start


Start
Web-Artikel
Lexikon
Vorträge
Ausbildung
Essays
Rhetorik
Links
Autor
Kontakt

Lexikon - D 1 Lexikon - D 3

Astro-Lexikon D 2


pdf DD
pdf A-ZA-Z

differenzielle Rotation

Rotation ist eine wichtige Eigenschaft von Himmelskörpern. Spiralgalaxien rotieren, Sterne rotieren, Planeten rotieren um ihr Zentralgestirn, so auch die Erde um die Sonne, sogar Schwarze Löcher rotieren (Kerr-Lösung).

Drehimpuls in der klassischen Mechanik

Physikalisch ausgedrückt hat ein Körper, der rotiert, Drehimpuls. Allgemein berechnet man den Drehimpuls J in der klassischen Mechanik (unquantisiert, unrelativistisch) mittels des Vektorprodukts aus dem radialen Abstand r des Teilchens zum Drehzentrum mit dem Impuls des rotierenden Teilchens p: J = r × p = r × mv. Im letzten Schritt wurde ausgenutzt, dass der Impuls eines Teilchens das Produkt aus Masse m und Geschwindigkeit v ist.

Rotationsformen

Vergleicht man nun das Rotationsverhalten von Probeteilchen um ein Drehzentrum, so lässt sich unterschiedliches Rotationsverhalten charakterisieren (siehe Abbildung). Zu Beginn, also vor der Rotation, mögen Testteilchen auf einer Linie liegen. Dann setzen zwei unterschiedliche Rotationstypen ein (links gegenüber rechts unten).

Starre vs. differenzielle Rotation

Eine differenzielle Rotation ist zu unterscheiden von der starren Rotation. Bei der starren Rotation rotieren Punkte (Testteilchen in der Abb.) mit verschiedenem Abstand zum Drehzentrum mit gleicher Winkelgeschwindigkeit, also auf einer immer gleich bleibenden Verbindungslinie (mathematisch: die radiale Ableitung der Winkelgeschwindigkeit ist konstant). Das ist in der Abbildung links unten dargestellt. Die Winkelgeschwindigkeit entspricht übrigens dem Quotienten aus Umlaufgeschwindigkeit und Radius der Bahn. Winkel- und Umlaufgeschwindigkeit sind nicht dasselbe!
Bei der differenziellen Rotation rotieren Punkte verschiedenen Abstands mit unterschiedlicher Winkelgeschwindigkeit (die radiale Ableitung der Winkelgeschwindigkeit ist abhängig vom Abstand, Radius). Das ist in der Abbildung rechts unten zu sehen. Verständlich wird der Unterschied im Rotationsverhalten anhand von Beispielen: Eine starre Rotation erfüllen alle starren Festkörper (daher der Name), weil sie nicht deformierbar sind, z.B. ein Karussell. Eine differenzielle Rotation ist in einer Kepler-Scheibe, also beispielsweise bei den Planeten im Sonnensystem gegeben. Die Winkelgeschwindigkeit von Merkur ist höher, als die der Erde.

Bezug zu Akkretion und MHD

Differenzielle Rotation ist eine wesentliche Voraussetzung, damit die magnetische Rotationsinstabilität (MRI) funktioniert. Die MRI ist ein wichtiger Mechanismus, der in der Magnetohydrodynamik von Akkretionsflüssen auftritt.

Distanzmodul

Definition des Distanzmoduls

Eine wichtige Relation in der Astronomie, die die Entfernung eines leuchtenden Objekts, beispielsweise eines Sterns, in Bezug setzt zu dessen Helligkeit (dort finden sich weitere Details zum Entfernungsmodul).
Bei ermittelter Distanz r aus Entfernungsbestimmungsmethoden, folgt die absolute Helligkeit M daher direkt aus bekannter (weil beobachteter) scheinbarer Helligkeit m.

wichtige Anwendung: Entfernungsbestimmung

Oder umgekehrt, wie es bei Cepheiden, RR Lyrae Sternen, Supernovae Typ Ia oder anderen Standardkerzen gemacht wird: aus beobachteter, scheinbarer Helligkeit m und aus theoretischen Sternmodellen fixierten absoluten Helligkeiten M folgt die Entfernung! Diese letzte Anwendung ist besonders wichtig in der Vermessung des Universums, der Kosmometrie. Die Kenntnis der Entfernung kosmischer Quellen ist für die Astronomen von großem Wert, weil andere physikalische Größen häufig von der Entfernung abhängen.

Beispiel: Sonne

Wer einmal mit der Gleichung 'spielen' mag, sei dazu eingeladen, die scheinbare visuelle Helligkeit der Sonne, mV = -26.7mag, und ihre absolute visuelle Helligkeit, MV = 4.87mag, einzusetzen, um den Abstand der Sonne zur Erde zu berechnen. Und siehe da: das Ergebnis sind gerade etwa 150 Millionen Kilometer oder eine Astronomische Einheit.

Kosmologie

Bei sehr großen Entfernungen muss das oben formulierte Distanzmodul mit den Methoden der relativistischen Kosmologie verallgemeinert werden. Zusätzlich gehen dann in die Formel die kosmologischen Parameter ein, die das jeweilige Friedmann-Weltmodell festlegen. Ein gut geeigneter Entfernungsbegriff ist dann die so genannte Leuchtkraftdistanz.

Dodekaeder-Universum

12 Pentagone konstituieren einen Dodekaeder Ein relativ neues, aber hypothetisches kosmologisches Modell für ein geschlossenes Universum, das von Luminet et al. 2003 in der Zeitschrift Nature vorgestellt wurde (astro-ph/0310253). Es handelt sich um ein alternatives Modell zur konventionellen Kosmologie (flacher Euklidischer Kosmos), das allerdings mit Beobachtungsdaten des Mikrowellensatelliten WMAP verträglich ist.

Eigenschaften des 'Fußball-Universums'

Das Dodekaeder-Universum ist nicht flach, sondern besizt eine positive Krümmung (k = +1). Der totale Dichteparameter ist deshalb ebenfalls knapp oberhalb von 1, weicht mit einem angenommenen Wert von 1.013 im Dodekaeder-Raum jedoch nur wenig vom flachen Universum ab. Bisher können die Beobachtungen der Hintergrundstrahlung dieses Szenario nicht ausschließen.
Das Dodekaeder-Universum besteht aus 120 Pentagon-Dodekaedern, die eine Hypersphäre bilden. Die Hypersphäre ist die 3D-Oberfläche einer 4D-Kugel. Das Pentagon-Dodekaeder ist ein dreidimensionales, fußballähnliches Gebilde, das sich aus 12 Pentagonen (Fünfecken) zusammensetzt, wie die Abbildung rechts illustriert. Einen Zwölfflächner bezeichnet man generell als Dodekaeder. Das Ganze hat einen historischen Bezug, denn das Dodekaeder gehört zu den fünf Platonischen Körpern, konvexen, geometrischen Körpern, die sich aus regelmäßigen Polygonen (Vielecken) konstituieren.
Die Ausbreitung von Dichtewellen im Dodekaeder-Universum ist bisher mit den Messdaten aus der Hintergrundstrahlung verträglich. Die charakteristische Struktur von Obertönen in der Strahlungsverteilung der Drei-Kelvin-Strahlung kann deshalb durch ein offenes oder geschlossenes Euklidisches Universum (Krümmung null) oder ein geschlossenes Dodekaeder-Universum (positive Krümmung) erklärt werden.

Fußball oder Horn?

Eine noch neuere Alternative eines Universums mit negativer Krümmung (hyperbolisches Universum) ist das Horn-Universum (Aurich et al. 2004).

Aktuelle Entwicklungen

Luminets Forschergruppe hat mittlerweile darüber berichtet, welche Verteilungen auf den Polarisationskarten der Hintergrundstrahlung zu erwarten sind, wenn das Universum eine nicht-triviale Topologie hat (astro-ph/0601433). Bislang sind das nur Hypothesen, die auf theoretischer Basis stehen, aber noch nicht beobachtet wurden. Die Kosmologen hoffen, dass der neue Satellit PLANCK, der 2008 starten soll und die Hintergrundstrahlung in noch größerem Detail vermessen wird, baldige Klärung darüber bringen wird, in welchem Universum wir denn nun tatsächlich leben.
Eine detaillierte Beschreibung zu den topologischen Aspekten des Universums befindet sich unter dem Eintrag Topologie.

Doppler-Effekt

Der Doppler-Effekt gehört zu den wichtigsten Phänomenen in der Physik. Es handelt sich um einen Effekt, der mathematisch beschreibt, wie sich die Wellenlänge eine Welle verändert, wenn sich der Wellenerreger oder der Wellenempfänger bewegen. Vertraut ist uns dieser Effekt im Alltag, wenn sich die Tonhöhe einer relativ zu uns bewegten Schallquelle verändert, z.B. das Martinshorn eines Rettungswagens oder das Motorengeräusch in der Formel-1. Der Doppler-Effekt tritt allerdings nicht nur bei akustischen Wellen auf, sondern vor allem auch bei elektromagnetischen Wellen - das macht ihn bedeutsam für die Astronomie.

Namenspate

Der Doppler-Effekt wurde nach dem österreichischen Physiker und Mathematiker Christian Johann Doppler (1803 - 1853) benannt. Er veröffentlichte 1842 bei der Böhmischen Gesellschaft der Wissenschaften in Prag das Papier Über das farbige Licht der Doppelsterne und einiger Gestirne des Himmels. Darin modellierte Doppler das Licht fälschlicherweise als longitudinale Welle - bereits 1821 hatte A.J. Fresnel (1788 - 1827) behauptet, dass Licht eine transversale Welle sei. Wie wir heute wissen, hatte Fresnel Recht, doch die wesentliche Aussage von Dopplers Arbeit bleibt bestehen. Doppler machte darüber hinaus den bemerkenswerten und weitsichtigen Kommentar, dass Astronomen den von ihm entdeckten Effekt benutzen werden, um die Bewegung und Entfernung der Sterne zu messen - er sollte Recht behalten.

akustischer Doppler-Effekt

Schallwellen breiten sich in einem Medium, z.B. Luft oder Wasser, mit der Schallgeschwindigkeit aus. Die empfangene Frequenz erhöht sich bzw. die empfangene Wellenlänge verkürzt sich, wenn sich die Schallquelle auf den Empfänger zu bewegt. Die sich ausbreitende Welle wird anschaulich gewissermaßen gestaucht. Entfernt sich die Schallquelle, passiert das genaue Gegenteil, denn die empfangene Frequenz wird niedriger bzw. die empfangene Wellenlänge wird erhöht. Dann wird die sich fortpflanzende Welle anschaulich gesprochen gedehnt.

Doppler-Blauverschiebung und Doppler-Rotverschiebung einer Lichtwelle

Doppler-Effekt bei Licht

Bei dem Doppler-Effekt von elektromagnetischer Strahlung verhält es sich ein bisschen anders: Licht benötigt kein Medium um sich auszubreiten und kann sich sogar im Vakuum fortpflanzen. Aus diesem Grund empfangen Astronomen überhaupt elektromagnetische Signale kosmischer Quellen. Albert Einstein hat bei der Begründung seiner Spezielle Relativitätstheorie 1905 gefordert, dass Licht sich immer gleich schnell ausbreitet - unabhängig von dem Bewegungszustand der Lichtquelle! Diese experimentell verifizierte Forderung heißt Postulat von der Konstanz der Vakuumlichtgeschwindigkeit c. Es hat gravierende Konsequenzen für unser Verständnis von Raum und Zeit. Offensichtlich ist der Doppler-Effekt von Licht völlig anders, als derjenige akustischer Wellen, deren Fortpflanzungsgeschwindigkeit ja variieren kann.
Phänomenologisch bleibt das oben Gesagte erhalten: Die empfangene Lichtfrequenz νobs erhöht sich bzw. die empfangene Wellenlänge verkürzt sich, wenn sich die Lichtquelle mit der Relativgeschwindigkeit v auf den Beobachter zu bewegt. Weil dies einer Veränderung der Lichtfarbe mit der emittierten Frequenz νem zum Blauen hin entspricht, nennen Physiker diesen Effekt Blauverschiebung.
Entfernt sich die Lichtquelle, wird die empfangene Strahlungsfrequenz kleiner bzw. die empfangene Lichtwellenlänge wird größer. Die Physiker sprechen dann von einer Rotverschiebung, genauer einer Doppler-Rotverschiebung. Quantitativ berechnet man das mit den Gleichungen für den speziell relativistischen Doppler-Effekt:

Blau- und Rotverschiebung durch den speziell relativistischen Doppler-Effekt

Der Doppler-Faktor

Dopplerfaktor für Blau- und Rotverschiebung Physiker schreiben diese Gleichungen gerne noch kompakter und benutzen dazu den Lorentz-Faktor γ ist und die in der Relativitätstheorie übliche auf die Vakuumlichtgeschwindigkeit normierte Geschwindigkeit β = v/c. Umschreiben und zusammenfassen der beiden Gleichungen oben führt zur Gleichung links. Hierin ist D der Doppler-Faktor. Das Pluszeichen gilt für eine Doppler-Rotverschiebung und das Minuszeichen für eine Doppler-Blauverschiebung.
Der Doppler-Faktor kann in der Allgemeinen Relativitätstheorie (ART) verallgemeinert werden und heißt dann oft nicht mehr D, sondern g-Faktor g, Rotverschiebungsfaktor oder relativistisch verallgemeinerter Doppler-Faktor (siehe auch A. Müller: The Onset of General Relativity: gravitationally redshifted emission lines, Astron. Nachr. 327, 1024, 2006; ePrint: astro-ph/0610791).
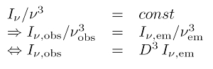
Intensität über Frequenz hoch drei ist invariant Der Doppler-Faktor bzw. g-Faktor ist von grundlegender Bedeutung in der Strahlungsphysik, weil er einerseits das Maß dafür ist, wie die Strahlungsenergie vom Ruhesystem ins Beobachtersystem verschoben wird und weil er andererseits in hoher Potenz den Strahlungsfluss, also die gemessene Intensität der Doppler-verschobenen Strahlung, beeinflusst. Generell ist das Verhältnis aus spektraler Strahlungsintensität Iν und dritter Potenz der Frequenz ν - beide betrachtet im gleichen Bezugssystem - eine Invariante. Daraus folgt die sehr nützliche Gleichung rechts, um vom Ruhesystem auf das Beobachtersystem zu transformieren.

Vorsicht: drei Arten der Rotverschiebung!

Die Rotverschiebung involviert eine Reihe von Missverständnissen. Die oben erläuterte Doppler-Rotverschiebung darf auf gar keinen Fall mit der kosmologischen Rotverschiebung verwechselt werden! Hintergrund ist, dass die Rotverschiebung als Verschiebung im Spektrum ganz unterschiedliche physikalische Ursachen haben kann. Bei der Doppler-Rotverschiebung ist die Ursache eine Bewegung, genauer gesagt eine Relativbewegung, die zu einer Entfernung zwischen Emitter und Beobachter führt. Es gibt aber noch zwei weitere Formen der Rotverschiebung, die nur mit Einsteins ART zu verstehen sind. Da ist zunächst die kosmologische Rotverschiebung. Sie beruht darauf, dass sich eine Raumzeit ausdehnt. Genau das geschieht mit unserem Universum: der ganze Raum (präzise: die Raumzeit) expandiert, so dass auch die darin enthaltenen Lichtwellen auseinander gezogen werden. Das geschieht beispielsweise mit der kosmischen Hintergrundstrahlung seitdem sie sich in der Rekombinationsepoche (vor gut 13 Mrd. Jahren) ausbreitet. Entsprechend entfernen sich auch die Galaxien voneinander, weil sich das Universum immer mehr vergrößert - das geschieht sogar beschleunigt, weil die Dunkle Energie den Kosmos auseinander treibt.
Es wäre nun völlig falsch die kosmologischen Rotverschiebungen zu benutzen, um kosmische Fluchtgeschwindigkeiten von weit entfernten Galaxien auszurechnen. Dass das keinen Sinn macht, erkennt man schnell daran, dass für weit entfernte Systeme diese Fluchtgeschwindigkeit die nach Einstein nicht überschreitbare Vakuumlichtgeschwindigkeit übersteigt. Solche Rechnungen machen keinen Sinn, zumal ein Geschwindigkeitsbegriff für ein sich ausdehnendes Raumzeitgitter von zweifelhaftem Wert wäre.
Die letzte Form der Rotverschiebung ist die Gravitationsrotverschiebung. Sie ist auch nur mit Einsteins ART zu verstehen. Licht verliert nämlich Energie, wenn es in einem Gravitationsfeld ausbreitet. In der Sprache Einsteins ist Schwerkraft eine gekrümmte Raumzeit und Licht folgt hier ausgezeichneten Bahnen, den so genannten Nullgeodäten. Anschaulich argumentiert kämpfen die Lichtwellen wie eine startende Rakete mit der Gravitation und verlieren Energie. Während einer Rakete der Treibstoff ausgeht, bedeutet Energieverlust für Photonen eine Verschiebung zum Roten hin. In diesem Fall spricht der Physiker von einer Gravitationsrotverschiebung, weil die Ursache der Rotverschiebung die Gravitation ist. Extrem wird dieser Effekt bei einem Schwarzes Loch: am Ereignishorizont haben die Lichtwellen all ihre Energie und Intensität an die Gravitation verloren. Das verleiht dem Loch die charakteristische Schwärze.
Im Allgemeinen ist eine beobachtete Rotverschiebung die Summe aus diesen drei Rotverschiebungen, also Doppler-Rotverschiebung, Gravitationsrotverschiebung und kosmologische Rotverschiebung. Das erschwert natürlich die Arbeit des Astronomen, und er benötigt weitere Informationen über den Emitter, um die Gewichtung der Rotverschiebungen herauszufinden.

Beispiele aus der Astronomie

  • Mit der Doppler-Whobbling-Methode bestimmen Planetenjäger die Relativgeschwindigkeiten von Sternen entlang der Sichtlinie (so genannte Radialgeschwindigkeit) und können aus dem Hin- und Herpendeln eines Sterns indirekt auf einen extrasolaren Planeten schließen - ohne ihn direkt zu beobachten! Über die Kepler-Gesetze gelingt sogar eine Massenbestimmung des Planeten (bei bekannten Sternparametern).
  • Die Geschwindigkeiten eines Sternenwinds bestimmen die Astronomen bequem mit der Doppler-Blauverschiebung.
  • Die Wellenlängen der Spektrallinien verschiedener Elemente und Moleküle kennen die Astronomen aus Untersuchungen im Labor. Sie kennen also die Wellenlängen der Übergänge im Ruhesystem. Beobachten sie nun die gleiche spektrale Signatur bei einer kosmischen Quelle, so folgen bei Kenntnis der zugrunde liegenden Physik, die Eigenschaften des Emitters, z.B. sein Bewegungszustand, das Temperaturmilieu (Doppler-Verbreiterung) oder - bei hohen Entfernung - die kosmologische Rotverschiebung. Bei relativistisch verbreiterten Eisenlinien, die in der Nähe Schwarzer Löcher ausgesandt werden, können alle drei Rotverschiebungen relevant sein.
  • Das historische Paradebeispiel ist die Entdeckungsgeschichte der Quasare: Das Spektrum dieser Form leuchtkräftiger Aktiver Galaktischer Kerne wurde erst verstanden, als der Astronom Maarten Schmidt die Emissionslinien als hohe kosmologische Rotverschiebungen (nicht Doppler-Rotverschiebung!) deutete. Das entlarvte die Quasare als extrem weit entfernte, extragalaktische Objekte des jungen Universums.
  • Die Jets von kompakten Objekten bewegen sich in der Regel mit relativistischen Geschwindigkeiten. Die Strahlung der Jets wird somit vom speziell relativistischen Doppler-Effekt beeinflusst. Ein extremes Beispiel sind die Jets der Blazare, die auf den Beobachter zeigen und stark blauverschoben sind.

Faustformel für blauverschobene, relativistische Jets

Doppler-Faktor für Blauverschiebung bei Jets Für das letztgenannte Beispiel benutzen Astronomen eine knappe Schreibweise, in die der Jet unter beliebigen Winkeln orientiert sein kann. Der relativistische Jet möge mit einem Neigungswinkel i (Inklination) auf den Beobachter zeigen. Dieser Winkel sei so definiert, dass i=0° bedeute, dass der Jetstrahl genau auf den Beobachter zeige und i=90°, dass der Jetstrahl senkrecht zur Sichtrichtung sei (keine Geschwindigkeitskomponente in Richtung Beobachter). Der Doppler-Faktor D für Blauverschiebung der Jetemission berechnet sich dann gemäß der Gleichung rechts. Anschaulich projiziert der Kosinus den Jetgeschwindigkeitsvektor auf die Blickrichtung.

longitudinaler und transversaler Doppler-Effekt

Anhand der letzten Gleichung ist ein interessantes Phänomen zu zeigen: Selbst wenn der Jet nicht auf den Beobachter zeigt (i=90°) gibt es einen Doppler-Effekt! Denn der erste Term in der Klammer ('1') bleibt bestehen. Es bleibt eine Abhängigkeit vom Lorentz-Faktor, der wiederum eine Funktion des Geschwindigkeitsfelds des Jets ist. Die Bewegungen im Jet tragen immer noch zu einem Doppler-Effekt bei, obwohl relativ zum Beobachter gar keine Relativgeschwindigkeit vorliegt! Dieser resultierende Doppler-Effekt für diesen Spezialfall heißt transversaler, speziell relativistischer Doppler-Effekt, weil der Doppler-Effekt hier senkrecht (d.h. transversal) zur Blickrichtung auftritt. Dieser Beitrag wird nur bei relativistischen Geschwindigkeiten bedeutsam - bei kleinen Geschwindigkeiten gegenüber der Vakuumlichtgeschwindigkeit wird γ ~ 1 und somit D ~ 1 und schließlich νobs ~ νem. Dieser Ausdruck kann für die ART verallgemeinert werden. Dann skaliert der Doppler-Faktor mit der Lapse-Funktion.
Demgegenüber wird der Doppler-Effekt mit Geschwindigkeitskomponente des Emitters in Blickrichtung longitudinaler Doppler-Effekt genannt.

Literaturquelle

  • Website: MacTutor History of Mathematics archive, University of St. Andrews, Scotland; darin die Biographie von C.J. Doppler
Drei-Kelvin-Strahlung

Eine alternative Bezeichnung für die kosmische Hintergrundstrahlung. 1965 stellten A.A. Penzias und R.W. Wilson fest, das aus dem Weltraum eine gleichmäßig in alle Raumrichtungen verteilte (isotrope) elektromagnetische Strahlung im Bereich der Mikrowellen zu detektieren ist.

Viele Wellenlängen, aber eine Temperatur

Diese Strahlungsverteilung entspricht einer exakten Planck-Kurve. Damit kann sie einem Schwarzen Strahler (Wärmestrahler) mit einer bestimmten Temperatur zugeordnet werden: Sie beträgt 2.7 Kelvin, also fast drei Kelvin, was den Namen 3K-Strahlung rechtfertigt. Die Messung wurde so interpretiert, dass sie nicht irdischen, sondern kosmischen Ursprungs sei.

Relikt des heißen Urknalls

1929 gelang den amerikanischen Astronomen Vesto Melvin Slipher und Edwin Powell Hubble die Messung der Fluchtbewegung einiger Galaxien. Dieser so genannte Hubble-Effekt untermauert daher die These eines expandierenden Universums. Diese Beobachtung an Galaxien und die isotrope Drei-Kelvin-Strahlung sind die beiden gewichtigsten Argumente für den heißen Urknall (siehe dort für sämtliche Belege des Urknalls). Gemäß dieser Interpretation wurde die Drei-Kelvin-Strahlung vom expandierenden Feuerball emittiert, dem jungen, heißen Universum, als die Strahlung von der Materie entkoppelte. Dies geschah bei einer kosmologischen Rotverschiebung von z ~ 1100 und wird Rekombinationsära in der Kosmologie genannt. Mit der weiteren Expansion des Universums kühlte der Feuerball aus und erreichte schließlich die im lokalen Universum (z = 0) beobachtbare Temperatur von knapp drei Kelvin. Die sich ausdehnende Raumzeit kühlte die anfangs heiße Urstrahlung auf fast den absoluten Nullpunkt ab.

Klarer Fall von Gammel-Licht

Eine kosmologische Rotverschiebung von etwa 1100 entspricht einer Epoche von etwa 400000 Jahren nach den Urknall. Damit ist die die kosmische Hintergrundstrahlung das älteste Signal, das Menschen jemals aufgezeichnet haben!

Substruktur in der 3K-Strahlung

Mittlerweile wurden die Beobachtungsmethoden verfeinert: die kosmische Mikrowellen-Hintergrundstrahlung (engl. cosmic microwave background radiation, CMBR) wurde mit Ballonen (BOOMERANG, MAXIMA) und Satelliten (COBE, WMAP, ab 2008: PLANCK) beobachtet. Dabei stellte sich heraus, dass die Verteilung geringfügige Anisotropien auf der Skala von einigen Mikrokelvin (10-6 Kelvin) aufweist. Diese wurden so interpretiert, das der Hintergrundstrahlung bereits erste Informationen von jungen Galaxien aufgeprägt wurden. Sie machen sich als Temperaturfluktuation in der Verteilung der Hintergrundstrahlung am Himmel bemerkbar. Weitere Einzelheiten werden im Eintrag Hintergrundstrahlung vorgestellt.

pdf DD
pdf A-ZA-Z

nach oben

Lexikon - D 1 Lexikon - D 3


Start - Web-Artikel - Lexikon - Vorträge - Ausbildung - Essays - Rhetorik - Links - Autor - Kontakt
Andreas Müller © Andreas Müller, August 2007

Index

A
Abbremsparameter
ADAF
ADD-Szenario
ADM-Formalismus
AdS/CFT-Korrespondenz
AGB-Stern
Äquivalenzprinzip
Akkretion
Aktiver Galaktischer Kern
Alfvén-Geschwindigkeit
Alfvén-Zahl
Allgemeine Relativitätstheorie
Alpha-Zerfall
AMR
anthropisches Prinzip
Antigravitation
Antimaterie
Apastron
Apertursynthese
Aphel
Apogäum
Astronomie
Astronomische Einheit
asymptotisch flach
Auflösungsvermögen
Axion
AXP
B
Balbus-Hawley- Instabilität
Bardeen-Beobachter
Baryogenese
Baryonen
baryonische Materie
Bekenstein-Hawking- Entropie
Beobachter
Beta-Zerfall
Bezugssystem
Bianchi-Identitäten
Big Bang
Big Bounce
Big Crunch
Big Rip
Big Whimper
Birkhoff-Theorem
Blandford-Payne- Szenario
Blandford-Znajek- Mechanismus
Blauverschiebung
Blazar
BL Lac Objekt
Bogenminute
Bogensekunde
Bosonen
Bosonenstern
Boyer-Lindquist- Koordinaten
Bran
Brans-Dicke- Theorie
Brauner Zwerg
Brill-Wellen
Bulk
C
Carter-Konstante
Casimir-Effekt
Cauchy-Fläche
Cepheiden
Cerenkov-Strahlung
Chandrasekhar-Grenze
Chaplygin-Gas
Chiralität
Christoffel-Symbol
CMB
CNO-Zyklus
Comptonisierung
Cosmon
C-Prozess
D
Deep Fields
Derricks Theorem
de-Sitter- Kosmos
DGP-Szenario
Diffeomorphismus
differenzielle Rotation
Distanzmodul
Dodekaeder-Universum
Doppler-Effekt
Drei-Kelvin-Strahlung
Dunkle Energie
Dunkle Materie
E
Eddington-Finkelstein- Koordinaten
Eddington-Leuchtkraft
Effektivtemperatur
Eichtheorie
Einstein-Ring
Einstein-Rosen- Brücke
Einstein-Tensor
Eisenlinie
Eklipse
Ekliptik
Ekpyrotisches Modell
Elektromagnetismus
Elektronenvolt
elektroschwache Theorie
Elementarladung
Energie
Energiebedingungen
Energie-Impuls-Tensor
Entfernungsmodul
eos
eos-Parameter
Epizykel
Ereignishorizont
erg
Ergosphäre
eV
Extinktion
Extradimension
extragalaktisch
extrasolar
extraterrestrisch
Exzentrizität
F
Falschfarbenbild
Fanaroff-Riley- Klassifikation
Faraday-Rotation
Farbindex
Farbladung
Farbsupraleitung
Feldgleichungen
Fermi-Beschleunigung
Fermionen
Fermionenstern
Fernparallelismus
Feynman-Diagramm
FFO
FIDO
Flachheitsproblem
FLRW-Kosmologie
Fluchtgeschwindigkeit
Frame-Dragging
f(R)-Gravitation
Friedmann-Weltmodell
G
Galaktischer Schwarz-Loch-Kandidat
Galaxie
Gamma Ray Burst
Gamma-Zerfall
Geodäte
Geometrisierte Einheiten
Geometrodynamik
Gezeitenkräfte
Gezeitenradius
Gluonen
Grad
Granulation
Gravastern
Gravitation
Gravitationskollaps
Gravitationskühlung
Gravitationslinse
Gravitationsradius
Gravitations- rotverschiebung
Gravitationswellen
Gravitomagnetismus
Graviton
GRBR
Große Vereinheitlichte Theorien
Gruppe
GUT
GZK-cutoff
H
Hadronen
Hadronen-Ära
Hamilton-Jacobi- Formalismus
Harvard-Klassifikation
Hauptreihe
Hawking-Strahlung
Hawking-Temperatur
Helizität
Helligkeit
Herbig-Haro- Objekt
Hertzsprung-Russell- Diagramm
Hierarchieproblem
Higgs-Teilchen
Hilbert-Raum
Hintergrundmetrik
Hintergrundstrahlung
HLX
HMXB
Holostern
Homogenitätsproblem
Horizont
Horizontproblem
Horn-Universum
Hubble-Gesetz
Hubble-Klassifikation
Hubble-Konstante
Hydrodynamik
hydrostatisches Gleichgewicht
Hyperladung
Hypernova
Hyperonen
I
IC
Inertialsystem
Inflation
Inflaton
intergalaktisch
intermediate-mass black hole
interplanetar
interstellar
Isometrien
Isospin
Isotop
ITER
J
Jahreszeiten
Jansky
Jeans-Masse
Jet
K
Kaluza-Klein-Theorie
Kaup-Grenzmasse
Kaonen
Kataklysmische Veränderliche
Keine-Haare- Theorem
Kepler-Gesetze
Kerr-de-Sitter- Lösung
Kerr-Lösung
Kerr-Newman- de-Sitter- Lösung
Kerr-Newman- Lösung
Kerr-Schild- Koordinaten
Killing-Felder
Killing-Tensor
K-Korrektur
Koinzidenzproblem
Kollapsar
Kompaktes Objekt
Kompaktheit
Kompaktifizierung
Kompaneets-Gleichung
konforme Transformation
Kongruenz
Koordinatensingularität
Kopenhagener Deutung
Korona
Korrespondenzprinzip
Kosmische Strahlung
Kosmische Strings
Kosmographie
Kosmologie
Kosmologische Konstante
Kosmologisches Prinzip
kovariante Ableitung
Kovarianzprinzip
Kreisbeschleuniger
Kretschmann-Skalar
Krümmungstensor
Kruskal-Lösung
Kugelsternhaufen
L
Laborsystem
Ladung
Lagrange-Punkte
Lambda-Universum
Lapse-Funktion
Laserleitstern
Lense-Thirring- Effekt
Leptonen
Leptonen-Ära
Leptoquarks
Leuchtkraft
Leuchtkraftdistanz
Levi-Civita- Zusammenhang
Licht
Lichtjahr
Lichtkurve
Lie-Ableitung
Linearbeschleuniger
LINER
Linienelement
LIRG
LMXB
LNRF
Lokale Gruppe
Loop-Quantengravitation
Lorentz-Faktor
Lorentzgruppe
Lorentzinvarianz
Lorentz-Kontraktion
Lorentz-Transformation
Lundquist-Zahl
Luxon
M
Machscher Kegel
Machsches Prinzip
Machzahl
Magnetar
magnetische Rotationsinstabilität
Magnetohydrodynamik
Magnitude
marginal gebundene Bahn
marginal stabile Bahn
Markariangalaxie
Maxwell-Tensor
Membran-Paradigma
Mesonen
Metall
Metrik
Mikroblazar
Mikrolinse
Mikroquasar
Milchstraße
Minkowski-Metrik
Missing-Mass- Problem
mittelschwere Schwarze Löcher
MOND
Monopolproblem
Morphismus
M-Theorie
Myonen
N
Neutrino
Neutronenreaktionen
Neutronenstern
Newtonsche Gravitation
No-Hair-Theorem
Nova
Nukleon
Nukleosynthese
Nullgeodäte
O
Öffnung
Olbers-Paradoxon
O-Prozess
Oppenheimer-Volkoff- Grenze
optische Tiefe
Orthogonalität
P
Paradoxon
Paralleluniversum
Parsec
partielle Ableitung
Pauli-Prinzip
Penrose-Diagramm
Penrose-Prozess
Pentaquark
Periastron
Perigäum
Perihel
periodisch
persistent
Petrov-Klassifikation
PG1159-Sterne
Phantom-Energie
Photon
Photonenorbit
Photosphäre
Pion
Pioneer-Anomalie
Planck-Ära
Planckscher Strahler
Planck-Skala
Planet
Planetarische Nebel
Poincarégruppe
Poincaré- Transformation
Polytrop
Population
Post-Newtonsche Approximation
Poynting-Fluss
pp-Kette
p-Prozess
Prandtl-Zahl
primordiale Schwarze Löcher
Prinzip minimaler gravitativer Kopplung
Protostern
Pseudo-Newtonsche Gravitation
Pulsar
Pulsierendes Universum
Pyknonukleare Reaktionen
Q
QPO
Quant
Quantenchromodynamik
Quantenelektrodynamik
Quantenfeldtheorie
Quantengravitation
Quantenkosmologie
Quantenschaum
Quantensprung
Quantentheorie
Quantenvakuum
Quantenzahlen
Quark-Ära
Quark-Gluonen- Plasma
Quarks
Quarkstern
Quasar
quasi-periodisch
Quasi-periodische Oszillationen
Quelle
Quintessenz
R
Radioaktivität
Radiogalaxie
Radion
Randall-Sundrum- Modelle
Randverdunklung
Raumzeit
Rayleigh-Jeans- Strahlungsformel
Ray Tracing
Reichweite
Reionisation
Reissner-Nordstrøm- de-Sitter- Lösung
Reissner-Nordstrøm- Lösung
Rekombination
relativistisch
Relativitätsprinzip
Relativitätstheorie
Renormierung
Reverberation Mapping
Reynolds-Zahl
RGB-Bild
Ricci-Tensor
Riemann-Tensor
Ringsingularität
Robertson-Walker- Metrik
Robinson-Theorem
Roche-Volumen
Röntgendoppelstern
Roter Riese
Roter Zwerg
Rotverschiebung
Rotverschiebungsfaktor
r-Prozess
RRAT
RR Lyrae-Sterne
Ruhesystem
S
Schallgeschwindigkeit
scheinbare Größe
Schleifen- Quantengravitation
Schwache Wechselwirkung
Schwarzer Körper
Schwarzer Zwerg
Schwarzes Loch
Schwarzschild-de-Sitter- Lösung
Schwarzschild-Lösung
Schwarzschild-Radius
Schwerkraft
Seltsamer Stern
Seltsamkeit
Seyfert-Galaxie
Singularität
skalares Boson
SNR
Soft Gamma-Ray Repeater
Sonne
Spektraltyp
Spezialität
Spezielle Relativitätstheorie
Spin
Spin-Netzwerk
Spinschaum
Spin-Statistik-Theorem
Spintessenz
s-Prozess
Standardkerzen
Standardmodell
Standardscheibe
Starke Wechselwirkung
Statisches Universum
Staubtorus
Stefan-Boltzmann- Gesetz
stellare Schwarze Löcher
Stern
Sternentstehung
Strange Star
Stringtheorien
Subraum
Supergravitation
supermassereiche Schwarze Löcher
Supernova
Supernovaremnant
Superstringtheorie
Supersymmetrie
Symbiotische Sterne
Symmetrie
Symmetriebrechung
Symmetriegruppe
Synchrotron
Synchrotronstrahlung
Synchrozyklotron
T
Tachyon
Tagbogen
Tardyon
Teilchen
Teilchenbeschleuniger
Tensorboson
Tensoren
Tetraden
Tetraquark
TeVeS
Thermodynamik
thermonukleare Fusion
Tiefenfeldbeobachtung
Tierkreis
TNO
Topologie
topologische Defekte
Torsionstensor
Trägheit
transient
Transit
Triple-Alpha-Prozess
T Tauri Stern
Tunneleffekt
U
ULIRG
ULX
Unifikation
Unitarität
Universum
Unruh-Effekt
Urknall
V
Vakuum
Vakuumstern
Vektorboson
Velapulsar
Veränderliche
Vereinheitlichung
Viele-Welten- Theorie
VLA
VLBI
VLT
VLTI
Voids
VSOP
W
Walker-Penrose- Theorem
Weakonen
Weinberg-Winkel
Weiße Löcher
Weißer Zwerg
Wellenfunktion
Weylsches Postulat
Weyl-Tensor
Wheeler-DeWitt- Gleichung
Wiensche Strahlungsformel
Wilson-Loop
WIMP
Wolf-Rayet-Stern
w-Parameter
Wurmlöcher
X
X-Bosonen
X-Kraft
X-ray burster
Y
Y-Bosonen
Yerkes- Leuchtkraftklassen
YSO
Yukawa-Potential
Z
ZAMO
Zeit
Zeitdilatation
Zodiakallicht
Zustandsgleichung
Zustandsgröße
Zwerge
Zwergplanet
Zwillingsparadoxon
Zyklisches Universum
Zyklotron