start


Start
Web-Artikel
Lexikon
Vorträge
Ausbildung
Essays
Rhetorik
Links
Autor
Kontakt

Lexikon - L 5 Lexikon - L 7

Astro-Lexikon L 6


pdf LL
pdf A-ZA-Z

Lorentz-Faktor

Definition des Lorentz-Faktors Der Lorentz- oder Γ-Faktor (Gammafaktor) ist eine der wichtigsten dimensionslosen Größen in der Relativitätstheorie. Dieser Faktor hängt ausschließlich von der Relativgeschwindigkeit v ab. Dimensionslos wird der Lorentz-Faktor dadurch, dass die Geschwindigkeit v in der natürlichen Einheit der Relativitätstheorie, der Vakuumlichtgeschwindigkeit c gemessen wird. Im Vakuum bewegt sich das Licht mit 2.99792458 × 108 m/s. Das Verhältnis von Relativ- zu Lichtgeschwindigkeit wird üblicherweise mit dem griechischen Buchstaben β bezeichnet.

Γ als relativistisches Maß

Der Γ-Faktor steigt sehr stark mit Erhöhung der Geschwindigkeit an. Im Grenzwert v = c, divergiert der Lorentz-Faktor und geht gegen unendlich! Die folgenden Links verweisen auf Diagramme, in denen die Abhängigkeit des Lorentz-Faktors von der Relativgeschwindigkeit dargestellt wird:

Die Relativgeschwindigkeit ist ein Vektor v und gibt die relative, unbeschleunigte Bewegung von zwei Bezugssystemen zueinander an. So kann man beispielsweise die Geschwindigkeit eines schnellen Teilchens betrachten. Die beiden Bezugssysteme sind einmal das uns vertraute Laborsystem. So nennen Physiker das Bezugssystem, in dem man das sich bewegende Teilchen untersucht. Zum andern gibt es das Ruhesystem des Teilchens, in dem das Teilchen sich nicht bewegt; der Beobachter 'sitzt' sozusagen auf dem Teilchen. Die Relativgeschwindigkeit gibt nun an, wie sich das Ruhesystem gegenüber dem Laborsystem bewegt.
Bei einer Betrachtung in einer Raumdimension, bewegen sich beide Systeme in dieselbe Richtung, aber unterschiedlich schnell. Dann reicht es, diesen Unterschied mit der Relativgeschwindigkeit v anzugeben, die in diesem Spezialfall nur einen Betrag hat und ein Skalar ist. Im Allgemeinen bewegen sich Ruhesystem und Laborsystem allerdings in unterschiedliche Richtungen und der Vektorcharakter der Relativgeschwindigkeit muss berücksichtigt werden. In den Lorentz-Faktor geht der Betrag v dieses Vektors v ein, den man gemäß der Vektorrechnung nach der Formel v2 = |v|2 = vx2+ vy2+ vz2 erhält. (Hier wurde ein Kartesisches Koordinatensystem {x,y,z} gewählt, um die Komponenten der Geschwindigkeit anzugeben. Die Geschwindigkeit kann jedoch in einem beliebigen anderen Koordinatensystem dargestellt werden.)

Wozu benötigt man den Lorentz-Faktor?

Einerseits dient er dazu, um einzuschätzen, wie relativistisch eine Bewegung ist. Es geht also um die Frage, ob die Bewegung des betrachteten Objekt bereits so schnell ist - nämlich vergleichbar schnell mit der Bewegung des Lichts - dass Effekte der Speziellen Relativitätstheorie eine Rolle spielen und berücksichtigt werden müssen. Diese Effekte sind die Zeitdilatation und die Lorentz-Kontraktion (oder Längenkontraktion): Länge und Zeitablauf hängen davon ab, wie schnell sich das betrachtete Objekt bewegt!
Es hat sich folgende Bezeichnungsweise eingebürgert, die klassifiziert, wie relativistisch eine Bewegung ist:

  • Lorentz-Faktor gleich oder vergleichbar 1: nicht-relativistisch (engl. non-relativistic),
  • Lorentz-Faktor größer als 2: relativistisch (engl. relativistic),
  • Lorentz-Faktor größer als 10: 'mittelrelativistisch' (engl. mid-relativistic),
  • Lorentz-Faktor größer als 100: ultrarelativistisch (engl. ultra-relativistic).

Lorentz-Transformationen

Andererseits geht der Lorentz-Faktor wesentlich in die Lorentz-Transformationen, den so genannten Boosts ein. Die Lorentz-Transformation vermittelt zwischen Ruhesystem und Laborsystem. Möchte man die relativistische Bewegung eines Teilchens im einen System vergleichen mit der im anderen System, so führt man die Lorentz-Transformation aus.
Außerdem gewichtet der Γ-Faktor die relativistischen Effekte Zeitdilatation und Längenkontraktion: Je größer Γ ist, umso ausgeprägter sind relativistische Phänomene. Dabei geht die geht die relativistische Mechanik stetig in die nicht-relativistische, die klassische oder Newtonsche Mechanik über. Die in der Physik schon viel länger bekannten Gesetze der klassischen Mechanik sind als Grenzfall in der relativistischen Mechanik enthalten. Das quantifiziert gerade der Lorentz-Faktor, weil er im Newtonschen Grenzfall sehr klein wird und gegen eins konvergiert. Das illustriert das erste Diagramm oben bei kleinen Geschwindigkeiten v.

Teilchenphysik: große Γs

In der Teilchenphysik sind relativistische Effekte an der Tagesordnung: In Teilchenbeschleunigern erreichen die beschleunigten Teilchen (Elektronen, Positronen, Protonen, Atomkerne) relativistische Geschwindigkeiten. Die relativistischen Effekte müssen bei den Beschleunigungsvorgängen berücksichtigt werden, so z.B. die Lorentz-Kontraktion der Atomkerne bei einer Kollision.

große Γs in der Astronomie

In der Astronomie gibt es eine Reihe sehr energetischer Prozesse, die hohe Lorentz-Faktoren involvieren. So bewegt sich in der Nähe eines Schwarzen Loches der Akkretionsfluss relativistisch schnell, ebenso die Jets, die aus der Zentralregion von Aktiven Galaktischen Kernen oder kompakten Objekten beschleunigt werden. Am Entstehungsort der Jets (dem so genannten Fußpunkt) sind typische Lorentz-Faktoren unterhalb von 10. Extreme Geschwindigkeiten wurden bei Gamma Ray Bursts beobachtet, die auf Γ-Faktoren bis 1000 schließen lassen.
Rekordhalter im Universum sind wohl die Pulsare: Die magnetisch getriebenen Pulsarwinde erreichen durch Nachbeschleunigung Lorentz-Faktoren bis 10000000! Ein prominentes Beispiel dafür, der Crabnebel im Sternbild Stier, wird im Lexikoneintrag SNR beschrieben.

Lorentzgruppe

Die eigentlichen, orthochronen Lorentz-Transformationen bilden eine mathematische Gruppe.

Gruppeneigenschaften

Generell gibt es in der Gruppenstruktur Elemente einer bestimmten Menge, die miteinander durch eine mathematische Operation verknüpft werden. Bei den Gruppen resultiert aus dieser Operation wieder ein Element, das zur Ausgangsmenge gehört.
Gruppen als mathematisches Gebilde genügen bestimmten mathematischen Kriterien, wie

  • der Existenz eines neutralen Elements;
  • der Existenz eines inversen Elements und
  • der Assoziativität.

Ist außerdem die Kommutativität gegeben, also Vertauschen der Reihenfolge von Operationen führt zum gleichen Ergebnis, so nennt man die Gruppe abelsch.
Diesen Kriterienkatalog kann man nun auf die Lorentz-Transformationen anwenden und nachweisen, dass sie die so genannte Lorentzgruppe bilden:

  • die Identität bildet die Transformationsmatrix mit verschwindender Relativgeschwindigkeit, v = 0. Die Lorentz-Transformationsmatrix wird dann gerade die Einheitsmatrix und überführt Vierervektoren in sich selbst.
  • Das inverse Element ist gerade die inverse Transformationsmatrix, die man erhält, wenn man β durch -β ersetzt: Die Geschwindigkeit wird invertiert.
  • Ebenso lässt sich die Assoziativität der Lorentz-Transformationen auf das Assoziativgesetz bei der Matrizenmultiplikation zurückführen.

vier Typen von Lorentz-Transformationen

    Man unterscheidet vier Typen von Lorentz-Transformationen (siehe Abbildung):
  • die eigentlichen oder orientierungserhaltenden (engl. orientation-preserving) Lorentz-Transformationen,
  • die uneigentlichen Lorentz-Transformationen,
  • die orthochronen oder zeitorientierungserhaltenden (engl. orthochronous or time-preserving) Lorentz-Transformationen
  • und die nicht-orthochronen Lorentz-Transformationen.
Terminologie bei Lorentz-Transformationen und Lorentz-Gruppe

weitere Lorentzgruppen

Nur die eigentlichen, orthochronen Lorentz-Transformationen (engl. proper orthochronous Lorentz transformations) bilden eine Untergruppe der Lorentzgruppe. Es handelt sich dabei um eine sechsparametrige, kontinuierliche Transformationsgruppe.
Darüber hinaus entspricht eine Hintereinanderausführung zweier Lorentztransformationen mit verschiedenen Relativgeschwindigkeiten gerade der Multiplikation von Matrizen bzw. hintereinander ausgeführten Drehungen mit verschiedenen Winkeln im Minkowski-Raum (Distributivgesetz).

Bezug zu Drehungen

Die Lorentzgruppe unterscheidet man in Spezielle und Allgemeine Lorentzgruppe und ordnet sie entsprechend der Speziellen Relativitätstheorie und der Allgemeinen Relativitätstheorie zu. In der Gruppentheorie stellt sich heraus, dass die Lorentzgruppe eine enge Verwandtschaft zur Rotationsgruppe, SO(3), aufweist. Die volle Lorentz-Transformation setzt dann zwei beliebige Inertialsysteme zueinander in Beziehung und kann in eine Verkettung von gewöhnlicher Raumdrehung, Boosttransformation und weiterer Raumdrehung zerlegt werden.
Der physikalische und erkenntnistheoretische Gehalt der physikalischen Gruppentheorien ist sehr tiefsinnig und trägt weiter als dieser mathematische Apparat anmutet: Während das Newtonsche Gesetz invariant unter Galilei-Transformationen ist und mit der Struktur der Galilei-Gruppe in Zusammenhang steht, wurde mit der Relativitätstheorie eine neue Gruppenstruktur gefunden: die Lorentzgruppe. Die Gesetze der Relativitätstheorie sind invariant unter Lorentz-Transformationen, man sagt auch verkürzend lorentzinvariant. Dies ist eine Folge des Relativitätsprinzips: Alle inertialen Beobachter sind äquivalent. (siehe auch Äquivalenzprinzip). Daneben steht das Kovarianzprinzip: Physikalische Gesetze sind forminvariant unter Lorentz-Transformationen. Daraus resultiert die notwendige mathematische Beschreibung mit Tensoren, also Gebilden, die in allen Koordinatensystemen die gleiche Gestalt haben.

Poincarégruppe

Es gibt jedoch noch eine der Lorentzgruppe übergeordnete Gruppenstruktur, die Poincarégruppe.

Lorentzinvarianz

Das Prinzip der Lorentzinvarianz ist eine wesentliche Eigenschaft der Relativitätstheorie. Vom Begriff her meint Lorentzinvarianz, dass die Beobachter oder physikalische Größen ineinander durch Lorentz-Transformationen überführt werden können, ohne dass dabei die physikalischen Verhältnisse geändert werden. Dieses Nicht-Ändern bezeichnet man in der mathematischen Physik mit dem Begriff Invarianz. Letztendlich ist dies eine Symmetrieeigenschaft. Die entsprechende Symmetriegruppe dieser Transformation heißt Lorentzgruppe. Eine lorentzinvariante Größe ist in allen Bezugssystemen identisch.

Lorentzinvarianz in Einsteins Theorien

Lorentzinvarianz gilt in beiden Theorien, der Speziellen Relativitätstheorie (SRT), wo relativ zueinander gleichförmig geradlinig bewegte Systeme oder relativ in Ruhe befindliche Systeme betrachtet werden; aber auch in der Allgemeinen Relativitätstheorie (ART), wo die Relativbewegungen zu gleichmäßig beschleunigten bzw. frei fallenden Systemen verallgemeinert wurden. Es gibt jedoch einen gewichtigen Unterschied: Die SRT ist global lorentzinvariant, die ART ist nur lokal lorentzinvariant. Das bedeutet, dass die Lorentzinvarianz in der Minkowski-Metrik, der Raumzeit der SRT, überall gilt. Man kann von beliebigen Weltpunkten auf der Mannigfaltigkeit zu anderen mittels Lorentz-Transformation wechseln; die Größe bleibt gleich. In der ART gilt das nur noch lokal, also in einem Weltpunkt mit unmittelbarer Umgebung, weil die Raumzeit global im Allgemeinen gekrümmt ist. Anders gesagt: In einer beliebig kleinen Umgebung um einen Weltpunkt in global gekrümmter Raumzeit gilt lokale Flachheit und Lorentzinvarianz.

Lorentzinvarianz mündet in Einsteins Prinzipien

Wie gesagt, messen lorentzinvariante Beobachter in einem physikalischen Experiment dieselben Größen und werden zum gleichen Versuchsergebnis kommen. Diese Gleichberechtigung der Beobachter mündet in das Relativitätsprinzip und weiter verallgemeinert in das Äquivalenzprinzip.

Gilt Lorentzinvarianz immer?

Einige Varianten der Quantengravitationstheorien sagen eine Verletzung der Lorentzinvarianz voraus, so z.B. die Stringtheorien. Dies konnte bisher nicht mit astronomischen Messungen, beispielsweise der elektronischen Synchrotronstrahlung im Krebsnebel, bestätigt werden. Weitere Tests der Lorentzinvarianz sind dennoch dringend erforderlich, um den Gültigkeitsrahmen der Relativitätstheorie auszuloten.

Lorentz-Kontraktion

Die Lorentz-Kontraktion oder eigentlich Fitzgerald-Lorentz Kontraktion geht zurück auf die Physiker George Francis Fitzgerald (1851 - 1901) und Hendrik Antoon Lorentz (1853 - 1928). Zusammen mit dem Mathematiker Jules Henri Poincaré (1854 - 1912) deuteten sie 1895 mit dieser Kontraktion von Längen sowie der Zeitdilatation das Nullresultat des Michelson-Morley-Experiments (1881/87). In diesem Experiment sollte der Weltäther nachgewiesen werden, der als Trägersubstanz der Lichtwellen postuliert wurde. Das Nullresultat bestand darin, dass sich das Licht auf allen Laufstrecken mit gleicher konstanter Geschwindigkeit ausbreitete. Fitzgerald, Lorentz und Poincaré hielten dennoch am Weltäther fest und postulierten ad hoc die Längenkontraktion und die Zeitdilatation, die die Messgeräte entsprechend beeinflussen mögen, so dass das Nullresultat zustande kommt. Die Lorentz-Transformation stellte gerade die Mathematik, um diese Mechanismen zu beschreiben.

Weg mit dem Äther!

Albert Einstein schlug vor, gänzlich auf den Weltäther zu verzichten. Seine Spezielle Relativitätstheorie (SRT) postuliert nur die Konstanz der Lichtgeschwindigkeit und das Relativitätsprinzip. Auf diese Weise lässt sich das Nullresultat sehr elegant erklären. Die Lorentz-Transformation stellte sich als richtig heraus, nicht hingegen die damit verbundene ursprüngliche Interpretation von Fitzgerald, Lorentz und Poincaré. Erst Einstein gelang es, eine neue, revolutionäre Sichtweise von Raum und Zeit zu etablieren.

Lorentz-Kontraktion von Atomkernen

Ein relativistischer Effekt

In der Relativitätstheorie beschreibt die Lorentz- oder Längenkontraktion einen relativistischen Effekt, wo ein relativistisch bewegter Körper eine Längenverkürzung in Bewegungsrichtung erfährt und zwar gerade um den Lorentz-Faktor oder Γ-Faktor (1-(v/c)2)-1/2. Mathematisch geht dies auf die Eigenschaften der Speziellen Lorentz-Transformation zurück, die gerade zwischen zwei verschiedenen Inertialsystemen vermittelt. Geschwindigkeiten in der Relativitätstheorie misst man meist in Einheiten der Lichtgeschwindigkeit c. Daher bietet sich die dimensionslose Größe v/c an, die man üblicherweise mit β abkürzt.

Keine Science-Fiction!

Die Lorentz-Kontraktion wurde auch experimentell nachgewiesen. So werden in Teilchenbeschleunigern im Ruhesystem kugelförmig erscheinende schwere Ionen, die aus vielen Nukleonen bestehen, in Bewegungsrichtung gestaucht (siehe Abbildung oben rechts: Gegenüberstellung von mitbewegten und statischen Beobachtersystemen). Die lorentz-kontrahierten, schweren Ionen haben deshalb im Laborsystem eine abgeflachte Gestalt und ähneln eher einem Pfannkuchen als einer Kugel. Es ist sehr beeindruckend, dass Einstein diesen Sachverhalt bereits in seinem Wunderjahr 1905 im legendären Papier Zur Elektrodynamik bewegter Körper berechnete! Freilich war dort nicht die Rede von lorentz-kontrahierten Atomkernen, doch führte er die Rechnung explizit vor (§4), wie eine Kugel zu einem Rotationsellipsoid via Lorentz-Boost deformiert wird.

2. relativistischer Effekt: Zeitdilatation

Der mit der Lorentz-Kontraktion verwandte relativistische Effekt heißt Zeitdilatation und wirkt sich allerdings auf Zeitintervalle aus.

Lorentz-Transformation

Lorentz-Transformation Die Lorentz-Transformation ist eine mathematische Operation, die zwischen gegeneinander gleichförmig geradlinig bewegten Bezugssystemen (Spezielle Relativitätstheorie, SRT) oder gegeneinander frei fallenden (beschleunigten) Bezugssystemen (Allgemeine Relativitätstheorie) vermittelt. Sie hat die klassische Galilei-Transformation abgelöst, in der die Zeittransformation eine Identität war, t = t', und somit den Begriff einer absoluten Zeit erlaubte. In der Relativitätstheorie hat die Zeit einen relativen Charakter, was sehr gut aus den Gleichungen der Lorentz-Transformation zu ersehen ist.

Mathematisch formuliert

Mathematisch gesehen ist die Lorentz-Transformation eine lineare, homogene Transformation (siehe erste Abbildung rechts oben), die bezogen auf zu transformierenden Vierervektoren der Relativitätstheorie durch eine 4 × 4-Matrix (meist mit Λ bezeichnet, siehe Gleichung) dargestellt werden kann. Die Lorentz-Transformation ist ein Spezialfall der Poincaré-Transformation. Letztere bezieht ebenfalls Translationen mit ein und ist damit eine lineare, inhomogene Transformation. Beide Transformationstypen bilden mathematische Gruppen: die Lorentzgruppe bzw. die Poincarégruppe.

Der Pionier

Die Bezeichnung Lorentz-Transformation ist mit dem niederländischen Physiker Hendrik Antoon Lorentz (1853 - 1928) verbunden, der grundlegende Arbeiten auf dem Gebiet der Relativitätstheorie leistete und - wie Albert Einstein - den negativen Ausgang des Michelson-Morley-Versuchs zur Messung eines Weltäthers aufgriff. Mit ihm sind bis heute die Begriffe Lorentz-Kontraktion, Lorentz-Faktor und Lorentzgruppe verknüpft.

absolute Lichtgeschwindigkeit

Die natürliche und einzige Einheit der Speziellen Relativitätstheorie ist die Vakuumlichtgeschwindigkeit c. Sie ist unveränderlich in jedem Bezugsystem und in diesem Sinne absolut wie in der SRT postuliert wird (Nicht alles ist relativ in der Relativitätstheorie!). Es bietet sich daher an, Geschwindigkeiten in Einheiten der Lichtgeschwindigkeit zu messen. Dies legt die dimensionslose Größe v/c (meist als β bezeichnet) fest, wie die Definition des Lorentz-Faktors zweite Abbildung zeigt. In der Ableitung des Lorentz-Transformationsgesetzes taucht der so genannte Lorentz-Faktor (γ, siehe zweite Abbildung, untere Zeile) auf. Dieser Faktor, der von der Relativgeschwindigkeit v zweier gegeneinander bewegter Bezugssysteme abhängt, ist immer zu beachten, wenn man von einem Bezugssystem ins andere wechselt. Er ist von immenser Wichtigkeit für die gesamte Relativitätstheorie und ist derjenige Faktor, der die Längen- oder Lorentz-Kontraktion und die Zeitdilatation ausmacht.
Lorentz-Transformationsmatrix in x-Richtung Mathematisch kann man die Lorentz-Transformation durch ein Matrix-Vektor-Produkt schreiben (erste Gleichung oben). Die Vektoren x sind Vierervektoren mit einer zeitlichen Komponente und drei räumlichen Komponenten. Entsprechend ist die Transformationsmatrix, die gerade die Lorentz-Transformation vermittelt, eine 4 × 4-Matrix, hat also 16 Einträge. Links ist die Transformationsmatrix dargestellt für eine Lorentz-Transformation in x-Richtung, einem so genannten x Boost.
explizite Komponenendarstellung nach einer Lorentz-Transformation in x-Richtung Anschaulich ist die Spezielle Lorentz-Transformation eine Drehung im Minkowski-Raum. Die Lorentzgruppe ist verwandt mit der Drehgruppe und enthält die Rotationen im Raum. Ein Boost ist im Prinzip auch eine Drehung, in der allerdings Raum und Zeit ineinander überführt werden (das wird klar beim Betrachten der expliziten Transformationsgesetze unten). Deshalb nennt man die Boosts auch Pseudo-Rotationen. Die Allgemeine Lorentz-Transformation entspricht hingegen einer Speziellen Lorentz-Transformation verkettet mit einer Raumdrehung.
Anschaulich bedeutet dies, dass die Relativgeschwindigkeit v zwischen ungestrichenem (Ruhesystem) und gestrichenem System (relativ bewegtes System) parallel zur x-Richtung ist. Wie die nächste Abbildung rechts zeigt, bleiben die y- und z-Komponente des Orts-Vierervektors unverändert (invariant), während sich die Raumkomponente in Boost-Richtung (nämlich x) und die zeitliche Komponente t verändern, wenn man in ein anderes Bezugssystem wechselt! Diese Eigenschaft belegt die enge Verknüpfung von Raum und Zeit zur Raumzeit bzw. dem Raum-Zeit-Kontinuum. Nachrechnen kann man die vier komponentenweise notierten Transformationsgesetze schnell durch Berechnung des Matrix-Vektor-Produkts aus der Transformationsmatrix oben und einem Orts-Vierervektor x = (x0, x1, x2, x3)T = (ct, x, y, z)T (Bemerkung: T steht für den transponierten Vektor, denn: Matrix × Spaltenvektor = Spaltenvektor.).

Weitere Anmerkung

Es gibt auch Schreibweisen der Lorentz-Transformation, bei denen die imaginäre Einheit i = (-1)1/2 verwendet wird. Diese Zugänge sind zwar mathematisch äquivalent, jedoch veraltet. Ein Gebrauch von i ist aus pädagogischen Gründen nicht zu empfehlen, weil es vor allem Einsteiger in der Relativitätstheorie verwirrt.

Eigenschaften der Lorentz-Transformation

  • Es ist eine lineare Transformation. Durch diese Eigenschaft bleibt physikalisch gesprochen der Typus der Bewegung (gleichförmig bzw. frei fallend) erhalten.
  • Die Determinante der Transformationsmatrix ist 1 (siehe kurze Rechnung unten).
  • Für den Limes kleiner Geschwindigkeiten gegenüber der Vakuumlichtgeschwindigkeit c geht die Lorentz-Transformation in die klassische Galilei-Transformation über.
  • Die inverse Lorentz-Transformation erhält man durch Ersetzen von v/c (beta) in der Transformationsmatrix durch -v/c. Physikalisch interpretiert wird dabei einfach die Bewegungsrichtung umgekehrt.
Nachweis: Determinante der Transformationsmatrix ist 1

Lorentz-Invarianten

Lorentz-Invarianten ändern sich nicht bei einer Lorentz-Transformation, d.h. sie sind in allen Bezugssystemen gleich! So ist die Länge eines Weltvektors eine Lorentz-Invariante, weil Weltvektoren unter Lorentz-Transformationen nur im Minkowski-Raum gedreht werden. Dies enthüllt den engen Zusammenhang von Rotationsgruppen und der Speziellen Lorentzgruppe.

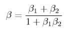
Additionstheorem für Geschwindigkeiten

Additionstheorem der Geschwindigkeiten: Kombination zweier Boosts in gleicher Richtung Das Additionstheorem für (Relativ-)Geschwindigkeiten lässt sich leicht durch eine Verkettung von Lorentz-Transformationen nachweisen. An diesem Gesetz (siehe Gleichung rechts) sieht man leicht, dass das Licht einer bewegten Lichtquelle sich nicht etwa mit Lichtgeschwindigkeit plus Geschwindigkeit der Lichtquelle bewegt, sondern - wie im Postulat Einsteins gefordert - die Lichtgeschwindigkeit konstant bleibt. Dieses Additionstheorem geht für kleine Geschwindigkeiten (v viel kleiner als c) in das wohl vertraute Gesetz für Geschwindigkeiten über, wonach ein Geschoss, das von einer bewegten Quelle stammt, auch die Geschwindigkeit der Quelle hinzuaddiert bekommt.

Spinoren

Eine verallgemeinerte Mathematik der Lorentz-Transformation in der Allgemeinen Relativitätstheorie bietet die Spinor-Algebra.

pdf LL
pdf A-ZA-Z

nach oben

Lexikon - L 5 Lexikon - L 7


Start - Web-Artikel - Lexikon - Vorträge - Ausbildung - Essays - Rhetorik - Links - Autor - Kontakt
Andreas Müller © Andreas Müller, August 2007

Index

A
Abbremsparameter
ADAF
ADD-Szenario
ADM-Formalismus
AdS/CFT-Korrespondenz
AGB-Stern
Äquivalenzprinzip
Akkretion
Aktiver Galaktischer Kern
Alfvén-Geschwindigkeit
Alfvén-Zahl
Allgemeine Relativitätstheorie
Alpha-Zerfall
AMR
anthropisches Prinzip
Antigravitation
Antimaterie
Apastron
Apertursynthese
Aphel
Apogäum
Astronomie
Astronomische Einheit
asymptotisch flach
Auflösungsvermögen
Axion
AXP
B
Balbus-Hawley- Instabilität
Bardeen-Beobachter
Baryogenese
Baryonen
baryonische Materie
Bekenstein-Hawking- Entropie
Beobachter
Beta-Zerfall
Bezugssystem
Bianchi-Identitäten
Big Bang
Big Bounce
Big Crunch
Big Rip
Big Whimper
Birkhoff-Theorem
Blandford-Payne- Szenario
Blandford-Znajek- Mechanismus
Blauverschiebung
Blazar
BL Lac Objekt
Bogenminute
Bogensekunde
Bosonen
Bosonenstern
Boyer-Lindquist- Koordinaten
Bran
Brans-Dicke- Theorie
Brauner Zwerg
Brill-Wellen
Bulk
C
Carter-Konstante
Casimir-Effekt
Cauchy-Fläche
Cepheiden
Cerenkov-Strahlung
Chandrasekhar-Grenze
Chaplygin-Gas
Chiralität
Christoffel-Symbol
CMB
CNO-Zyklus
Comptonisierung
Cosmon
C-Prozess
D
Deep Fields
Derricks Theorem
de-Sitter- Kosmos
DGP-Szenario
Diffeomorphismus
differenzielle Rotation
Distanzmodul
Dodekaeder-Universum
Doppler-Effekt
Drei-Kelvin-Strahlung
Dunkle Energie
Dunkle Materie
E
Eddington-Finkelstein- Koordinaten
Eddington-Leuchtkraft
Effektivtemperatur
Eichtheorie
Einstein-Ring
Einstein-Rosen- Brücke
Einstein-Tensor
Eisenlinie
Eklipse
Ekliptik
Ekpyrotisches Modell
Elektromagnetismus
Elektronenvolt
elektroschwache Theorie
Elementarladung
Energie
Energiebedingungen
Energie-Impuls-Tensor
Entfernungsmodul
eos
eos-Parameter
Epizykel
Ereignishorizont
erg
Ergosphäre
eV
Extinktion
Extradimension
extragalaktisch
extrasolar
extraterrestrisch
Exzentrizität
F
Falschfarbenbild
Fanaroff-Riley- Klassifikation
Faraday-Rotation
Farbindex
Farbladung
Farbsupraleitung
Feldgleichungen
Fermi-Beschleunigung
Fermionen
Fermionenstern
Fernparallelismus
Feynman-Diagramm
FFO
FIDO
Flachheitsproblem
FLRW-Kosmologie
Fluchtgeschwindigkeit
Frame-Dragging
f(R)-Gravitation
Friedmann-Weltmodell
G
Galaktischer Schwarz-Loch-Kandidat
Galaxie
Gamma Ray Burst
Gamma-Zerfall
Geodäte
Geometrisierte Einheiten
Geometrodynamik
Gezeitenkräfte
Gezeitenradius
Gluonen
Grad
Granulation
Gravastern
Gravitation
Gravitationskollaps
Gravitationskühlung
Gravitationslinse
Gravitationsradius
Gravitations- rotverschiebung
Gravitationswellen
Gravitomagnetismus
Graviton
GRBR
Große Vereinheitlichte Theorien
Gruppe
GUT
GZK-cutoff
H
Hadronen
Hadronen-Ära
Hamilton-Jacobi- Formalismus
Harvard-Klassifikation
Hauptreihe
Hawking-Strahlung
Hawking-Temperatur
Helizität
Helligkeit
Herbig-Haro- Objekt
Hertzsprung-Russell- Diagramm
Hierarchieproblem
Higgs-Teilchen
Hilbert-Raum
Hintergrundmetrik
Hintergrundstrahlung
HLX
HMXB
Holostern
Homogenitätsproblem
Horizont
Horizontproblem
Horn-Universum
Hubble-Gesetz
Hubble-Klassifikation
Hubble-Konstante
Hydrodynamik
hydrostatisches Gleichgewicht
Hyperladung
Hypernova
Hyperonen
I
IC
Inertialsystem
Inflation
Inflaton
intergalaktisch
intermediate-mass black hole
interplanetar
interstellar
Isometrien
Isospin
Isotop
ITER
J
Jahreszeiten
Jansky
Jeans-Masse
Jet
K
Kaluza-Klein-Theorie
Kaup-Grenzmasse
Kaonen
Kataklysmische Veränderliche
Keine-Haare- Theorem
Kepler-Gesetze
Kerr-de-Sitter- Lösung
Kerr-Lösung
Kerr-Newman- de-Sitter- Lösung
Kerr-Newman- Lösung
Kerr-Schild- Koordinaten
Killing-Felder
Killing-Tensor
K-Korrektur
Koinzidenzproblem
Kollapsar
Kompaktes Objekt
Kompaktheit
Kompaktifizierung
Kompaneets-Gleichung
konforme Transformation
Kongruenz
Koordinatensingularität
Kopenhagener Deutung
Korona
Korrespondenzprinzip
Kosmische Strahlung
Kosmische Strings
Kosmographie
Kosmologie
Kosmologische Konstante
Kosmologisches Prinzip
kovariante Ableitung
Kovarianzprinzip
Kreisbeschleuniger
Kretschmann-Skalar
Krümmungstensor
Kruskal-Lösung
Kugelsternhaufen
L
Laborsystem
Ladung
Lagrange-Punkte
Lambda-Universum
Lapse-Funktion
Laserleitstern
Lense-Thirring- Effekt
Leptonen
Leptonen-Ära
Leptoquarks
Leuchtkraft
Leuchtkraftdistanz
Levi-Civita- Zusammenhang
Licht
Lichtjahr
Lichtkurve
Lie-Ableitung
Linearbeschleuniger
LINER
Linienelement
LIRG
LMXB
LNRF
Lokale Gruppe
Loop-Quantengravitation
Lorentz-Faktor
Lorentzgruppe
Lorentzinvarianz
Lorentz-Kontraktion
Lorentz-Transformation
Lundquist-Zahl
Luxon
M
Machscher Kegel
Machsches Prinzip
Machzahl
Magnetar
magnetische Rotationsinstabilität
Magnetohydrodynamik
Magnitude
marginal gebundene Bahn
marginal stabile Bahn
Markariangalaxie
Maxwell-Tensor
Membran-Paradigma
Mesonen
Metall
Metrik
Mikroblazar
Mikrolinse
Mikroquasar
Milchstraße
Minkowski-Metrik
Missing-Mass- Problem
mittelschwere Schwarze Löcher
MOND
Monopolproblem
Morphismus
M-Theorie
Myonen
N
Neutrino
Neutronenreaktionen
Neutronenstern
Newtonsche Gravitation
No-Hair-Theorem
Nova
Nukleon
Nukleosynthese
Nullgeodäte
O
Öffnung
Olbers-Paradoxon
O-Prozess
Oppenheimer-Volkoff- Grenze
optische Tiefe
Orthogonalität
P
Paradoxon
Paralleluniversum
Parsec
partielle Ableitung
Pauli-Prinzip
Penrose-Diagramm
Penrose-Prozess
Pentaquark
Periastron
Perigäum
Perihel
periodisch
persistent
Petrov-Klassifikation
PG1159-Sterne
Phantom-Energie
Photon
Photonenorbit
Photosphäre
Pion
Pioneer-Anomalie
Planck-Ära
Planckscher Strahler
Planck-Skala
Planet
Planetarische Nebel
Poincarégruppe
Poincaré- Transformation
Polytrop
Population
Post-Newtonsche Approximation
Poynting-Fluss
pp-Kette
p-Prozess
Prandtl-Zahl
primordiale Schwarze Löcher
Prinzip minimaler gravitativer Kopplung
Protostern
Pseudo-Newtonsche Gravitation
Pulsar
Pulsierendes Universum
Pyknonukleare Reaktionen
Q
QPO
Quant
Quantenchromodynamik
Quantenelektrodynamik
Quantenfeldtheorie
Quantengravitation
Quantenkosmologie
Quantenschaum
Quantensprung
Quantentheorie
Quantenvakuum
Quantenzahlen
Quark-Ära
Quark-Gluonen- Plasma
Quarks
Quarkstern
Quasar
quasi-periodisch
Quasi-periodische Oszillationen
Quelle
Quintessenz
R
Radioaktivität
Radiogalaxie
Radion
Randall-Sundrum- Modelle
Randverdunklung
Raumzeit
Rayleigh-Jeans- Strahlungsformel
Ray Tracing
Reichweite
Reionisation
Reissner-Nordstrøm- de-Sitter- Lösung
Reissner-Nordstrøm- Lösung
Rekombination
relativistisch
Relativitätsprinzip
Relativitätstheorie
Renormierung
Reverberation Mapping
Reynolds-Zahl
RGB-Bild
Ricci-Tensor
Riemann-Tensor
Ringsingularität
Robertson-Walker- Metrik
Robinson-Theorem
Roche-Volumen
Röntgendoppelstern
Roter Riese
Roter Zwerg
Rotverschiebung
Rotverschiebungsfaktor
r-Prozess
RRAT
RR Lyrae-Sterne
Ruhesystem
S
Schallgeschwindigkeit
scheinbare Größe
Schleifen- Quantengravitation
Schwache Wechselwirkung
Schwarzer Körper
Schwarzer Zwerg
Schwarzes Loch
Schwarzschild-de-Sitter- Lösung
Schwarzschild-Lösung
Schwarzschild-Radius
Schwerkraft
Seltsamer Stern
Seltsamkeit
Seyfert-Galaxie
Singularität
skalares Boson
SNR
Soft Gamma-Ray Repeater
Sonne
Spektraltyp
Spezialität
Spezielle Relativitätstheorie
Spin
Spin-Netzwerk
Spinschaum
Spin-Statistik-Theorem
Spintessenz
s-Prozess
Standardkerzen
Standardmodell
Standardscheibe
Starke Wechselwirkung
Statisches Universum
Staubtorus
Stefan-Boltzmann- Gesetz
stellare Schwarze Löcher
Stern
Sternentstehung
Strange Star
Stringtheorien
Subraum
Supergravitation
supermassereiche Schwarze Löcher
Supernova
Supernovaremnant
Superstringtheorie
Supersymmetrie
Symbiotische Sterne
Symmetrie
Symmetriebrechung
Symmetriegruppe
Synchrotron
Synchrotronstrahlung
Synchrozyklotron
T
Tachyon
Tagbogen
Tardyon
Teilchen
Teilchenbeschleuniger
Tensorboson
Tensoren
Tetraden
Tetraquark
TeVeS
Thermodynamik
thermonukleare Fusion
Tiefenfeldbeobachtung
Tierkreis
TNO
Topologie
topologische Defekte
Torsionstensor
Trägheit
transient
Transit
Triple-Alpha-Prozess
T Tauri Stern
Tunneleffekt
U
ULIRG
ULX
Unifikation
Unitarität
Universum
Unruh-Effekt
Urknall
V
Vakuum
Vakuumstern
Vektorboson
Velapulsar
Veränderliche
Vereinheitlichung
Viele-Welten- Theorie
VLA
VLBI
VLT
VLTI
Voids
VSOP
W
Walker-Penrose- Theorem
Weakonen
Weinberg-Winkel
Weiße Löcher
Weißer Zwerg
Wellenfunktion
Weylsches Postulat
Weyl-Tensor
Wheeler-DeWitt- Gleichung
Wiensche Strahlungsformel
Wilson-Loop
WIMP
Wolf-Rayet-Stern
w-Parameter
Wurmlöcher
X
X-Bosonen
X-Kraft
X-ray burster
Y
Y-Bosonen
Yerkes- Leuchtkraftklassen
YSO
Yukawa-Potential
Z
ZAMO
Zeit
Zeitdilatation
Zodiakallicht
Zustandsgleichung
Zustandsgröße
Zwerge
Zwergplanet
Zwillingsparadoxon
Zyklisches Universum
Zyklotron