Astro-Lexikon H 1
H
A-Z
Hadronen
Als Hadronen bezeichnet man alle Teilchen, die aus Quarks bestehen. Unterklassen
der Hadronen sind die Mesonen und Baryonen.
Seit 2003 kennt man überdies - experimentell gesichert - Tetraquarks, die aus
vier Quarks und Pentaquarks, die aus fünf Quarks bestehen. Die Teilchenphysiker bezeichnen sie
auch als baryonische Resonanzen, und man kann sie als molekülartige Meson-Meson- bzw. Baryon-Meson-Systeme auffassen.
Hadronen-Ära
Die Hadronen-Ära kennzeichnet eine bestimmte Entwicklungsphase im Universum und liegt damit
im Interessensgebiet der Kosmologie. Hadronen sind
Teilchen, die aus Quarks zusammengesetzt sind. Diese Grundbausteine
der Materie bildeten sich in der Quark-Ära, die der Hadronen-Ära voranging.
Wann war's?
Zeitlich ist die Hadronen-Ära auf ein Zehntel Millisekunden (10-4 s) nach dem Urknall
einzuordnen. Die Vernichtungsstrahlung am Ende der GUT-Ära hatte zu einem 'Strahlenmeer' an
Photonen geführt. Doch die minimale Asymmetrie an den Mengen von Materie zu
Antimaterie ließ einen kleinen, aber entscheidenden Anteil von Urmaterie in Form von
Quarks und Leptonen übrig.
Aus freien werden im Hadron gefangene Quarks
Anfangs waren die Quarks noch frei. Doch etwa 10-5 Sekunden
nach dem Urknall war das Milieu mit etwa 1012 Kelvin oder 200 MeV 'kalt' genug, dass
die freien Quarks des Quark-Gluonen-Plasmas zu Hadronen 'kondensierten' (engl. hadron
freezeout). An die Hadronen-Ära schließt sich die primordiale Nukleosynthese an.
In dieser Phase bildeten sich aus den einfachen Hadronen wie Proton und Neutron (siehe Nukleonen) sowie
die leichten Atomkerne Wasserstoff, Deuterium, Helium und Lithium.
Hamilton-Jacobi-Formalismus
Dieser Formalismus ist ein Konzept der klassischen und relativistischen Mechanik und
bei der Behandlung allgemeiner mechanischer Probleme äußerst effektiv. Brandon Carter hat 1968 die
Separabilität der Hamilton-Jacobi-Gleichung ausgenutzt, um eine vierte Konstante der Bewegung in der
Kerr-Metrik herzuleiten: die Carter-Konstante.
Rezept: Carter-Konstante für Eilige
Zunächst - wie bei mechanischen Problemen üblich - muss man die Lagrange-Funktion L kennen. In der
Relativitätstheorie gewinnt man sie aus der Metrik,
die
als bekannt vorausgesetzt wird. Über eine Legendre-Transformation erhält aus L die
Hamilton-Funktion H (Anmerkung: eine Legendre-Transformation ist eine Variablentransformation, die eindeutig
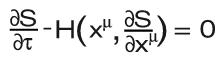
L und H verknüpft). Dann liefert die Hamilton-Jacobi-Gleichung (siehe Gleichung rechts), die eine
partielle, nicht-lineare Differentialgleichung erster Ordnung ist, eine Bestimmungsgleichung für eine Erzeugende,
das Wirkungsfunktional S. Im Allgemeinen ist diese Differentialgleichung dann nur über einen Ansatz
lösbar. Carters Verdienst war es, dass sein Separationsansatz, nämlich dass S in allen
Koordinaten separiert, erfolgreich war. Die partiellen Ableitungen des nun bekannten
Wirkungsfunktionals S liefern dann gerade die Photonenimpulse in einem speziellen Beobachtersystem, dem
Bardeen-Beobachter oder ZAMO.
Anwendungsbereich
Während der Hamilton-Jacobi-Formalismus von genereller Wichtigkeit ist, benötigt man die Carter-Konstante
nur in einem Spezialgebiet: so ist die Lösung der Geodätengleichung in der
Kerr-Metrik über die vier Erhaltungsgrößen ein Standardverfahren, das vor allem für
relativistisches Ray Tracing verwendet wird. Weil die Schwarzschild-Lösung
(mit Drehimpuls null) nur ein Spezialfall der Kerr-Lösung ist, kann man das Verfahren auch für diese statische
Raumzeit anwenden.
Harvard-Klassifikation
Eine Einteilung der Spektren von Sternen nach abnehmender
Oberflächen- bzw. Effektivtemperatur. Diese Sequenz
geht auf die amerikanischen Astronomen E.C. Pickering (1846 - 1919) und A.J. Cannon
(1863 - 1941) der Harvard-Sternwarte zurück.
intensive Spektrallinien zum Sternesortieren
Die Sternspektren sind der Beobachtung sehr leicht zugänglich, viel leichter als physikalische
Parameter des Sterns (Masse, Radius, mittlere Dichte, Temperatur etc.). Historisch war es daher
so, dass die relativen Stärken von Spektrallinien diejenigen Kriterien waren, um einen Stern
zu klassifizieren.
Jeder Klasse ordnete man einen Buchstaben zu. Die international anerkannte Sequenz lautete bis etwa
1999: O, B, A, F, G, K, M, R , N, S, was man sich mit dem Merkspruch 'Oh, Be
A Fine Girl, Kiss Me, Right Now. Smack!' ins
Gedächtnis rufen kann. Mittlerweile wurde aufgrund von Entdeckungen zahlreicher ultrakalter Zwergsterne
(ultra cool dwarfs, UCDs) die obige OBAFGKMRNS-Sequenz umbenannt in (D. Kirkpatrick 1999):
OBAFGKMLT
RNS Typen haben heute den Status einer Sonderklasse seltener Sterne.
feinere Unterteilung in Ziffern
Die einzelnen Klassen werden nochmals feiner durch die Abfolge der Ziffern 0, 1, 2, 3, 4, 5, 6, 7,
8, 9 unterteilt.
Diese Harvard-Klassifikation war die Grundlage für den heute international gebräuchlichen
Spektraltyp (siehe dort für spektrale Eigenschaften der verschiedenen
Klassen).
HD-Katalog
Umgesetzt wurde diese Klassifikation im Henry-Draper-Katalog, der 225 300 Sterne umfasst.
Am Kürzel HD mit nachfolgender Ziffer erkennt man Sterne dieses Katalogs.
Hauptreihe
Eine spezielle Entwicklungsphase von Sternen. Siehe
dazu die Darstellung im vollen Kontext unter dem Eintrag Hertzsprung-Russell-Diagramm.
H
A-Z
nach oben

© Andreas Müller, August 2007
|