start


Start
Web-Artikel
Lexikon
Vorträge
Ausbildung
Essays
Rhetorik
Links
Autor
Kontakt

Lexikon - E 3 Lexikon - E 5

Astro-Lexikon E 4


pdf EE
pdf A-ZA-Z

Energie

Energie - Wichtigste Größe der Physik Die Energie ist die zentrale Größe in der Physik. Der Begriff Energie geht auf energeia zurück, was erstmals in der Antike von Aristoteles (384 - 322 v.Chr.) verwendet wurde. Damals bedeutete dies soviel wie 'Geist' oder 'Seele'. In der Tat beseelt die Energie die Vorgänge in der Physik, wenn man in dieser metaphorischen Sprache bleiben möchte.

Energie in der Physik

Doch fassen wir den Energiebegriff physikalisch und betten ihn mathematisch streng ein. Ich möchte dabei chronologisch vorgehen. Es zeigt sich, dass die Energie sich wie ein roter Faden durch die Physik zieht:

  • Die Klassische Mechanik ist historisch wohl das erste Gebiet der Physik gewesen, das die Energie exzessiv nutzt. Begriffe wie kinetische Energie (Bewegungsenergie) und potentielle Energie (Energie der Lage) sind sicher jedem noch aus der Schulphysik geläufig. Die Dynamik von Massenpunkten kann so sehr gut beschrieben werden. Zentral ist der empirisch begründete Energieerhaltungssatz. So wandelt sich die potentielle Energie einer ruhenden Kugel beim Hinabrollen auf einer schiefen Ebene in kinetische Energie um, während die potentielle Energie abnimmt. Schnell kann man auf diese Weise die Geschwindigkeit am Fußpunkt der schiefen Ebene rechnerisch bestimmen.
    Eine typische Methode der klassischen Mechanik basiert darauf, die Hamilton-Funktion eines zu untersuchenden Systems zu bestimmen. Der klassische Formalismus definiert, dann eindeutig die Bewegungsgleichung, die nach einem festen Algorithmus aus der Hamilton-Funktion folgt.
  • In der Phänomenologischen Thermodynamik gibt es fundamentale Hauptsätze, wobei der Erste Hauptsatz der Thermodynamik nichts anderes ist als der Energieerhaltungssatz, bezogen auf thermodynamische Größen. Eine wesentliche Energieform ist hier die Wärmeenergie oder thermische Energie. Die makroskopischen Größen der klassischen Thermodynamik erhalten ihre mikroskopische Deutung in der Statistischen Physik und Quantenstatistik.
  • Die Klassische Elektrodynamik beschäftigt sich mit elektrischen und magnetischen Phänomenen in der Natur. In elektrischen und magnetischen Feldern ist Energie gespeichert, die freigesetzt werden kann, beispielsweise, wenn sich eine Ladung entlang der elektrischen Feldlinien bewegt oder wenn sie von magnetischen Feldern bei einer Bewegung abgelenkt wird (Lorentz-Kraft).
    Vor allem aber folgt aus den Maxwellschen Gleichungen eine besondere Form der Energie: die elektromagnetische Welle, in quantisierter Form Photon genannt. Es handelt sich um die für die Astronomie so wichtige Strahlungsenergie.
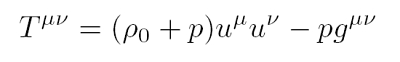
  • Die Relativitätstheorie ist die erste wesentliche Theorie des 20. Jahrhunderts. In ihrer speziellen Formulierung erkennt sie die Äquivalenz von Masse und Energie in Einsteins berühmter Formel. In ihrer allgemeinen Formulierung tritt die Kopplung von Energie und Raumzeitkrümmung zutage. Die Gravitation entpuppt sich als ein Phänomen, das auf das Vorhandensein von Energie in jedweder Form zurückzuführen ist. Andererseits gibt es eine komplizierte Rückkopplung der Raumzeit auf die Energie, was sich in einem nichtlinearen Charakter der Einsteinschen Feldgleichungen widerspiegelt. In der Tensorschreibweise der Allgemeinen Relativitätstheorie steckt die Energieform vollständig im Energie-Impuls-Tensor. Er verschwindet bei Abwesenheit von Energie und Materie (Vakuumfall) und hat eine wohldefinierte Form für bestimmte Energieformen, wie Staub, eine ideale Flüssigkeit oder ein elektromagnetisches Feld (relativistisch, aber unquantisiert!). Die Energie offenbart sich in der Relativitätstheorie als bestimmende Größe von Raum und Zeit!
  • Der zweite, erkenntnistheoretische Sprung in Bezug auf den Energiebegriff gelang im 20. Jahrhundert mit der Quantentheorie bzw. Quantenmechanik. Die Energieformen wurden als diskontinuierlich oder quantisiert - wie man seither sagte - erkannt. Historisch gelang dies zuerst bei der Strahlungsenergie, in der Deutung der Strahlung eines Schwarzen Körpers, als quantisierte Wärmestrahlung. Daher gilt Max Planck als 'Vater der Quantentheorie', wenngleich das gesamte theoretische Gebilde ein Werk vieler Quantenphysiker (Bohr, Rutherford, Sommerfeld, de Broglie, Fermi, Heisenberg, Schrödinger, Pauli, Dirac u.v.m.) war.
    Die Hamilton-Funktion der klassischen Mechanik wird in der Quantenmechanik vom Hamilton-Operator abgelöst. Er ist der Protagonist der quantenmechanischen Probleme, wie dem Wasserstoff-Problem und legt in der Schrödinger-Gleichung die Dynamik des Systems fest. Im zeitunabhängigen Fall wird die Schrödinger-Gleichung zu einer Eigenwert-Gleichung und die Eigenwerte des Hamilton-Operators bestimmen die energetischen Zustände des Systems, während die Eigenfunktionen die Wellenfunktion (Ψ, 'Psi') festlegen.
  • Die Erfolge in der Quantenmechanik läutete den Siegeszug der Quantenfeldtheorien ein. Die vier fundamentalen Wechselwirkungen der Physik, elektromagnetische, schwache, starke und gravitative Wechselwirkung, wurden als Austausch bestimmter Quanten, den intermediären Bosonen, begriffen. Gegenstand der Quantenfeldtheorien ist nun der Versuch, alle vier Wechselwirkungen zu quantisieren. Dies ist bis auf die Gravitation gelungen. Wesentlicher Ausfluss dieser Bemühungen in verschiedenen Quantenfeldtheorien ist das Standardmodell der Elementarteilchen.
    Weder die theoretische Beschreibung einer quantisierten Gravitation oder Quantengravitation ist in konsistenter Form gelungen, noch wurde das quantisierte Austauschteilchen der Gravitation, das Graviton, experimentell gefunden. Aussichtsreichster Kandidat zur Lösung dieses Problems sind die Stringtheorien.
  • Die wohl seltsamste Form von Energie hat eine zentrale Bedeutung in der Kosmologie und heißt Dunkle Energie. Diese Energieform tritt als der so genannte Lambda-Term in den Einsteinschen Gleichungen neben dem Energie-Impuls-Tensor in Erscheinung. Einstein selbst war es wiederum, der diese Energieform einführte (wenn er sie auch nicht Dunkle Energie nannte), um ein Statisches Universum theoretisch zu bewerkstelligen. Auch wenn nach den modernen Erkenntnissen das Universum expandiert, so stellte sich die Dunkle Energie als vital heraus, wie astronomische Messungen belegen: sie wirkt antigravitativ und treibt den Kosmos auseinander! Ihr Anteil überwiegt andere Energieformen bei weitem: sie macht offenbar etwa 70% aus!
    Die Dunkle Energie hat nicht nur kosmologische Relevanz, sondern ist ebenfalls die wesentliche Zutat bei den Gravasternen. Dabei handelt es sich um eine reguläre Raumzeit ohne Ereignishorizont, die die bisher favorisierten, aber singulären Schwarzen Löcher ablösen könnte. Die Dunkle Energie erscheint somit in vielfacher Hinsicht als interessante, kosmische Energieform.

Fazit: wohl die wichtigste Größe der Physik!

Dieser Streifzug durch die wesentlichen Teildisziplinen der Physik zeigt, dass sich die Energie wie ein Ariadnefaden durch das Labyrinth von Fragen der modernen Physik zieht. Immer wieder stoßen die Physiker auf den Energiebegriff, deuten und definieren ihn neu, finden neue Energieformen und erkennen die Energie als zentrales Element in der Natur. Die uralte Bedeutung Geist könnte nach modernem Verständnis treffender nicht sein.

Energiebedingungen

Energiebedingungen (engl. energy conditions, ECs) eignen sich im Rahmen der Allgemeinen Relativitätstheorie zur Klassifikation von Materie- und Energieformen. Man betrachtet dabei die Zustandsgleichung oder den w-Parameter oder den Energie-Impuls-Tensor der betreffenden Energieform und überprüft, ob die jeweilige Energiebedingung - eine mathematische Relation - gilt oder nicht.

Wozu?

Die Betrachtung von Energiebedingungen ist dadurch motiviert, dass in den Einsteinschen Feldgleichungen sehr viel Freiheit bei der Wahl eines Energie-Impuls-Tensors besteht. Möglicherweise ist jedoch die getroffene Wahl 'unphysikalisch' - die Energiebedingungen geben daher Kriterien an die Hand, um zu entscheiden, ob die Energieform physikalisch sinnvoll ist. Es gibt wohl mindestens sieben Energiebedingungen (Visser 1996); hier soll es um die wichtigsten vier gehen.

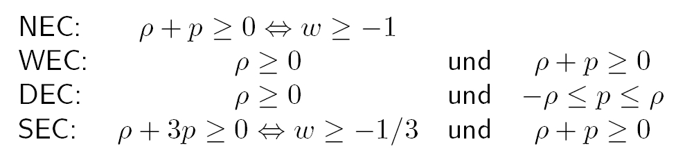
Null-Energiebedingung

Bei der Null-Energiebedingung (engl. null energy condition, NEC) bezieht sich die 'Null' auf Nullvektoren, also lichtartige Vektoren (siehe dazu Geodäte). Anschaulich besagt die Bedingung, dass die lokale Energiedichte, die ein beliebiger (zeitartiger) Beobachter misst, positiv sein muss.

schwache Energiebedingung

Die schwache Energiebedingung (engl. weak energy condition, WEC) besagt, dass sowohl die Energiedichte, als auch die Summe aus Energiedichte und Druck immer positiv sein müssen.

dominante Energiebedingung

Die dominante Energiebedingung (engl. dominant energy condition, DEC) sagt anschaulich aus, dass die lokale Energiedichte immer positiv sein muss und dass der Energiefluss zeitartig oder null sein muss.

starke Energiebedingung

Die starke Energiebedingung (engl. strong energy condition, SEC) besagt, dass die Spur des Energie-Impuls-Tensors immer größer oder gleich null sein muss. Anders gesagt muss der w-Parameter immer größer als -1/3 sein.

Null-, schwache, dominante und starke Energiebedingung

Allgemeines

Die vier Energiebedingungen stehen oben zusammengefasst als Gleichungen (große Version). Dabei sind ρ die Energiedichte und p der Druck. Es gilt, dass in der dominanten Energiebedingung automatisch die schwache Energiebedingung enthalten ist. Ebenso ist in der schwachen die Null-Energiebedingung enthalten. Aber dominante und schwache Energiebedingung sind nicht in der starken Energiebedingung enthalten. Die Null-Energiebedingung ist in der starken Energiebedingung enthalten.

Beispiele

Wie aus dem Lexikoneintrag w-Parameter hervorgeht (siehe Abbildung darin), liegen Quintessenz und Strings exakt auf der SEC. Topologische Defekte, kosmologische Konstante und Phantom-Energie verletzen die SEC. Topologische Defekte und kosmologische Konstante genügen der NEC, aber die Phantom-Energie verletzt sie. Aus diesem Grund wird die Phantom-Energie bisweilen als 'unphysikalisch' angesehen. Staub, Photonen, baryonische Materie und kalte Dunkle Materie erfüllen alle vier Energiebedingungen.

Buchtipp

  • Matt Visser: Lorentzian Wormholes; AIP, Woodbury, New York, 1996
Energie-Impuls-Tensor

Der Energie-Impuls-Tensor ist der zweite wesentliche Tensor der Allgemeinen Relativitätstheorie (ART). Er beschreibt den Zustand der Materie.

Vakuum: Energie-Impuls-Tensor null

Vakuum-Feldgleichungen der ART Die einfachste Möglichkeit ist die Abwesenheit von Materie, ein (relativistisches) Vakuum. Dann verschwindet der Energie-Impuls-Tensor und man hat die Vakuum-Feldgleichungen zu lösen (siehe Gleichung rechts). Alle elektrisch neutralen Schwarzen Löcher sind ohne Ausnahme Vakuumlösungen - nämlich die Schwarzschild-Lösung und die Kerr-Lösung. Die Masse des Schwarzen Loches befindet sich in den intrinsischen Singularitäten. Die Singularität kann als 'Masse ohne Materie' aufgefasst werden. Es ist eine Krümmungssingularität, wo die Raumzeit eine unendliche Krümmung aufweist. Das rechtfertigt im engeren Sinne die Bezeichnung 'Loch'.

Energie-Impuls-Tensor einer idealen Flüssigkeit

Jetzt mal mit Energie-Impuls-Tensor

Energie-Impuls-Tensor von Staub Bei Anwesenheit von Materie muss man adäquate Formulierungen für den Energie-Impuls-Tensor finden. Am wichtigsten sind die Energie-Impuls-Tensoren von inkohärenter, nicht-wechselwirkender Materie (vereinfacht gesagt Staub, siehe Gleichung rechts), von idealen Flüssigkeiten (Gleichung oben) und der des elektromagnetischen Feldes (Gleichung unten). Die Behandlung der Einsteinschen Feldgleichungen, das Auffinden von Lösungen, wird dann erheblich komplizierter! Im Prinzip kann man ganz allgemein den Energie-Impuls-Tensor aus bekannter Lagrangedichte einer Feldtheorie konstruieren. Dies ist der kanonische Weg in Quantenfeldtheorien.

Energie-Impuls-Tensor des elektromagnetischen Feldes

Energieerhaltung: ein zentraler Satz der Physik

Der Erhaltungssatz für Energie und Impuls, einer der zentralen Sätze der Physik überhaupt, manifestiert sich relativistisch im Verschwinden der kovarianten Ableitung des Energie-Impuls-Tensors. Die Ausformulierung dieser Bedingung liefert dann bekannte Erhaltungs- und Bewegungsgleichungen, wie die Kontinuitätsgleichung oder die Navier-Stokes-Gleichung der relativistischen Hydrodynamik.

Entfernungsmodul

Ein Synonym zum Begriff Distanzmodul, der unter dem Eintrag Helligkeit hergeleitet und erklärt wird.

eos

Eine in der Fachsprache sehr gebräuchliche Abkürzung für das Wort Zustandsgleichung (engl. equation of state).

pdf EE
pdf A-ZA-Z

nach oben

Lexikon - E 3 Lexikon - E 5


Start - Web-Artikel - Lexikon - Vorträge - Ausbildung - Essays - Rhetorik - Links - Autor - Kontakt
Andreas Müller © Andreas Müller, August 2007

Index

A
Abbremsparameter
ADAF
ADD-Szenario
ADM-Formalismus
AdS/CFT-Korrespondenz
AGB-Stern
Äquivalenzprinzip
Akkretion
Aktiver Galaktischer Kern
Alfvén-Geschwindigkeit
Alfvén-Zahl
Allgemeine Relativitätstheorie
Alpha-Zerfall
AMR
anthropisches Prinzip
Antigravitation
Antimaterie
Apastron
Apertursynthese
Aphel
Apogäum
Astronomie
Astronomische Einheit
asymptotisch flach
Auflösungsvermögen
Axion
AXP
B
Balbus-Hawley- Instabilität
Bardeen-Beobachter
Baryogenese
Baryonen
baryonische Materie
Bekenstein-Hawking- Entropie
Beobachter
Beta-Zerfall
Bezugssystem
Bianchi-Identitäten
Big Bang
Big Bounce
Big Crunch
Big Rip
Big Whimper
Birkhoff-Theorem
Blandford-Payne- Szenario
Blandford-Znajek- Mechanismus
Blauverschiebung
Blazar
BL Lac Objekt
Bogenminute
Bogensekunde
Bosonen
Bosonenstern
Boyer-Lindquist- Koordinaten
Bran
Brans-Dicke- Theorie
Brauner Zwerg
Brill-Wellen
Bulk
C
Carter-Konstante
Casimir-Effekt
Cauchy-Fläche
Cepheiden
Cerenkov-Strahlung
Chandrasekhar-Grenze
Chaplygin-Gas
Chiralität
Christoffel-Symbol
CMB
CNO-Zyklus
Comptonisierung
Cosmon
C-Prozess
D
Deep Fields
Derricks Theorem
de-Sitter- Kosmos
DGP-Szenario
Diffeomorphismus
differenzielle Rotation
Distanzmodul
Dodekaeder-Universum
Doppler-Effekt
Drei-Kelvin-Strahlung
Dunkle Energie
Dunkle Materie
E
Eddington-Finkelstein- Koordinaten
Eddington-Leuchtkraft
Effektivtemperatur
Eichtheorie
Einstein-Ring
Einstein-Rosen- Brücke
Einstein-Tensor
Eisenlinie
Eklipse
Ekliptik
Ekpyrotisches Modell
Elektromagnetismus
Elektronenvolt
elektroschwache Theorie
Elementarladung
Energie
Energiebedingungen
Energie-Impuls-Tensor
Entfernungsmodul
eos
eos-Parameter
Epizykel
Ereignishorizont
erg
Ergosphäre
eV
Extinktion
Extradimension
extragalaktisch
extrasolar
extraterrestrisch
Exzentrizität
F
Falschfarbenbild
Fanaroff-Riley- Klassifikation
Faraday-Rotation
Farbindex
Farbladung
Farbsupraleitung
Feldgleichungen
Fermi-Beschleunigung
Fermionen
Fermionenstern
Fernparallelismus
Feynman-Diagramm
FFO
FIDO
Flachheitsproblem
FLRW-Kosmologie
Fluchtgeschwindigkeit
Frame-Dragging
f(R)-Gravitation
Friedmann-Weltmodell
G
Galaktischer Schwarz-Loch-Kandidat
Galaxie
Gamma Ray Burst
Gamma-Zerfall
Geodäte
Geometrisierte Einheiten
Geometrodynamik
Gezeitenkräfte
Gezeitenradius
Gluonen
Grad
Granulation
Gravastern
Gravitation
Gravitationskollaps
Gravitationskühlung
Gravitationslinse
Gravitationsradius
Gravitations- rotverschiebung
Gravitationswellen
Gravitomagnetismus
Graviton
GRBR
Große Vereinheitlichte Theorien
Gruppe
GUT
GZK-cutoff
H
Hadronen
Hadronen-Ära
Hamilton-Jacobi- Formalismus
Harvard-Klassifikation
Hauptreihe
Hawking-Strahlung
Hawking-Temperatur
Helizität
Helligkeit
Herbig-Haro- Objekt
Hertzsprung-Russell- Diagramm
Hierarchieproblem
Higgs-Teilchen
Hilbert-Raum
Hintergrundmetrik
Hintergrundstrahlung
HLX
HMXB
Holostern
Homogenitätsproblem
Horizont
Horizontproblem
Horn-Universum
Hubble-Gesetz
Hubble-Klassifikation
Hubble-Konstante
Hydrodynamik
hydrostatisches Gleichgewicht
Hyperladung
Hypernova
Hyperonen
I
IC
Inertialsystem
Inflation
Inflaton
intergalaktisch
intermediate-mass black hole
interplanetar
interstellar
Isometrien
Isospin
Isotop
ITER
J
Jahreszeiten
Jansky
Jeans-Masse
Jet
K
Kaluza-Klein-Theorie
Kaup-Grenzmasse
Kaonen
Kataklysmische Veränderliche
Keine-Haare- Theorem
Kepler-Gesetze
Kerr-de-Sitter- Lösung
Kerr-Lösung
Kerr-Newman- de-Sitter- Lösung
Kerr-Newman- Lösung
Kerr-Schild- Koordinaten
Killing-Felder
Killing-Tensor
K-Korrektur
Koinzidenzproblem
Kollapsar
Kompaktes Objekt
Kompaktheit
Kompaktifizierung
Kompaneets-Gleichung
konforme Transformation
Kongruenz
Koordinatensingularität
Kopenhagener Deutung
Korona
Korrespondenzprinzip
Kosmische Strahlung
Kosmische Strings
Kosmographie
Kosmologie
Kosmologische Konstante
Kosmologisches Prinzip
kovariante Ableitung
Kovarianzprinzip
Kreisbeschleuniger
Kretschmann-Skalar
Krümmungstensor
Kruskal-Lösung
Kugelsternhaufen
L
Laborsystem
Ladung
Lagrange-Punkte
Lambda-Universum
Lapse-Funktion
Laserleitstern
Lense-Thirring- Effekt
Leptonen
Leptonen-Ära
Leptoquarks
Leuchtkraft
Leuchtkraftdistanz
Levi-Civita- Zusammenhang
Licht
Lichtjahr
Lichtkurve
Lie-Ableitung
Linearbeschleuniger
LINER
Linienelement
LIRG
LMXB
LNRF
Lokale Gruppe
Loop-Quantengravitation
Lorentz-Faktor
Lorentzgruppe
Lorentzinvarianz
Lorentz-Kontraktion
Lorentz-Transformation
Lundquist-Zahl
Luxon
M
Machscher Kegel
Machsches Prinzip
Machzahl
Magnetar
magnetische Rotationsinstabilität
Magnetohydrodynamik
Magnitude
marginal gebundene Bahn
marginal stabile Bahn
Markariangalaxie
Maxwell-Tensor
Membran-Paradigma
Mesonen
Metall
Metrik
Mikroblazar
Mikrolinse
Mikroquasar
Milchstraße
Minkowski-Metrik
Missing-Mass- Problem
mittelschwere Schwarze Löcher
MOND
Monopolproblem
Morphismus
M-Theorie
Myonen
N
Neutrino
Neutronenreaktionen
Neutronenstern
Newtonsche Gravitation
No-Hair-Theorem
Nova
Nukleon
Nukleosynthese
Nullgeodäte
O
Öffnung
Olbers-Paradoxon
O-Prozess
Oppenheimer-Volkoff- Grenze
optische Tiefe
Orthogonalität
P
Paradoxon
Paralleluniversum
Parsec
partielle Ableitung
Pauli-Prinzip
Penrose-Diagramm
Penrose-Prozess
Pentaquark
Periastron
Perigäum
Perihel
periodisch
persistent
Petrov-Klassifikation
PG1159-Sterne
Phantom-Energie
Photon
Photonenorbit
Photosphäre
Pion
Pioneer-Anomalie
Planck-Ära
Planckscher Strahler
Planck-Skala
Planet
Planetarische Nebel
Poincarégruppe
Poincaré- Transformation
Polytrop
Population
Post-Newtonsche Approximation
Poynting-Fluss
pp-Kette
p-Prozess
Prandtl-Zahl
primordiale Schwarze Löcher
Prinzip minimaler gravitativer Kopplung
Protostern
Pseudo-Newtonsche Gravitation
Pulsar
Pulsierendes Universum
Pyknonukleare Reaktionen
Q
QPO
Quant
Quantenchromodynamik
Quantenelektrodynamik
Quantenfeldtheorie
Quantengravitation
Quantenkosmologie
Quantenschaum
Quantensprung
Quantentheorie
Quantenvakuum
Quantenzahlen
Quark-Ära
Quark-Gluonen- Plasma
Quarks
Quarkstern
Quasar
quasi-periodisch
Quasi-periodische Oszillationen
Quelle
Quintessenz
R
Radioaktivität
Radiogalaxie
Radion
Randall-Sundrum- Modelle
Randverdunklung
Raumzeit
Rayleigh-Jeans- Strahlungsformel
Ray Tracing
Reichweite
Reionisation
Reissner-Nordstrøm- de-Sitter- Lösung
Reissner-Nordstrøm- Lösung
Rekombination
relativistisch
Relativitätsprinzip
Relativitätstheorie
Renormierung
Reverberation Mapping
Reynolds-Zahl
RGB-Bild
Ricci-Tensor
Riemann-Tensor
Ringsingularität
Robertson-Walker- Metrik
Robinson-Theorem
Roche-Volumen
Röntgendoppelstern
Roter Riese
Roter Zwerg
Rotverschiebung
Rotverschiebungsfaktor
r-Prozess
RRAT
RR Lyrae-Sterne
Ruhesystem
S
Schallgeschwindigkeit
scheinbare Größe
Schleifen- Quantengravitation
Schwache Wechselwirkung
Schwarzer Körper
Schwarzer Zwerg
Schwarzes Loch
Schwarzschild-de-Sitter- Lösung
Schwarzschild-Lösung
Schwarzschild-Radius
Schwerkraft
Seltsamer Stern
Seltsamkeit
Seyfert-Galaxie
Singularität
skalares Boson
SNR
Soft Gamma-Ray Repeater
Sonne
Spektraltyp
Spezialität
Spezielle Relativitätstheorie
Spin
Spin-Netzwerk
Spinschaum
Spin-Statistik-Theorem
Spintessenz
s-Prozess
Standardkerzen
Standardmodell
Standardscheibe
Starke Wechselwirkung
Statisches Universum
Staubtorus
Stefan-Boltzmann- Gesetz
stellare Schwarze Löcher
Stern
Sternentstehung
Strange Star
Stringtheorien
Subraum
Supergravitation
supermassereiche Schwarze Löcher
Supernova
Supernovaremnant
Superstringtheorie
Supersymmetrie
Symbiotische Sterne
Symmetrie
Symmetriebrechung
Symmetriegruppe
Synchrotron
Synchrotronstrahlung
Synchrozyklotron
T
Tachyon
Tagbogen
Tardyon
Teilchen
Teilchenbeschleuniger
Tensorboson
Tensoren
Tetraden
Tetraquark
TeVeS
Thermodynamik
thermonukleare Fusion
Tiefenfeldbeobachtung
Tierkreis
TNO
Topologie
topologische Defekte
Torsionstensor
Trägheit
transient
Transit
Triple-Alpha-Prozess
T Tauri Stern
Tunneleffekt
U
ULIRG
ULX
Unifikation
Unitarität
Universum
Unruh-Effekt
Urknall
V
Vakuum
Vakuumstern
Vektorboson
Velapulsar
Veränderliche
Vereinheitlichung
Viele-Welten- Theorie
VLA
VLBI
VLT
VLTI
Voids
VSOP
W
Walker-Penrose- Theorem
Weakonen
Weinberg-Winkel
Weiße Löcher
Weißer Zwerg
Wellenfunktion
Weylsches Postulat
Weyl-Tensor
Wheeler-DeWitt- Gleichung
Wiensche Strahlungsformel
Wilson-Loop
WIMP
Wolf-Rayet-Stern
w-Parameter
Wurmlöcher
X
X-Bosonen
X-Kraft
X-ray burster
Y
Y-Bosonen
Yerkes- Leuchtkraftklassen
YSO
Yukawa-Potential
Z
ZAMO
Zeit
Zeitdilatation
Zodiakallicht
Zustandsgleichung
Zustandsgröße
Zwerge
Zwergplanet
Zwillingsparadoxon
Zyklisches Universum
Zyklotron