start


Start
Web-Artikel
Lexikon
Vorträge
Ausbildung
Essays
Rhetorik
Links
Autor
Kontakt

Lexikon - E 2 Lexikon - E 4

Astro-Lexikon E 3


pdf EE
pdf A-ZA-Z

Ekpyrotisches Modell

Ein modernes, kosmologisches Modell, das den Urknall durch die Kollision zweier Universen erklärt! Diese mutige und spekulative Annahme geht auf Paul Steinhardt und Neil Turok (2001) zurück und kann tatsächlich mathematisch mit den Stringtheorien gefasst werden.

Etymologie von ekpyrosis

Die Namensgebung basiert auf der ekpyrosis, einem griechischen Wort für den Weltenbrand, wie ihn die Stoa (Schule der Stoiker um Zenon von Krition, 336 - 264 v. Chr.) verwendete. Gemäß stoischer Vorstellung, wird der Kosmos durch das Urfeuer in periodisch wiederkehrenden Zeiträumen verbrannt und entsteht in derselben Form neu (palingenesis: Wiedergeburt). Damit zeigt sich abermals, wie gut das Denken der Antike eine Renaissance im Denken der Neuzeit erlebt.

Ohne Bums, kein Dings

Im Ekpyrotischen Modell kollidiert unser Universum mit einem zweiten, uns nicht zugänglichen Universum, einem Paralleluniversum. Beide Universen beschreibt man im Rahmen der Stringtheorie als dreidimensionale 3-Branen, die eine fünfdimensionale Welt, den Bulk, beranden. Die Strahlung und Materie bleibt auf ihr Universum beschränkt, nur die Gravitation kann von einer Bran zur anderen vermitteln. Die Ursache für die Kollision ist die folgende: die beiden Branen driften durch die Vermittlung eines zeitlich variablen Skalarfeldes, dem Radion, aufeinander zu. Aus der inelastischen Kollision würde dann soviel Energie frei, dass sie den Urknall treiben könnte und daraus auch Materie und Strahlung entstehen könnten.

Problem: Feinabstimmung

Kritisch am Ekpyrosis-Modell ist die erforderliche Symmetrie der exakt parallel zueinander ausgerichteten, vierdimensionalen Vorläuferuniversen. Jede Asymmetrie wurde inflationär, d.h. exponentiell, verstärkt werden und damit die Kollision und das Ekpyrotisches Modell zunichte machen. Die Kosmologen erhoffen sich durch die direkte Messung von Gravitationswellen - wenn ihr Nachweis denn gelingen sollte - Aufschluss darüber, ob Inflation oder Ekpyrosis die richtige Beschreibung des Universums liefert. Hochfrequente Gravitationswellen als Reliktstrahlung der Ekpyrosis sollten nämlich intensiver sein. Auch könnten zukünftige Polarisationsmessungen der kosmischen Hintergrundstrahlung, die letztendlich auch eine Aufprägung durch Gravitationswellen erfahren haben, eines der Modelle begünstigen.

Auf Ekpyrosis folgt Ekpyrosis?

Die Erweiterung des Ekpyrotischen Modell, die noch mehr die Grenzen des Vorstellbaren strapaziert, ist das Zyklische Universum, wo die Kollisionen der Welten wiederholt, eben zyklisch, stattfinden. Dann hätten wir es mit einem pulsierenden Universum zu tun, das periodisch in der Abfolge von Big Bang, Expansion, Stopp, Kontraktion, Big Crunch, erneuter Big Bang entsteht und vergeht.

Elektromagnetismus

Eine der vier fundamentalen Wechselwirkungen der unbelebten Natur neben gravitativer, schwacher und starker Wechselwirkung.

Maxwells große Entdeckung

In der historischen Retrospektive wurden Elektrostatik und Magnetismus zunächst als separate Phänomene wahrgenommen, bis der englische Physiker James Clerk Maxwell (1831 - 1879) die klassische Elektrodynamik begründete. Seine Maxwellschen Gleichungen - je nach Formulierung vier Differential- oder vier Integralgleichungen - koppeln magnetische an elektrische Felder. Damit konnten elektrische Ströme, Magnetfelder von stromdurchflossenen Leitern, elektrische Felder von elektrischen Ladungen, aber auch elektromagnetische Wellen im Vakuum oder in Medien (Licht) erstmals rechnerisch behandelt werden und als elektromagnetische Effekte verstanden werden.

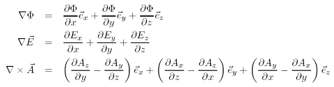
Vektoranalysis: div, grad, rot

Der mathematische Apparat der klassischen Elektrodynamik umfasst die Vektoranalysis, die Potentialtheorie und die Theorie Greenscher Funktionen. Der Nabla-Operator ist der zentrale Differentialoperator, der die Maxwell-Gleichungen kompakt mithilfe von Gradient (grad), Divergenz (div) und Rotation (rot) schreiben lässt. In der folgenden Abbildung sind von oben nach unten Gradient eines Skalarfeldes, Divergenz eines Dreiervektors, Rotation eines Dreiervektors in kartesischen Koordinaten dargestellt (für andere Koordinatensysteme wie Kugelkoordinaten nehmen die Gleichungen eine andere Form an).

Gradient, Divergenz, Rotation (kartesisch)

Gaußscher und Stokesscher Satz

Der Nabla-Operator ist nichts anderes als eine gewöhnliche räumliche Ableitung. Die äquivalenten Maxwell-Gleichungen in integraler Form erhält man durch Anwendung der bekannten Integralsätze nach Gauß und Stokes: Der Gaußsche Satz verwandelt ein Volumenintegral der Divergenz eines Vektorfeldes in einer Oberflächenintegral über das Vektorfeld. Der Stokessche Satz verwandelt das Oberflächenintegral über die Rotation eines Vektorfeldes in ein Kurvenintegral des Vektorfeldes entlang der Kurve, die die Oberfläche einschließt.

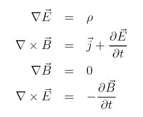
Maxwell-Gleichungen in differentieller Form

Maxwell-Gleichungen der klassischen Elektrodynamik in differentieller Form In der Abbildung links sind nun alle vier inhomogenen zeitabhängigen Maxwell-Gleichungen im Vakuum in differentieller Form notiert. Die erste und dritte Gleichung machen eine Aussage über die Quellen des elektrischen bzw. magnetischen Feldes. Die erste Gleichung besagt, dass die Quelle des elektrischen Feldes eine elektrische Ladungsdichte ist. Knapp gesagt: Elektrische Ladungen erzeugen ein elektrisches Feld im Raum.. Bei magnetischen Feldern gibt es keine zugehörigen 'magnetischen Ladungen'. In knapper Form heißt es: Es gibt keine magnetischen Monopole.. Die zweite Gleichung nennt man Ampèresches Gesetz. Physikalisch bedeutet es, dass ein stromdurchflossener Leiter mit elektrischer Stromdichte j ein Magnetfeld im Raum induziert. Gleiches passiert, wenn sich ein elektrisches Feld zeitlich ändert. Die letzte Gleichung heißt Faradaysches Induktionsgesetz. Dies wird so interpretiert, dass ein zeitlich variierendes Magnetfeld einen elektrischen Strom in Leitern induziert.
Bei ohmschen Leitern gilt insbesondere das Ohmsche Gesetz: die elektrische Stromdichte ist proportional zum elektrischen Feld, wobei die Proportionalitätskonstante elektrische Leitfähigkeit heißt. Diese Leitfähigkeit ist in ohmschen Leitern unabhängig vom angelegten elektrischen Feld. Vektoriell gesehen sind Stromdichte und elektrisches Feld dann kollinear: die Vektoren ('Pfeile') zeigen in dieselbe Richtung.

klassische Elektrodynamik und Spezielle Relativitätstheorie

Die Maxwell-Theorie ist bereits kovariant, d.h. forminvariant in der Speziellen Relativitätstheorie. Relativistisch betrachtet macht es keinen Sinn zwischen elektrischem und magnetischem Feld zu unterscheiden, weil beide Phänomene äquivalent sind und nur vom Bezugssystem oder Beobachter abhängen! Das lässt sich leicht an folgendem Beispiel nachvollziehen: Ein reines elektrisches Feld einer ruhenden Ladung wird durch Anwendung einer Lorentz-Transformation zu einem Magnetfeld einer bewegten Ladung. Dieser Sachverhalt rechtfertigt in tiefsinniger Weise die Wortsynthese zum Begriff Elektromagnetismus.

Maxwells Theorie häppchenweise

Mit dem Aufkommen der Quantentheorie Anfang des 20. Jahrhunderts wuchs das Bestreben die Maxwell-Theorie zu quantisieren. Im Wasserstoff-Problem tauchte bereits das Photon auf, das bei elektronischen Übergängen in der Atomschale emittiert oder absorbiert wird. Jede Atomschale ist gerade mit Elektronen bestimmter Energie besetzt. Bei einem Quantensprung eines Elektrons wird ein Photon charakteristischer Energie frei oder eingefangen. Die elektromagnetische Welle, die man in Form einer Wellengleichung aus den Maxwell-Gleichungen ableitet, ist jedoch noch unquantisiert. Der Quantisierungsapparat ermöglicht eine Umformulierung der klassischen Wellengleichung mithilfe von Feldoperatoren. Auf diese Weise erhält man die Klein-Gordon-Gleichung. Die daraus entstandene Quantenelektrodynamik (QED) war die erste erfolgreiche Quantenfeldtheorie überhaupt. Das Renormierungsverfahren wurde ebenfalls an der QED entwickelt. Der mathematische Apparat der Quantenfeldtheorie ist die Gruppentheorie. Eine U(1)-Theorie beschreibt hier die photonischen Wechselwirkungen. Da das Photon keine Ruhemasse aufweist, ist seine Reichweite unendlich. Die wesentlichen Wechselwirkungen in makroskopischen, kosmischen Dimensionen und insbesondere in der Astrophysik sind daher Elektromagnetismus und Gravitation. Die anderen Wechselwirkungen werden erst wichtig, wenn das Universum extrem klein ist und die Ausdehnung vergleichbar wird mit dem subatomaren Bereich. Dieser mikroskopische Bereich ist gerade in der Gegend der Planck-Skala. Ein mikroskopisch kleiner Zustand des Kosmos hat kurz nach dem Urknall vorgeherrscht und tangiert dann das Regime der Planck-Ära, der Großen Vereinheitlichten Theorien (GUT) bzw. Vereinheitlichten Theorie (UT).

Vereinheitlichung der Naturkräfte

Das Unifikationsbestreben fand im Elektromagnetismus jedoch erst seinen historischen Anfang (sieht man einmal von Sir Isaac Newton ab, dem die Vereinheitlichung von irdischen und kosmischen Kräften zugeschrieben wird). Mittlerweile ist es gelungen, die schwache und elektromagnetische Wechselwirkung in der elektroschwachen Theorie zu vereinigen. Hier wurde eine enge Verwandtschaft von Photon und Weakonen offen gelegt, die bei hohen Energien betrachteter Teilchenprozesse als eine elektroschwache Kraft behandelt werden können. Der nächste Schritt sind die Großen Vereinheitlichten Theorien, die die starke Kraft im Rahmen einer SU(5)-Theorie zur Elektroschwachen Kraft hinzunehmen. Ab 1016 GeV Energie fordern die Teilchenphysiker neue Eichbosonen: die X-Bosonen und Y-Bosonen (zusammengefasst als Leptoquarks). Der letzte Schritt ist der schwierigste und noch nicht vollzogen worden: die Gravitation kann noch nicht vollständig mit quantenfeldtheoretischen Konzepten beschrieben werden. Deshalb steht eine Vereinheitlichung aller vier Naturkräfte als Vereinheitlichte Theorie (engl. Unified Theory, UT) oder eine Theorie von Allem (engl. Theory Of Everything, TOE) noch aus. Ein diskutierter Kandidat in dieser Hinsicht sind die Stringtheorien.

Elektronenvolt

Eine Einheit für die Energie, die sehr gebräuchlich ist in der Hochenergie- und Teilchenphysik, Quantenphysik sowie Kernphysik. Es ist die typische Energieskala einzelner Teilchen und definiert als die Energie, die ein Elektron, das die negative Elementarladung von -1.602 × 10-19 C beim Durchgang durch ein elektrisches Feld der Potentialdifferenz 1 V (Volt) erhält.

Umrechnung in Joule:

1 eV = 1.602 × 10-19 C × 1 V = 1.602 × 10-19 J

Üblicherweise gibt man Teilchenmassen in Einheiten von Elektronenvolt (Abkürzung eV). Dabei entsprechen die Präfixe der bekannten Nomenklatur: 1 meV = 1/1000 eV, 1 keV = 1000 eV, 1 MeV = 1 000 000 eV, 1 GeV = 1 000 000 000 eV, 1 TeV = 1012 eV, 1 PeV = 1015 eV, 1 EeV = 1018 eV etc.

Beispiele:

  • Radioquant: etwa 1 meV
  • Röntgenphoton: um 1 keV
  • Gammaphoton: ab etwa 1 MeV
  • Elektronenmasse: 510.9989 keV
  • Protonenmasse: 938.2720 MeV (oft vereinfachend 1 GeV)
  • Omega-Hyperon: 1.67245 GeV
  • Heben eines Kilogramms vom Boden auf eine 1m hohe Platte: 6.12 × 1019 eV = 61.2 EeV = 9.81 J

Am letzten Beispiel sieht man das das Elektronenvolt eine Einheit der Mikrophysik ist und für unsere Makrowelt recht unhandlich ist.

elektroschwache Theorie

Die historisch erste gelungene vereinheitlichte Quantenfeldtheorie war die Verschmelzung von elektromagnetischer Wechselwirkung, also der Quantenelektrodynamik (QED), und der schwachen Wechselwirkung. Die elektroschwache Theorie geht auf die Physiker Sheldon Lee Glashow, Steven Weinberg und Abdus Salam zurück und wird auch Weinberg-Salam Modell genannt.

U(1) × SU(2) - wie bitte?

Vom Standpunkt der Gruppentheorie aus, bildet man das direkte Produkt der Symmetriegruppe U(1) der QED mit der Symmetriegruppe SU(2) der schwachen Theorie (zurückgehend auf Glashow, 1961). Dies generiert zunächst vier masselose Vektorbosonen (vektoriell heißt Spin 1), die man W+, W-, W0 und B0 nannte. Unter Hinzunahme eines skalaren (d.h. Spin 0), eichinvarianten Feldes, das man mit dem Higgs-Teilchen identifiziert, erhalten diese vier Vektorbosonen über den Higgs-Mechanismus, einer spontanen Symmetriebrechung, eine Masse! Auf diese Weise wurden die hohen Massen von den W- und dem Z-Teilchen (den Weakonen) erklärbar.

Glänzende Bestätigung einer Theorie!

Selbstverständlich war der Jubel über die experimentelle Verifikation dieser Theorie durch den Nachweis des Z-Teilchens 1973 am CERN (Donald Perkins) groß und wurde mit dem Nobelpreis für die Theoretiker (Weinberg, Salam und Glashow, 1979) belohnt. Die geladenen Ströme W- und W+ wurden erst zehn Jahre nach der Entdeckung des Z-Teilchens, 1983, verifiziert. Ebenfalls am CERN wurde in einem Synchrotron Protonen und Antiprotonen auf Kollisionskurs gebracht. Carlo Rubbia und Simon Van der Meer entdeckten daher die beiden weiteren Vektorbosonen.

Nachahmer

Die elektroschwache Theorie mit einer typischen Energieskala von 1 TeV (1000 GeV) war der erste Schritt im Bestreben die vier fundamentalen Naturkräfte zu vereinigen. Später folgten die Großen Vereinheitlichten Theorien (GUT), die die Quantenchromodynamik (QCD) zusammen mit der elektroschwachen Theorie vereinheitlichen will. Die hier typische Energieskala liegt bei 2 × 1016 GeV. Die letzte Vereinheitlichung aller vier Naturkräfte ist die Vereinheitlichte Theorie (UT).

früher, heißer Kosmos

In der Frühphase des Universums, nur Sekundenbruchteile nach dem Urknall, haben die richtigen Bedingungen geherrscht, dass alle vier Wechselwirkungen ununterscheidbar waren. Nach der UT suchte man allerdings bisher immer noch vergeblich, weil die Miteinbeziehung der Gravitation nicht trivial ist und nur über das Auffinden einer Quantengravitation zu funktionieren scheint. Die aktuellen Forschungen auf dem Gebiet der Stringtheorien und eine Verifikation (oder Falsifikation) der Extradimensionen sind die Wege, die beschritten werden, um einem Konzept der Quantengravitation oder gar einer Vereinheitlichten Theorie näher zu kommen.

Elementarladung

Die elektrische Ladung kann nicht beliebige Zahlenwerte annehmen, sondern sie tritt nur in Vielfachen einer sehr kleinen Mindestladung auf. Die kleine Zahl heißt Elementarladung, symbolisiert mit e und beträgt:

1 e = 1.60217733 × 10-19 C

Das C steht für die SI-Einheit Coulomb der elektrischen Ladung oder 'Elektrizitätsmenge' und wurde nach dem französischen Physiker Charles Augustin de Coulomb (1736 - 1806) benannt. Von der Dimension her entspricht die elektrische Ladung dem Produkt aus Stromstärke (SI-Einheit: Ampère) und Zeit (SI-Einheit: Sekunde).

Der Millikan-Versuch

Der Zahlenwert für die Elementarladung ist sehr klein. Woher kennt man diesen mikroskopischen Wert so genau? Im Jahr 1909 führte der US-amerikanische Physiker Robert Andrews Millikan (1868 - 1953) ein historisches, physikalisches Experiment durch, dessen Messprinzip einfach und genial ist: Er brachte elektrisch geladene Öltröpfchen im elektrischen Feld eines Plattenkondensators zum Schweben. Aus der Gleichgewichtsbedingung 'Schwerkraft (G = mg) wird kompensiert durch elektrische Feldkraft (F = QE)' und der Kenntnis der elektrischen Feldstärke E (die gleich der elektrischen Spannung durch den Plattenabstand der Kondensatoren ist), konnte Millikan auf die Ladung der Öltröpfchen Q schließen. Bei der Betrachtung vieler Öltröpfchen zeigt sich, dass deren Ladungen immer ein Vielfaches der Elementarladung e betragen. Millikan bekam für diese hervorragende Idee mit glänzendem Resultat den Nobelpreis für Physik 1923.

Beispiele

In der Physik ist es sehr bequem, die elektrische Ladung der Teilchen in Einheiten der Elementarladung e auszudrücken. Dabei sind sowohl positive, als auch negative Vielfache möglich. Elektrisch neutrale Teilchen haben das Nullfache der Elementarladung. So gelten u.a. folgende elektrische Ladungen:

  • Proton: 1 e
  • Elektron: -1 e
  • Positron: +1 e
  • Neutronen: 0

Ausnahmen bestätigen die Regel

Die Teilchenphysik kennt jedoch auch ein paar Exoten, die kein ganzzahliges Vielfaches von e sind. So haben Quarks (die Bausteine der Hadronen) und X-Bosonen sowie Y-Bosonen (hypothetische Teilchen der GUT-Ära) drittelzahlige Ladungen.

Auf theoretischem Fundament

Die elektrischen Ladungen dieser und anderer Teilchen sind im Standardmodell der Teilchenphysik auch theoretisch erklärt. Dabei gehen wesentliche Konzepte wie Eichtheorie, Symmetrie, Gruppe und Vereinheitlichung der vier Naturkräfte ein.

pdf EE
pdf A-ZA-Z

nach oben

Lexikon - E 2 Lexikon - E 4


Start - Web-Artikel - Lexikon - Vorträge - Ausbildung - Essays - Rhetorik - Links - Autor - Kontakt
Andreas Müller © Andreas Müller, August 2007

Index

A
Abbremsparameter
ADAF
ADD-Szenario
ADM-Formalismus
AdS/CFT-Korrespondenz
AGB-Stern
Äquivalenzprinzip
Akkretion
Aktiver Galaktischer Kern
Alfvén-Geschwindigkeit
Alfvén-Zahl
Allgemeine Relativitätstheorie
Alpha-Zerfall
AMR
anthropisches Prinzip
Antigravitation
Antimaterie
Apastron
Apertursynthese
Aphel
Apogäum
Astronomie
Astronomische Einheit
asymptotisch flach
Auflösungsvermögen
Axion
AXP
B
Balbus-Hawley- Instabilität
Bardeen-Beobachter
Baryogenese
Baryonen
baryonische Materie
Bekenstein-Hawking- Entropie
Beobachter
Beta-Zerfall
Bezugssystem
Bianchi-Identitäten
Big Bang
Big Bounce
Big Crunch
Big Rip
Big Whimper
Birkhoff-Theorem
Blandford-Payne- Szenario
Blandford-Znajek- Mechanismus
Blauverschiebung
Blazar
BL Lac Objekt
Bogenminute
Bogensekunde
Bosonen
Bosonenstern
Boyer-Lindquist- Koordinaten
Bran
Brans-Dicke- Theorie
Brauner Zwerg
Brill-Wellen
Bulk
C
Carter-Konstante
Casimir-Effekt
Cauchy-Fläche
Cepheiden
Cerenkov-Strahlung
Chandrasekhar-Grenze
Chaplygin-Gas
Chiralität
Christoffel-Symbol
CMB
CNO-Zyklus
Comptonisierung
Cosmon
C-Prozess
D
Deep Fields
Derricks Theorem
de-Sitter- Kosmos
DGP-Szenario
Diffeomorphismus
differenzielle Rotation
Distanzmodul
Dodekaeder-Universum
Doppler-Effekt
Drei-Kelvin-Strahlung
Dunkle Energie
Dunkle Materie
E
Eddington-Finkelstein- Koordinaten
Eddington-Leuchtkraft
Effektivtemperatur
Eichtheorie
Einstein-Ring
Einstein-Rosen- Brücke
Einstein-Tensor
Eisenlinie
Eklipse
Ekliptik
Ekpyrotisches Modell
Elektromagnetismus
Elektronenvolt
elektroschwache Theorie
Elementarladung
Energie
Energiebedingungen
Energie-Impuls-Tensor
Entfernungsmodul
eos
eos-Parameter
Epizykel
Ereignishorizont
erg
Ergosphäre
eV
Extinktion
Extradimension
extragalaktisch
extrasolar
extraterrestrisch
Exzentrizität
F
Falschfarbenbild
Fanaroff-Riley- Klassifikation
Faraday-Rotation
Farbindex
Farbladung
Farbsupraleitung
Feldgleichungen
Fermi-Beschleunigung
Fermionen
Fermionenstern
Fernparallelismus
Feynman-Diagramm
FFO
FIDO
Flachheitsproblem
FLRW-Kosmologie
Fluchtgeschwindigkeit
Frame-Dragging
f(R)-Gravitation
Friedmann-Weltmodell
G
Galaktischer Schwarz-Loch-Kandidat
Galaxie
Gamma Ray Burst
Gamma-Zerfall
Geodäte
Geometrisierte Einheiten
Geometrodynamik
Gezeitenkräfte
Gezeitenradius
Gluonen
Grad
Granulation
Gravastern
Gravitation
Gravitationskollaps
Gravitationskühlung
Gravitationslinse
Gravitationsradius
Gravitations- rotverschiebung
Gravitationswellen
Gravitomagnetismus
Graviton
GRBR
Große Vereinheitlichte Theorien
Gruppe
GUT
GZK-cutoff
H
Hadronen
Hadronen-Ära
Hamilton-Jacobi- Formalismus
Harvard-Klassifikation
Hauptreihe
Hawking-Strahlung
Hawking-Temperatur
Helizität
Helligkeit
Herbig-Haro- Objekt
Hertzsprung-Russell- Diagramm
Hierarchieproblem
Higgs-Teilchen
Hilbert-Raum
Hintergrundmetrik
Hintergrundstrahlung
HLX
HMXB
Holostern
Homogenitätsproblem
Horizont
Horizontproblem
Horn-Universum
Hubble-Gesetz
Hubble-Klassifikation
Hubble-Konstante
Hydrodynamik
hydrostatisches Gleichgewicht
Hyperladung
Hypernova
Hyperonen
I
IC
Inertialsystem
Inflation
Inflaton
intergalaktisch
intermediate-mass black hole
interplanetar
interstellar
Isometrien
Isospin
Isotop
ITER
J
Jahreszeiten
Jansky
Jeans-Masse
Jet
K
Kaluza-Klein-Theorie
Kaup-Grenzmasse
Kaonen
Kataklysmische Veränderliche
Keine-Haare- Theorem
Kepler-Gesetze
Kerr-de-Sitter- Lösung
Kerr-Lösung
Kerr-Newman- de-Sitter- Lösung
Kerr-Newman- Lösung
Kerr-Schild- Koordinaten
Killing-Felder
Killing-Tensor
K-Korrektur
Koinzidenzproblem
Kollapsar
Kompaktes Objekt
Kompaktheit
Kompaktifizierung
Kompaneets-Gleichung
konforme Transformation
Kongruenz
Koordinatensingularität
Kopenhagener Deutung
Korona
Korrespondenzprinzip
Kosmische Strahlung
Kosmische Strings
Kosmographie
Kosmologie
Kosmologische Konstante
Kosmologisches Prinzip
kovariante Ableitung
Kovarianzprinzip
Kreisbeschleuniger
Kretschmann-Skalar
Krümmungstensor
Kruskal-Lösung
Kugelsternhaufen
L
Laborsystem
Ladung
Lagrange-Punkte
Lambda-Universum
Lapse-Funktion
Laserleitstern
Lense-Thirring- Effekt
Leptonen
Leptonen-Ära
Leptoquarks
Leuchtkraft
Leuchtkraftdistanz
Levi-Civita- Zusammenhang
Licht
Lichtjahr
Lichtkurve
Lie-Ableitung
Linearbeschleuniger
LINER
Linienelement
LIRG
LMXB
LNRF
Lokale Gruppe
Loop-Quantengravitation
Lorentz-Faktor
Lorentzgruppe
Lorentzinvarianz
Lorentz-Kontraktion
Lorentz-Transformation
Lundquist-Zahl
Luxon
M
Machscher Kegel
Machsches Prinzip
Machzahl
Magnetar
magnetische Rotationsinstabilität
Magnetohydrodynamik
Magnitude
marginal gebundene Bahn
marginal stabile Bahn
Markariangalaxie
Maxwell-Tensor
Membran-Paradigma
Mesonen
Metall
Metrik
Mikroblazar
Mikrolinse
Mikroquasar
Milchstraße
Minkowski-Metrik
Missing-Mass- Problem
mittelschwere Schwarze Löcher
MOND
Monopolproblem
Morphismus
M-Theorie
Myonen
N
Neutrino
Neutronenreaktionen
Neutronenstern
Newtonsche Gravitation
No-Hair-Theorem
Nova
Nukleon
Nukleosynthese
Nullgeodäte
O
Öffnung
Olbers-Paradoxon
O-Prozess
Oppenheimer-Volkoff- Grenze
optische Tiefe
Orthogonalität
P
Paradoxon
Paralleluniversum
Parsec
partielle Ableitung
Pauli-Prinzip
Penrose-Diagramm
Penrose-Prozess
Pentaquark
Periastron
Perigäum
Perihel
periodisch
persistent
Petrov-Klassifikation
PG1159-Sterne
Phantom-Energie
Photon
Photonenorbit
Photosphäre
Pion
Pioneer-Anomalie
Planck-Ära
Planckscher Strahler
Planck-Skala
Planet
Planetarische Nebel
Poincarégruppe
Poincaré- Transformation
Polytrop
Population
Post-Newtonsche Approximation
Poynting-Fluss
pp-Kette
p-Prozess
Prandtl-Zahl
primordiale Schwarze Löcher
Prinzip minimaler gravitativer Kopplung
Protostern
Pseudo-Newtonsche Gravitation
Pulsar
Pulsierendes Universum
Pyknonukleare Reaktionen
Q
QPO
Quant
Quantenchromodynamik
Quantenelektrodynamik
Quantenfeldtheorie
Quantengravitation
Quantenkosmologie
Quantenschaum
Quantensprung
Quantentheorie
Quantenvakuum
Quantenzahlen
Quark-Ära
Quark-Gluonen- Plasma
Quarks
Quarkstern
Quasar
quasi-periodisch
Quasi-periodische Oszillationen
Quelle
Quintessenz
R
Radioaktivität
Radiogalaxie
Radion
Randall-Sundrum- Modelle
Randverdunklung
Raumzeit
Rayleigh-Jeans- Strahlungsformel
Ray Tracing
Reichweite
Reionisation
Reissner-Nordstrøm- de-Sitter- Lösung
Reissner-Nordstrøm- Lösung
Rekombination
relativistisch
Relativitätsprinzip
Relativitätstheorie
Renormierung
Reverberation Mapping
Reynolds-Zahl
RGB-Bild
Ricci-Tensor
Riemann-Tensor
Ringsingularität
Robertson-Walker- Metrik
Robinson-Theorem
Roche-Volumen
Röntgendoppelstern
Roter Riese
Roter Zwerg
Rotverschiebung
Rotverschiebungsfaktor
r-Prozess
RRAT
RR Lyrae-Sterne
Ruhesystem
S
Schallgeschwindigkeit
scheinbare Größe
Schleifen- Quantengravitation
Schwache Wechselwirkung
Schwarzer Körper
Schwarzer Zwerg
Schwarzes Loch
Schwarzschild-de-Sitter- Lösung
Schwarzschild-Lösung
Schwarzschild-Radius
Schwerkraft
Seltsamer Stern
Seltsamkeit
Seyfert-Galaxie
Singularität
skalares Boson
SNR
Soft Gamma-Ray Repeater
Sonne
Spektraltyp
Spezialität
Spezielle Relativitätstheorie
Spin
Spin-Netzwerk
Spinschaum
Spin-Statistik-Theorem
Spintessenz
s-Prozess
Standardkerzen
Standardmodell
Standardscheibe
Starke Wechselwirkung
Statisches Universum
Staubtorus
Stefan-Boltzmann- Gesetz
stellare Schwarze Löcher
Stern
Sternentstehung
Strange Star
Stringtheorien
Subraum
Supergravitation
supermassereiche Schwarze Löcher
Supernova
Supernovaremnant
Superstringtheorie
Supersymmetrie
Symbiotische Sterne
Symmetrie
Symmetriebrechung
Symmetriegruppe
Synchrotron
Synchrotronstrahlung
Synchrozyklotron
T
Tachyon
Tagbogen
Tardyon
Teilchen
Teilchenbeschleuniger
Tensorboson
Tensoren
Tetraden
Tetraquark
TeVeS
Thermodynamik
thermonukleare Fusion
Tiefenfeldbeobachtung
Tierkreis
TNO
Topologie
topologische Defekte
Torsionstensor
Trägheit
transient
Transit
Triple-Alpha-Prozess
T Tauri Stern
Tunneleffekt
U
ULIRG
ULX
Unifikation
Unitarität
Universum
Unruh-Effekt
Urknall
V
Vakuum
Vakuumstern
Vektorboson
Velapulsar
Veränderliche
Vereinheitlichung
Viele-Welten- Theorie
VLA
VLBI
VLT
VLTI
Voids
VSOP
W
Walker-Penrose- Theorem
Weakonen
Weinberg-Winkel
Weiße Löcher
Weißer Zwerg
Wellenfunktion
Weylsches Postulat
Weyl-Tensor
Wheeler-DeWitt- Gleichung
Wiensche Strahlungsformel
Wilson-Loop
WIMP
Wolf-Rayet-Stern
w-Parameter
Wurmlöcher
X
X-Bosonen
X-Kraft
X-ray burster
Y
Y-Bosonen
Yerkes- Leuchtkraftklassen
YSO
Yukawa-Potential
Z
ZAMO
Zeit
Zeitdilatation
Zodiakallicht
Zustandsgleichung
Zustandsgröße
Zwerge
Zwergplanet
Zwillingsparadoxon
Zyklisches Universum
Zyklotron