öffneten sich die anderen Beobachtungsfenster der Astronomie - einerseits durch das allmähliche Verständnis über die Natur des Lichts; andererseits durch den technologischen Fortschritt, der es ermöglichte Licht einzufangen und so Bilder herzustellen.

Rolle des Lichts

Licht ist in vielerlei Hinsicht von fundamentaler Wichtigkeit:

  • Ohne Licht keine Helligkeit.
  • Ohne Licht keine Wärme.
  • Ohne Licht keine Photosynthese.
  • Ohne Licht kein Leben.
  • Ohne Licht keine Information.
  • Ohne Licht keine Astronomie.

Licht im Lichte der großen physikalischen Theorien des 20. Jahrhunderts

Gemäß der Speziellen Relativitätstheorie ist die Geschwindigkeit des Lichts im Vakuum die absolute Grenzgeschwindigkeit für Information.
Gemäß der Allgemeinen Relativitätstheorie breitet sich Licht auf Nullgeodäten in einer im Allgemeinen gekrümmten Raumzeit aus.
Gemäß der Quantentheorie ist Licht quantisiert in Lichtteilchen, den Photonen.
Gemäß der Quantenelektrodynamik, einer Quantenfeldtheorie des Lichts, sind die Photonen Austauschteilchen (Eichbosonen) der elektromagnetischen Kraft.

Weiter mit...

...dem Lexikoneintrag Photonen, der viel Wissenswertes über Licht enthält.

Lichtjahr

Eine sehr gebräuchliche Einheit in der Astronomie zur Angabe von Entfernungen (keine Zeiteinheit!). Ein Lichtjahr, deutschsprachig abgekürzt mit Lj, international mit lyr (engl. light year), ist definiert als die Wegstrecke, die Licht oder Strahlung generell im Vakuum in einem Jahr zurücklegt. Weil die Vakuumlichtgeschwindigkeit c mit 299.792458 Millionen m/s sehr groß ist, ist ein Lichtjahr eine sehr große Distanz für irdische Verhältnisse, nämlich in vertrauten Einheiten 9.4605 Billionen km! Astronomisch gesehen ist ein Lichtjahr keine besonders große Distanz.

Beispiele

  • Der nächste Stern zur Sonne, Proxima Centauri, die C-Komponente des hellen Sterns α Centauri, ist 4.3 Lj entfernt;
  • Die Milchstraße, unsere Heimatgalaxie, hat einen Durchmesser von etwa 100000 Lj und ihr Zentrum ist von uns aus etwa 26 000 Lj entfernt;
  • Unsere Nachbargalaxie, der Andromedanebel ist 2.2 Millionen Lj entfernt und vermutlich das am weitesten entfernte Objekt, das man noch mit bloßem Auge ausmachen kann. Trotzdem ist es lediglich ein Angehöriger unseres an sich unscheinbaren Galaxienhaufens, der lokalen Gruppe.
  • Der nächste Galaxienhaufen zur lokalen Gruppe, auf den sie sich auch zubewegt, der Virgo-Haufen, ist etwa 52 Millionen Lj entfernt.
  • Und schließlich ist das aktuell bestimmte Alter des Universums bei knapp 14 Milliarden Jahren, aber die Größe (der so genannte Teilchenhorizont) liegt bei 27.1 Mrd. Lj. für ein flaches und strahlungsdominiertes Universum.

abgeleitete und andere Größen

Es gibt abgeleitete Größen zum Lichtjahr auf kleineren Längenskalen, wie die Lichtsekunde, Lichtminuten, Lichtstunden, Lichttage und Lichtmonate, mit analoger Definition. So sind der Mond gerade eine Lichtsekunde (etwa 300 000 km) und die Sonne 8 Lichtminuten entfernt. Auf diesen Skalen wird dann die Astronomische Einheit (AU) gebräuchlicher.
Ein geometrisch definiertes, alternatives Längenmaß ist die Parallaxensekunde (Parsec, pc).

pdf LL
pdf A-ZA-Z

nach oben

Lexikon - L 2 Lexikon - L 4


Start - Web-Artikel - Lexikon - Vorträge - Ausbildung - Essays - Rhetorik - Links - Autor - Kontakt
Andreas Müller © Andreas Müller, August 2007

Index

A
Abbremsparameter
ADAF
ADD-Szenario
ADM-Formalismus
AdS/CFT-Korrespondenz
AGB-Stern
Äquivalenzprinzip
Akkretion
Aktiver Galaktischer Kern
Alfvén-Geschwindigkeit
Alfvén-Zahl
Allgemeine Relativitätstheorie
Alpha-Zerfall
AMR
anthropisches Prinzip
Antigravitation
Antimaterie
Apastron
Apertursynthese
Aphel
Apogäum
Astronomie
Astronomische Einheit
asymptotisch flach
Auflösungsvermögen
Axion
AXP
B
Balbus-Hawley- Instabilität
Bardeen-Beobachter
Baryogenese
Baryonen
baryonische Materie
Bekenstein-Hawking- Entropie
Beobachter
Beta-Zerfall
Bezugssystem
Bianchi-Identitäten
Big Bang
Big Bounce
Big Crunch
Big Rip
Big Whimper
Birkhoff-Theorem
Blandford-Payne- Szenario
Blandford-Znajek- Mechanismus
Blauverschiebung
Blazar
BL Lac Objekt
Bogenminute
Bogensekunde
Bosonen
Bosonenstern
Boyer-Lindquist- Koordinaten
Bran
Brans-Dicke- Theorie
Brauner Zwerg
Brill-Wellen
Bulk
C
Carter-Konstante
Casimir-Effekt
Cauchy-Fläche
Cepheiden
Cerenkov-Strahlung
Chandrasekhar-Grenze
Chaplygin-Gas
Chiralität
Christoffel-Symbol
CMB
CNO-Zyklus
Comptonisierung
Cosmon
C-Prozess
D
Deep Fields
Derricks Theorem
de-Sitter- Kosmos
DGP-Szenario
Diffeomorphismus
differenzielle Rotation
Distanzmodul
Dodekaeder-Universum
Doppler-Effekt
Drei-Kelvin-Strahlung
Dunkle Energie
Dunkle Materie
E
Eddington-Finkelstein- Koordinaten
Eddington-Leuchtkraft
Effektivtemperatur
Eichtheorie
Einstein-Ring
Einstein-Rosen- Brücke
Einstein-Tensor
Eisenlinie
Eklipse
Ekliptik
Ekpyrotisches Modell
Elektromagnetismus
Elektronenvolt
elektroschwache Theorie
Elementarladung
Energie
Energiebedingungen
Energie-Impuls-Tensor
Entfernungsmodul
eos
eos-Parameter
Epizykel
Ereignishorizont
erg
Ergosphäre
eV
Extinktion
Extradimension
extragalaktisch
extrasolar
extraterrestrisch
Exzentrizität
F
Falschfarbenbild
Fanaroff-Riley- Klassifikation
Faraday-Rotation
Farbindex
Farbladung
Farbsupraleitung
Feldgleichungen
Fermi-Beschleunigung
Fermionen
Fermionenstern
Fernparallelismus
Feynman-Diagramm
FFO
FIDO
Flachheitsproblem
FLRW-Kosmologie
Fluchtgeschwindigkeit
Frame-Dragging
f(R)-Gravitation
Friedmann-Weltmodell
G
Galaktischer Schwarz-Loch-Kandidat
Galaxie
Gamma Ray Burst
Gamma-Zerfall
Geodäte
Geometrisierte Einheiten
Geometrodynamik
Gezeitenkräfte
Gezeitenradius
Gluonen
Grad
Granulation
Gravastern
Gravitation
Gravitationskollaps
Gravitationskühlung
Gravitationslinse
Gravitationsradius
Gravitations- rotverschiebung
Gravitationswellen
Gravitomagnetismus
Graviton
GRBR
Große Vereinheitlichte Theorien
Gruppe
GUT
GZK-cutoff
H
Hadronen
Hadronen-Ära
Hamilton-Jacobi- Formalismus
Harvard-Klassifikation
Hauptreihe
Hawking-Strahlung
Hawking-Temperatur
Helizität
Helligkeit
Herbig-Haro- Objekt
Hertzsprung-Russell- Diagramm
Hierarchieproblem
Higgs-Teilchen
Hilbert-Raum
Hintergrundmetrik
Hintergrundstrahlung
HLX
HMXB
Holostern
Homogenitätsproblem
Horizont
Horizontproblem
Horn-Universum
Hubble-Gesetz
Hubble-Klassifikation
Hubble-Konstante
Hydrodynamik
hydrostatisches Gleichgewicht
Hyperladung
Hypernova
Hyperonen
I
IC
Inertialsystem
Inflation
Inflaton
intergalaktisch
intermediate-mass black hole
interplanetar
interstellar
Isometrien
Isospin
Isotop
ITER
J
Jahreszeiten
Jansky
Jeans-Masse
Jet
K
Kaluza-Klein-Theorie
Kaup-Grenzmasse
Kaonen
Kataklysmische Veränderliche
Keine-Haare- Theorem
Kepler-Gesetze
Kerr-de-Sitter- Lösung
Kerr-Lösung
Kerr-Newman- de-Sitter- Lösung
Kerr-Newman- Lösung
Kerr-Schild- Koordinaten
Killing-Felder
Killing-Tensor
K-Korrektur
Koinzidenzproblem
Kollapsar
Kompaktes Objekt
Kompaktheit
Kompaktifizierung
Kompaneets-Gleichung
konforme Transformation
Kongruenz
Koordinatensingularität
Kopenhagener Deutung
Korona
Korrespondenzprinzip
Kosmische Strahlung
Kosmische Strings
Kosmographie
Kosmologie
Kosmologische Konstante
Kosmologisches Prinzip
kovariante Ableitung
Kovarianzprinzip
Kreisbeschleuniger
Kretschmann-Skalar
Krümmungstensor
Kruskal-Lösung
Kugelsternhaufen
L
Laborsystem
Ladung
Lagrange-Punkte
Lambda-Universum
Lapse-Funktion
Laserleitstern
Lense-Thirring- Effekt
Leptonen
Leptonen-Ära
Leptoquarks
Leuchtkraft
Leuchtkraftdistanz
Levi-Civita- Zusammenhang
Licht
Lichtjahr
Lichtkurve
Lie-Ableitung
Linearbeschleuniger
LINER
Linienelement
LIRG
LMXB
LNRF
Lokale Gruppe
Loop-Quantengravitation
Lorentz-Faktor
Lorentzgruppe
Lorentzinvarianz
Lorentz-Kontraktion
Lorentz-Transformation
Lundquist-Zahl
Luxon
M
Machscher Kegel
Machsches Prinzip
Machzahl
Magnetar
magnetische Rotationsinstabilität
Magnetohydrodynamik
Magnitude
marginal gebundene Bahn
marginal stabile Bahn
Markariangalaxie
Maxwell-Tensor
Membran-Paradigma
Mesonen
Metall
Metrik
Mikroblazar
Mikrolinse
Mikroquasar
Milchstraße
Minkowski-Metrik
Missing-Mass- Problem
mittelschwere Schwarze Löcher
MOND
Monopolproblem
Morphismus
M-Theorie
Myonen
N
Neutrino
Neutronenreaktionen
Neutronenstern
Newtonsche Gravitation
No-Hair-Theorem
Nova
Nukleon
Nukleosynthese
Nullgeodäte
O
Öffnung
Olbers-Paradoxon
O-Prozess
Oppenheimer-Volkoff- Grenze
optische Tiefe
Orthogonalität
P
Paradoxon
Paralleluniversum
Parsec
partielle Ableitung
Pauli-Prinzip
Penrose-Diagramm
Penrose-Prozess
Pentaquark
Periastron
Perigäum
Perihel
periodisch
persistent
Petrov-Klassifikation
PG1159-Sterne
Phantom-Energie
Photon
Photonenorbit
Photosphäre
Pion
Pioneer-Anomalie
Planck-Ära
Planckscher Strahler
Planck-Skala
Planet
Planetarische Nebel
Poincarégruppe
Poincaré- Transformation
Polytrop
Population
Post-Newtonsche Approximation
Poynting-Fluss
pp-Kette
p-Prozess
Prandtl-Zahl
primordiale Schwarze Löcher
Prinzip minimaler gravitativer Kopplung
Protostern
Pseudo-Newtonsche Gravitation
Pulsar
Pulsierendes Universum
Pyknonukleare Reaktionen
Q
QPO
Quant
Quantenchromodynamik
Quantenelektrodynamik
Quantenfeldtheorie
Quantengravitation
Quantenkosmologie
Quantenschaum
Quantensprung
Quantentheorie
Quantenvakuum
Quantenzahlen
Quark-Ära
Quark-Gluonen- Plasma
Quarks
Quarkstern
Quasar
quasi-periodisch
Quasi-periodische Oszillationen
Quelle
Quintessenz
R
Radioaktivität
Radiogalaxie
Radion
Randall-Sundrum- Modelle
Randverdunklung
Raumzeit
Rayleigh-Jeans- Strahlungsformel
Ray Tracing
Reichweite
Reionisation
Reissner-Nordstrøm- de-Sitter- Lösung
Reissner-Nordstrøm- Lösung
Rekombination
relativistisch
Relativitätsprinzip
Relativitätstheorie
Renormierung
Reverberation Mapping
Reynolds-Zahl
RGB-Bild
Ricci-Tensor
Riemann-Tensor
Ringsingularität
Robertson-Walker- Metrik
Robinson-Theorem
Roche-Volumen
Röntgendoppelstern
Roter Riese
Roter Zwerg
Rotverschiebung
Rotverschiebungsfaktor
r-Prozess
RRAT
RR Lyrae-Sterne
Ruhesystem
S
Schallgeschwindigkeit
scheinbare Größe
Schleifen- Quantengravitation
Schwache Wechselwirkung
Schwarzer Körper
Schwarzer Zwerg
Schwarzes Loch
Schwarzschild-de-Sitter- Lösung
Schwarzschild-Lösung
Schwarzschild-Radius
Schwerkraft
Seltsamer Stern
Seltsamkeit
Seyfert-Galaxie
Singularität
skalares Boson
SNR
Soft Gamma-Ray Repeater
Sonne
Spektraltyp
Spezialität
Spezielle Relativitätstheorie
Spin
Spin-Netzwerk
Spinschaum
Spin-Statistik-Theorem
Spintessenz
s-Prozess
Standardkerzen
Standardmodell
Standardscheibe
Starke Wechselwirkung
Statisches Universum
Staubtorus
Stefan-Boltzmann- Gesetz
stellare Schwarze Löcher
Stern
Sternentstehung
Strange Star
Stringtheorien
Subraum
Supergravitation
supermassereiche Schwarze Löcher
Supernova
Supernovaremnant
Superstringtheorie
Supersymmetrie
Symbiotische Sterne
Symmetrie
Symmetriebrechung
Symmetriegruppe
Synchrotron
Synchrotronstrahlung
Synchrozyklotron
T
Tachyon
Tagbogen
Tardyon
Teilchen
Teilchenbeschleuniger
Tensorboson
Tensoren
Tetraden
Tetraquark
TeVeS
Thermodynamik
thermonukleare Fusion
Tiefenfeldbeobachtung
Tierkreis
TNO
Topologie
topologische Defekte
Torsionstensor
Trägheit
transient
Transit
Triple-Alpha-Prozess
T Tauri Stern
Tunneleffekt
U
ULIRG
ULX
Unifikation
Unitarität
Universum
Unruh-Effekt
Urknall
V
Vakuum
Vakuumstern
Vektorboson
Velapulsar
Veränderliche
Vereinheitlichung
Viele-Welten- Theorie
VLA
VLBI
VLT
VLTI
Voids
VSOP
W
Walker-Penrose- Theorem
Weakonen
Weinberg-Winkel
Weiße Löcher
Weißer Zwerg
Wellenfunktion
Weylsches Postulat
Weyl-Tensor
Wheeler-DeWitt- Gleichung
Wiensche Strahlungsformel
Wilson-Loop
WIMP
Wolf-Rayet-Stern
w-Parameter
Wurmlöcher
X
X-Bosonen
X-Kraft
X-ray burster
Y
Y-Bosonen
Yerkes- Leuchtkraftklassen
YSO
Yukawa-Potential
Z
ZAMO
Zeit
Zeitdilatation
Zodiakallicht
Zustandsgleichung
Zustandsgröße
Zwerge
Zwergplanet
Zwillingsparadoxon
Zyklisches Universum
Zyklotron