start


Start
Web-Artikel
Lexikon
Vorträge
Ausbildung
Essays
Rhetorik
Links
Autor
Kontakt

Lexikon - B 1 Lexikon - B 3

Astro-Lexikon B 2


pdf BB
pdf A-ZA-Z

Bekenstein-Hawking-Entropie

Die Bekenstein-Hawking-Entropie bezeichnet einen Entropiebegriff, den man im Rahmen einer Thermodynamik bei Schwarzen Löchern definiert hat. Diese Ableitung gelang Stephen Hawking und wurde 1973 in der Publikation The Four Laws of Black Holes Mechanics veröffentlicht. Da er Bezug nahm auf Jacob D. Bekensteins Doktorarbeit (1972), wurde ihnen zu Ehren das Entropie-Analogon bei Schwarzen Löchern so genannt.

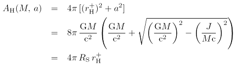
Fläche des Horizonts Schwarzer Löcher

In der Berechnung taucht eine Größe auf, die mit der kugelförmigen Oberfläche des Ereignishorizonts assoziiert werden kann:

Gleichung der Oberfläche des Horizonts

Dabei haben die Ereignishorizonte einen Radius, der gleich dem Schwarzschild-Radius RS ist (nicht-rotierender Fall) oder der gleich dem äußeren Horizont r+H ist (rotierender Fall):

Radien der Ereignishorizonte

Die Oberfläche hängt im Allgemeinen sowohl von der Masse M als auch dem Drehimpuls J des Schwarzen Loches ab, so dass Schwarzschild-Lösung und Kerr-Lösung in dieser Hinsicht differieren müssen. Anschaulich ist das auch klar, denn der Radius des äußeren Horizonts r+H wächst mit zunehmender Masse und abnehmendem Drehimpuls (Kerr-Löcher sind bei gleicher Masse kleiner als statische Schwarzschild-Löcher).

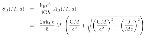
Entropiebegriff Schwarzer Löcher

Verschmelzen zwei Schwarze Löcher, so zeigt eine kurze Rechnung, dass die Oberfläche des neuen Horizontes größer ist, als die Summe der Flächeninhalte der einzelnen, kollidierenden Schwarzen Löcher. Das gilt auch bei den Entropien zweier verschmelzender Systeme. Die Entropie wird als proportional zu der Horizontoberfläche angenommen und führt zusammen mit dem Begriff der Hawking-Temperatur auf Analoga zu den vier Hauptsätzen der klassischen Thermodynamik. Für ein elektrisch neutrales, rotierendes Schwarzes Loch gilt:

Gleichung der Bekenstein-Hawking-Entropie

Die Gleichung oben zeigt gerade wie man die Bekenstein-Hawking-Entropie aus der Oberfläche des Horizonts AH berechnet. Wie die Oberfläche von Masse und Drehimpuls abhängt, zeigt die erste Gleichung in diesem Eintrag. Setzt man ein statisches, d.h. nicht rotierendes Schwarzes Loch voraus (a = J/Mc = 0) folgt eine reine Massenabhängigkeit: eine quadratische Skalierung mit der Masse:

Gleichung der Bekenstein-Hawking-Entropie

Entropien in Zahlenbeispielen

Einsetzen typischer Skalen der Astrophysik (eine Sonnenmasse) und Teilchenphysik (1 TeV) zeigt, dass die stellaren Schwarzen Löcher gigantische Entropien aufweisen, während Minilöcher, die in modernen Teilchenbeschleunigern entstehen könnten, moderate Bekenstein-Hawking Entropien haben. Bei supermassereichen Schwarzen Löcher erwartet man entsprechend noch höhere Entropien. Diese Zahlenwerte sind rätselhaft, denn die Größenordnung von 1077 kB für ein stellares Schwarzes Loch passt gar nicht zu der wesentlich kleineren Entropie des Vorläufersterns. Dieses Missverhältnis nennt man Entropie-Paradox Schwarzer Löcher oder auch Informationsverlustparadoxon.

Anlass für eine legendäre Wette

Dieses Paradoxon stand im Sommer 2004 im Fokus der Weltöffentlichkeit: Auf der Konferenz GR17 in Dublin, einer Zusammenkunft der führenden Relativisten und Gravitationsforscher der Welt, gab Hawking unter großem Medieninteresse bekannt, dass er sich geirrt habe und Schwarze Löcher nicht Information vernichten können. Damit gab er eine Wette verloren, die er mit seinen Wissenschaftskollegen Kip S. Thorne und John Preskill vor dreißig Jahren abgeschlossen hat. Vor allem Preskill, ein Quantentheoretiker, hielt an einer Erhaltung der Information fest - und bekam nun nach langer Zeit Recht. Thorne ist noch indefinit und möchte sich dem komplizierten Problem widmen. Auch unter Experten ist die Frage des Informationsverlusts umstritten und bedarf weiterer Analysen.

Entropien anderer Lösungen der Allgemeinen Relativitätstheorie

Gravasterne als reguläre Alternative ohne Horizont lösen dieses Paradox, weil sie kleinere Entropien haben. Denn die Gravastern-Entropie wächst nur linear mit der Masse. Allerdings müssten sich die Astrophysiker dann vom Konzept Schwarzes Loch verabschieden.

Literatur:

  • Dissertation von J.D. Bekenstein, Princeton University (1972)
  • Originalpapier von Bardeen, Carter & Hawking, The Four Laws of Black Holes Mechanics, Commun. Math. Phys. 31, 1973, 161 - 170
  • Mazur & Mottola 2001, Papier Gravitational condensate stars: An alternative to black holes, gr-qc/0109035
Beobachter

Die Rolle des Beobachters ist ein unverzichtbares Element in den Naturwissenschaften - vielleicht sogar das Wichtigste an den Naturwissenschaften überhaupt. Es muss zunächst einmal ein Phänomen in der Natur beobachtet werden, das man dann naturwissenschaftlich hinterfragen kann.

Ein äußerst erfolgreiches Wechselspiel

Damit ist es noch nicht getan. Der Erfolg der Naturwissenschaften gründet sich vor allem auf dem Zusammenspiel von Theorie und Experiment. Eine Beobachtung kann nämlich in Form eines mathematischen Modells verstanden werden. Für Details zur wissenschaftlichen Methodik und wie weit sie generell trägt, sei auf meinen Web-Essay Die wissenschaftliche Methode verwiesen. Außerdem gibt es einen ausführlichen Essay zum Theoriebegriff mit dem Titel Alles graue Theorie?.
Im engeren Sinne sind die Beobachter der Physik damit beschäftigt, Datenmaterial aus der Natur zu sammeln. Das heißt, sie führen ein Experiment unter Laborbedingungen (also wohlbekannten Bedingungen) durch und protokollieren präzise die Beobachtung. Beobachter entwickeln Beobachtungsapparaturen, so genannte Detektoren, die es ihnen erleichtern Daten zu sammeln. In der Astronomie heißen die Experimentatoren prinzipiell Beobachter. Sie nehmen einen Sonderstatus unter den Experimentatoren ein, weil sie ihr Experiment nicht im Labor präparieren und keinen Einfluss darauf nehmen können. Vielmehr ist der gesamte Kosmos ihr 'Labor' und die astronomischen Beobachter entwerfen und bauen die Detektoren der Astronomie: die Teleskope. Sie sammeln eine Fülle an Beobachtungsdaten mittels unterschiedlicher Informationsträger (vor allem Photonen, aber auch Neutrinos, Kosmische Strahlung und andere Teilchen), werten sie aus und bereiten sie auf. Die theoretischen Astrophysiker entwickeln physikalische Modelle für das Zustandekommen der Beobachtungsdaten. Ihre Werkzeuge sind die mathematischen Rechenvorschriften und in stark zunehmendem Maße die Computer. Am Ende steht ein Verständnis der Beobachtung, also ein wachsendes Verständnis für die Phänomene, die in der Natur beobachtet werden können. Der Astrophysiker strebt nach einem Verständnis des Kosmos als Ganzes sowie seiner Teile, z.B. der Sterne und Galaxien.

Wissenschaftliche Revolutionen des 20. Jahrhunderts

Im 20. Jahrhundert hat sich ein zweifacher Wandel für die Rolle des Beobachters ergeben. Einsteins Relativitätstheorie hat die Beobachtung als subjektiven bzw. relativen Akt entlarvt. Es hängt vom Bezugssystem (siehe auch Inertialsystem) ab, also von Ort und Bewegungszustand des Beobachters, was er beobachtet und wie er es beobachtet. Mittlerweile wurden viele relativistische Beobachter definiert, die sich bei bestimmten Fragestellungen bewährt haben. So kennt man in der Allgemeinen Relativitätstheorie z.B. den FFO, den FIDO, den LNRF und den ZAMO. Extreme Bedingungen wie die starke Gravitation eines Schwarzen Loches machen deutlich, wie sehr die Beobachtung vom Standpunkt abhängen kann. So unterscheidet sich die Geschichte, die ein entfernter Beobachter wahrnimmt deutlich von derjenigen, die ein einfallender Beobachter wahrnimmt z.B. aufgrund der Zeitdilatation! Das Zwillingsparadoxon ist ein anderes Extrembeispiel dafür, wie unterschiedlich die Beobachtungen in verschiedenen Bezugssystemen sein können.
Die zweite große physikalische Theorie des 20. Jahrhunderts, die Quantentheorie, hat dem Beobachter auf andere Weise einen Sonderstatus verpasst. Die quantenmechanischen Beobachter sind selbst ein Teil des Experiments und beeinflussen dessen Ausgang, also die Messung! Damit verlor der Beobachter seine Rolle des Außenstehenden. Diese Rolle hat er nur im Makrokosmos. Der quantenmechanische Beobachter ist nicht Präparator, er ist Manipulator.
Beide Theorien, Relativitätstheorie und Quantentheorie, haben es der Physik erschwert, die Beobachtungen sachlich zu interpretieren. Experimente unter fixen Laborbedingungen sind nur eingeschränkt möglich und die Reproduzierbarkeit eines Versuchs ist ebenfalls - zumindest in der Quantenphysik - nicht immer gewährleistet.

Beta-Zerfall

Formen des Beta-Zerfalls Eine der drei Formen von Radioaktivität neben Alpha- und Gamma-Zerfall. Bei der Radioaktivität senden bestimmte Atomkerne (Fachbegriff: Radionuklide) bestimmte Materieteilchen (Elektronen, Positronen, Heliumatomkerne, auch Neutronen) oder hochenergetische, elektromagnetische Strahlung aus. Radioaktivität ist aufgrund seiner stark ionisierenden Wirkung gefährlich für Leben! Teilweise kann Radioaktivität schon mit einfachen Mitteln abgeschirmt und somit 'entschärft' werden.

Was genau ist nun β-Zerfall?

  • Beim β--Zerfall zerfällt ein (gebundenes) Neutron im Atomkern in ein Proton, ein Elektron und ein Anti-Elektron-Neutrino (beachte Leptonenzahlerhaltung!). Hier identifiziert man die Elektronen mit der Beta-Strahlung.
  • Beim β+-Zerfall zerfällt ein (gebundenes!) Proton im Atomkern in ein Neutron, ein Positron (dem Antiteilchen des Elektrons) und ein Elektron-Neutrino.

Die β-Strahlung hat eine höhere Reichweite als die Alpha-Strahlung, kann aber bereits durch ein dünnes Aluminiumblech abgeschirmt werden. Gefährlich ist diese Strahlung wie alle Formen von Radioaktivität dennoch!

Schwach, aber oho!

Erst durch die Quantentheorie bzw. Quantenfeldtheorie der schwachen Wechselwirkung war diese Form der Radioaktivität berechenbar und erklärbar. Bei der schwachen Kraft werden ebenfalls Botenteilchen (Eichbosonen) ausgetauscht. In beiden Formen des β-Zerfalls ändern sie die innere Struktur von Neutron bzw. Proton. Zur Erinnerung: Protonen und Neutronen sind die Teilchen, die sich im Atomkern befinden. Daher heißen sie Nukleonen. Präzise gesagt gibt es ein positiv und ein negativ geladenes W-Teilchen, die die schwache Kraft vermitteln. Werden sie ausgetauscht, so verändern sie den Quarkgehalt der Nukleonen entsprechend den Erhaltungssätzen der elektrischen Ladung etc. folgend. Die W-Teilchen nennt man in der Theorie der schwachen Wechselwirkung auch geladene Ströme (W+ und W-). Daneben existiert noch der neutrale Strom (Z-Teilchen Z0), dessen Zerfall experimentell die Anzahl der drei Leptonengenerationen verrät.

Neutronisierung von Sternen

inverser Beta-Zerfall Der β-Zerfall kann auch in umgekehrter Reaktionsrichtung ablaufen. Dieser inverse β-Zerfall ist besonders wichtig bei extrem hohen Zentraldichten im Innern von Sternen, ab etwa 1.14 × 109 g cm-3. Praktisch ist dies nur bei den Kompakten Objekten von Relevanz, weil 'normale' Hauptreihensterne oder Protosterne diese Dichtendomäne nicht erreichen. Insbesondere findet der inverse β-Zerfall im Innern von Weißen Zwergen und vor allem Neutronensternen statt.

Bezugssystem

In der Physik werden die aus der Sicht eines Beobachters beschrieben. Der Beobachter kann das physikalische Studienobjekt 'aus der Ferne' betrachten (Laborsystem) oder er kann sich mit dem Studienobjekt bewegen (Ruhesystem). Als Bezugs- oder Referenzsystem gibt es dabei vielfältige Möglichkeiten. Zwischen diesen Systemen vermitteln mathematische Operationen, die man Transformationen nennt.
Viele Details und Beispiele für Bezugssysteme werden in den Einträgen Beobachter und Inertialsystem vorgestellt.

Bianchi-Identitäten
Bianchi-Identitäten - oben: ausformuliert, unten: kompakte Notation

Die Tensoren der Allgemeinen Relativitätstheorie (ART) haben wie viele physikalische Tensoren bestimmte Symmetrieeigenschaften. Mit Symmetrie meint man in diesem Zusammenhang, dass eine oder mehrere Komponenten im Tensor als andere Komponenten identisch wieder auftauchen. Diese Eigenschaften sind sehr nützlich, weil man im Tensorkalkül der ART immer an sämtlichen Komponenten der Tensoren interessiert ist, um beispielsweise die Einsteinschen Feldgleichungen umzuformulieren. Bekannte Symmetrien erleichtern den Rechenaufwand, weil man aus ihnen schnell andere Komponenten ableiten kann. Typisch ist bei Tensoren zweiter Stufe, dass sie sich nicht verändern, wenn man ihre beiden Indizes vertauscht. In der Darstellung als Matrix wird klar, dass dies eine Vertauschung von Spalten und Zeilen ist. Die Symmetrie ist dann eine Spiegelsymmetrie zur Matrixdiagonalen.

Formen von Bianchi-Identitäten

  • algebraische Identitäten: Hier zeigen sich Symmetrien von Tensoren, wenn man ihre Indizes vertauscht und Summen oder Differenzen bildet.
  • differentielle Identitäten: Hierbei sind die Verknüpfungsrelationen komplizierter und enthalten Ableitungen (Differentiationen).

kontrahierte Bianchi-Identitäten mit Einstein-Tensor Eine besondere Symmetrieeigenschaft von Raumzeiten bewerkstelligen die Isometrien. Man kann durchaus die Killing-Gleichung, also verschwindende Lie-Ableitung des metrischen Tensors, als differentielle Identität auffassen.
Die Bianchi-Identitäten sind nun ebenfalls differentielle Identitäten, die für den Riemann-Tensor R gelten. Die Ableitungen, die hier eine Rolle spielen, sind die kovarianten Ableitungen, die man mit dem Differentialoperator Nabla (als Symbol ein auf einer Ecke stehendes, gleichseitiges Dreieck: ∇) notiert. Der Krümmungstensor ist im Prinzip die linke Seite der Einsteinschen Feldgleichungen und von zentraler Bedeutung für die ART. Der Riemann-Tensor ist ein Tensor 4. Stufe und kann durch einmaliges 'Überschieben' des metrischen Tensors (Verjüngen oder Kontrahieren genannt) in den Ricci-Tensor und durch zweimaliges Verjüngen in den Ricci-Skalar (skalare Krümmung) überführt werden. Wendet man dies unter Kenntnis der Bianchi-Identitäten an, so erhält man die kontrahierten Bianchi-Identitäten. Weil der Einstein-Tensor eng mit dem Riemann-Tensor und dessen Kontraktionen zusammenhängt, gelingt eine äußerst kompakte Notation, die vier Gleichungen mit je vier Termen bündelt. Diese vier Gleichungen nennt man auch differentielle Bindungen.

Geometrische Interpretation der Energieerhaltung in der Physik!

Elie Cartan: Der Rand eines Randes ist null. Die Bianchi-Identitäten sind jedoch weit mehr als eine Rechenhilfe. Sie sind Ausfluss eines tiefsinnigen, geometrischen Sachverhalts, den der französische Mathematiker Elie Joseph Cartan (1869 - 1951) folgendermaßen formulierte: 'Der Rand eines Randes ist null.' Dieses elementare Prinzip der Topologie sorgt dafür, dass der Einstein-Tensor divergenzfrei ist, wie es die kontrahierten Bianchi-Identitäten wiedergeben. Die Folge dieser Eigenschaft ist für die Physik von essentieller Bedeutung: sie mündet in den relativistischen Energieerhaltungssatz: die Divergenzfreiheit des Energie-Impuls-Tensors. Das führt auf zwei wichtige Prinzipien, die die Physik in vielfältiger Weise beherrschen: Energieerhaltung und Impulserhaltung. Prosaisch umschrieben sind die Quellen (des Gravitationsfeldes) automatisch erhalten. In der Differentialgeometrie kann man zeigen, dass jede glatte Riemannsche Mannigfaltigkeit die Bianchi-Identitäten erfüllt. Damit hat die Energieerhaltung als physikalisches Prinzip eine geometrische Erklärung erfahren!
Bianchi-Identitäten führen auf Energieerhaltungssatz Historisch war es so, dass Albert Einstein bei der Entwicklung seiner ART die Arbeiten des italienischen Mathematikers Luigi Bianchi (1856 -1928) zu den Nicht-Euklidischen Geometrien nutzte. Die nach ihm benannten Bianchi-Identitäten fanden Gregorio Ricci-Curbastro (1853 - 1925) 1889 und er selbst 1902 unabhängig voneinander. Der deutsche Mathematiker Hermann Klaus Hugo Weyl (1885 - 1955) konnte die Identitäten 1917 aus Emmy Noethers Theorem abgeleiten. Das Noether-Theorem stellt einen Zusammenhang zwischen einer Symmetrie und assoziierter Erhaltungsgröße her.

Buchtipp

  • Eine sehr empfehlenswerte Darstellung zum letztgenannten Aspekt, Energieerhaltung und Geometrie, befindet sich in Misner, Thorne & Wheeler: Gravitation, Kapitel 15

pdf BB
pdf A-ZA-Z

nach oben

Lexikon - B 1 Lexikon - B 3


Start - Web-Artikel - Lexikon - Vorträge - Ausbildung - Essays - Rhetorik - Links - Autor - Kontakt
Andreas Müller © Andreas Müller, August 2007

Index

A
Abbremsparameter
ADAF
ADD-Szenario
ADM-Formalismus
AdS/CFT-Korrespondenz
AGB-Stern
Äquivalenzprinzip
Akkretion
Aktiver Galaktischer Kern
Alfvén-Geschwindigkeit
Alfvén-Zahl
Allgemeine Relativitätstheorie
Alpha-Zerfall
AMR
anthropisches Prinzip
Antigravitation
Antimaterie
Apastron
Apertursynthese
Aphel
Apogäum
Astronomie
Astronomische Einheit
asymptotisch flach
Auflösungsvermögen
Axion
AXP
B
Balbus-Hawley- Instabilität
Bardeen-Beobachter
Baryogenese
Baryonen
baryonische Materie
Bekenstein-Hawking- Entropie
Beobachter
Beta-Zerfall
Bezugssystem
Bianchi-Identitäten
Big Bang
Big Bounce
Big Crunch
Big Rip
Big Whimper
Birkhoff-Theorem
Blandford-Payne- Szenario
Blandford-Znajek- Mechanismus
Blauverschiebung
Blazar
BL Lac Objekt
Bogenminute
Bogensekunde
Bosonen
Bosonenstern
Boyer-Lindquist- Koordinaten
Bran
Brans-Dicke- Theorie
Brauner Zwerg
Brill-Wellen
Bulk
C
Carter-Konstante
Casimir-Effekt
Cauchy-Fläche
Cepheiden
Cerenkov-Strahlung
Chandrasekhar-Grenze
Chaplygin-Gas
Chiralität
Christoffel-Symbol
CMB
CNO-Zyklus
Comptonisierung
Cosmon
C-Prozess
D
Deep Fields
Derricks Theorem
de-Sitter- Kosmos
DGP-Szenario
Diffeomorphismus
differenzielle Rotation
Distanzmodul
Dodekaeder-Universum
Doppler-Effekt
Drei-Kelvin-Strahlung
Dunkle Energie
Dunkle Materie
E
Eddington-Finkelstein- Koordinaten
Eddington-Leuchtkraft
Effektivtemperatur
Eichtheorie
Einstein-Ring
Einstein-Rosen- Brücke
Einstein-Tensor
Eisenlinie
Eklipse
Ekliptik
Ekpyrotisches Modell
Elektromagnetismus
Elektronenvolt
elektroschwache Theorie
Elementarladung
Energie
Energiebedingungen
Energie-Impuls-Tensor
Entfernungsmodul
eos
eos-Parameter
Epizykel
Ereignishorizont
erg
Ergosphäre
eV
Extinktion
Extradimension
extragalaktisch
extrasolar
extraterrestrisch
Exzentrizität
F
Falschfarbenbild
Fanaroff-Riley- Klassifikation
Faraday-Rotation
Farbindex
Farbladung
Farbsupraleitung
Feldgleichungen
Fermi-Beschleunigung
Fermionen
Fermionenstern
Fernparallelismus
Feynman-Diagramm
FFO
FIDO
Flachheitsproblem
FLRW-Kosmologie
Fluchtgeschwindigkeit
Frame-Dragging
f(R)-Gravitation
Friedmann-Weltmodell
G
Galaktischer Schwarz-Loch-Kandidat
Galaxie
Gamma Ray Burst
Gamma-Zerfall
Geodäte
Geometrisierte Einheiten
Geometrodynamik
Gezeitenkräfte
Gezeitenradius
Gluonen
Grad
Granulation
Gravastern
Gravitation
Gravitationskollaps
Gravitationskühlung
Gravitationslinse
Gravitationsradius
Gravitations- rotverschiebung
Gravitationswellen
Gravitomagnetismus
Graviton
GRBR
Große Vereinheitlichte Theorien
Gruppe
GUT
GZK-cutoff
H
Hadronen
Hadronen-Ära
Hamilton-Jacobi- Formalismus
Harvard-Klassifikation
Hauptreihe
Hawking-Strahlung
Hawking-Temperatur
Helizität
Helligkeit
Herbig-Haro- Objekt
Hertzsprung-Russell- Diagramm
Hierarchieproblem
Higgs-Teilchen
Hilbert-Raum
Hintergrundmetrik
Hintergrundstrahlung
HLX
HMXB
Holostern
Homogenitätsproblem
Horizont
Horizontproblem
Horn-Universum
Hubble-Gesetz
Hubble-Klassifikation
Hubble-Konstante
Hydrodynamik
hydrostatisches Gleichgewicht
Hyperladung
Hypernova
Hyperonen
I
IC
Inertialsystem
Inflation
Inflaton
intergalaktisch
intermediate-mass black hole
interplanetar
interstellar
Isometrien
Isospin
Isotop
ITER
J
Jahreszeiten
Jansky
Jeans-Masse
Jet
K
Kaluza-Klein-Theorie
Kaup-Grenzmasse
Kaonen
Kataklysmische Veränderliche
Keine-Haare- Theorem
Kepler-Gesetze
Kerr-de-Sitter- Lösung
Kerr-Lösung
Kerr-Newman- de-Sitter- Lösung
Kerr-Newman- Lösung
Kerr-Schild- Koordinaten
Killing-Felder
Killing-Tensor
K-Korrektur
Koinzidenzproblem
Kollapsar
Kompaktes Objekt
Kompaktheit
Kompaktifizierung
Kompaneets-Gleichung
konforme Transformation
Kongruenz
Koordinatensingularität
Kopenhagener Deutung
Korona
Korrespondenzprinzip
Kosmische Strahlung
Kosmische Strings
Kosmographie
Kosmologie
Kosmologische Konstante
Kosmologisches Prinzip
kovariante Ableitung
Kovarianzprinzip
Kreisbeschleuniger
Kretschmann-Skalar
Krümmungstensor
Kruskal-Lösung
Kugelsternhaufen
L
Laborsystem
Ladung
Lagrange-Punkte
Lambda-Universum
Lapse-Funktion
Laserleitstern
Lense-Thirring- Effekt
Leptonen
Leptonen-Ära
Leptoquarks
Leuchtkraft
Leuchtkraftdistanz
Levi-Civita- Zusammenhang
Licht
Lichtjahr
Lichtkurve
Lie-Ableitung
Linearbeschleuniger
LINER
Linienelement
LIRG
LMXB
LNRF
Lokale Gruppe
Loop-Quantengravitation
Lorentz-Faktor
Lorentzgruppe
Lorentzinvarianz
Lorentz-Kontraktion
Lorentz-Transformation
Lundquist-Zahl
Luxon
M
Machscher Kegel
Machsches Prinzip
Machzahl
Magnetar
magnetische Rotationsinstabilität
Magnetohydrodynamik
Magnitude
marginal gebundene Bahn
marginal stabile Bahn
Markariangalaxie
Maxwell-Tensor
Membran-Paradigma
Mesonen
Metall
Metrik
Mikroblazar
Mikrolinse
Mikroquasar
Milchstraße
Minkowski-Metrik
Missing-Mass- Problem
mittelschwere Schwarze Löcher
MOND
Monopolproblem
Morphismus
M-Theorie
Myonen
N
Neutrino
Neutronenreaktionen
Neutronenstern
Newtonsche Gravitation
No-Hair-Theorem
Nova
Nukleon
Nukleosynthese
Nullgeodäte
O
Öffnung
Olbers-Paradoxon
O-Prozess
Oppenheimer-Volkoff- Grenze
optische Tiefe
Orthogonalität
P
Paradoxon
Paralleluniversum
Parsec
partielle Ableitung
Pauli-Prinzip
Penrose-Diagramm
Penrose-Prozess
Pentaquark
Periastron
Perigäum
Perihel
periodisch
persistent
Petrov-Klassifikation
PG1159-Sterne
Phantom-Energie
Photon
Photonenorbit
Photosphäre
Pion
Pioneer-Anomalie
Planck-Ära
Planckscher Strahler
Planck-Skala
Planet
Planetarische Nebel
Poincarégruppe
Poincaré- Transformation
Polytrop
Population
Post-Newtonsche Approximation
Poynting-Fluss
pp-Kette
p-Prozess
Prandtl-Zahl
primordiale Schwarze Löcher
Prinzip minimaler gravitativer Kopplung
Protostern
Pseudo-Newtonsche Gravitation
Pulsar
Pulsierendes Universum
Pyknonukleare Reaktionen
Q
QPO
Quant
Quantenchromodynamik
Quantenelektrodynamik
Quantenfeldtheorie
Quantengravitation
Quantenkosmologie
Quantenschaum
Quantensprung
Quantentheorie
Quantenvakuum
Quantenzahlen
Quark-Ära
Quark-Gluonen- Plasma
Quarks
Quarkstern
Quasar
quasi-periodisch
Quasi-periodische Oszillationen
Quelle
Quintessenz
R
Radioaktivität
Radiogalaxie
Radion
Randall-Sundrum- Modelle
Randverdunklung
Raumzeit
Rayleigh-Jeans- Strahlungsformel
Ray Tracing
Reichweite
Reionisation
Reissner-Nordstrøm- de-Sitter- Lösung
Reissner-Nordstrøm- Lösung
Rekombination
relativistisch
Relativitätsprinzip
Relativitätstheorie
Renormierung
Reverberation Mapping
Reynolds-Zahl
RGB-Bild
Ricci-Tensor
Riemann-Tensor
Ringsingularität
Robertson-Walker- Metrik
Robinson-Theorem
Roche-Volumen
Röntgendoppelstern
Roter Riese
Roter Zwerg
Rotverschiebung
Rotverschiebungsfaktor
r-Prozess
RRAT
RR Lyrae-Sterne
Ruhesystem
S
Schallgeschwindigkeit
scheinbare Größe
Schleifen- Quantengravitation
Schwache Wechselwirkung
Schwarzer Körper
Schwarzer Zwerg
Schwarzes Loch
Schwarzschild-de-Sitter- Lösung
Schwarzschild-Lösung
Schwarzschild-Radius
Schwerkraft
Seltsamer Stern
Seltsamkeit
Seyfert-Galaxie
Singularität
skalares Boson
SNR
Soft Gamma-Ray Repeater
Sonne
Spektraltyp
Spezialität
Spezielle Relativitätstheorie
Spin
Spin-Netzwerk
Spinschaum
Spin-Statistik-Theorem
Spintessenz
s-Prozess
Standardkerzen
Standardmodell
Standardscheibe
Starke Wechselwirkung
Statisches Universum
Staubtorus
Stefan-Boltzmann- Gesetz
stellare Schwarze Löcher
Stern
Sternentstehung
Strange Star
Stringtheorien
Subraum
Supergravitation
supermassereiche Schwarze Löcher
Supernova
Supernovaremnant
Superstringtheorie
Supersymmetrie
Symbiotische Sterne
Symmetrie
Symmetriebrechung
Symmetriegruppe
Synchrotron
Synchrotronstrahlung
Synchrozyklotron
T
Tachyon
Tagbogen
Tardyon
Teilchen
Teilchenbeschleuniger
Tensorboson
Tensoren
Tetraden
Tetraquark
TeVeS
Thermodynamik
thermonukleare Fusion
Tiefenfeldbeobachtung
Tierkreis
TNO
Topologie
topologische Defekte
Torsionstensor
Trägheit
transient
Transit
Triple-Alpha-Prozess
T Tauri Stern
Tunneleffekt
U
ULIRG
ULX
Unifikation
Unitarität
Universum
Unruh-Effekt
Urknall
V
Vakuum
Vakuumstern
Vektorboson
Velapulsar
Veränderliche
Vereinheitlichung
Viele-Welten- Theorie
VLA
VLBI
VLT
VLTI
Voids
VSOP
W
Walker-Penrose- Theorem
Weakonen
Weinberg-Winkel
Weiße Löcher
Weißer Zwerg
Wellenfunktion
Weylsches Postulat
Weyl-Tensor
Wheeler-DeWitt- Gleichung
Wiensche Strahlungsformel
Wilson-Loop
WIMP
Wolf-Rayet-Stern
w-Parameter
Wurmlöcher
X
X-Bosonen
X-Kraft
X-ray burster
Y
Y-Bosonen
Yerkes- Leuchtkraftklassen
YSO
Yukawa-Potential
Z
ZAMO
Zeit
Zeitdilatation
Zodiakallicht
Zustandsgleichung
Zustandsgröße
Zwerge
Zwergplanet
Zwillingsparadoxon
Zyklisches Universum
Zyklotron