start


Start
Web-Artikel
Lexikon
Vorträge
Ausbildung
Essays
Rhetorik
Links
Autor
Kontakt

Lexikon - K 1 Lexikon - K 3

Astro-Lexikon K 2


pdf KK
pdf A-ZA-Z

Kepler-Gesetze

Die Kepler-Gesetze sind benannt nach dem deutschen Astronom Johannes Kepler (1571 - 1630), der die Planetendaten seines dänischen Kollegen und Zeitgenossen Tycho Brahe (1546 - 1601) auswertete. Damals wurde einfache optische Linsenteleskope zur astronomischen Beobachtung verwendet, die dem Prototyp, den der Holländer Hans Lipperhey (1570 - 1619) erfand und den Galileo Galilei (1564 - 1642) weiterentwickelte, sehr ähnlich waren. Diese kleinen Fernrohre dienten vor allem der Mond- und Planetenbeobachtung.

Keplers Verdienste

Kepler hatte drei Gesetze der Himmelsmechanik rein empirisch gefunden. Eine theoretische Herleitung dieser später Kepler-Gesetze genannten Gesetze wurde mit der Newtonschen Gravitationstheorie möglich. Im Physikstudium sind die Keplerschen Gesetze auch heute noch Pflichtübung in der klassischen Mechanik.
Die drei Gesetze lauten:

  • (1) Die Planetenbahnen sind Ellipsen, in dessen einem Brennpunkt die Sonne steht.
  • (2) Die Verbindungslinie Planet - Sonne (Fahrstrahl) überstreicht in gleichen Zeitintervallen gleich große Flächen.
  • (3) Die Quadrate der Umlaufzeiten der Planeten verhalten sich wie die Kuben der großen Halbachse der Ellipse ihrer jeweiligen Bahn.

Himmelsbahnen sind Kegelschnitte

Ellipse als einer der Kegelschnitte In dieser historischen Form wurden die Kepler-Gesetze an den Planeten im Sonnensystem beobachtet und bewiesen. Vom physikalischen Standpunkt haben sie jedoch eine viel allgemeinere Gültigkeit und astronomisch einen weit größeren Anwendungsbereich. Es handelt sich beim Kepler-Problem um die Bewegung einer Masse m in einem gravitativen Zentralpotential, nämlich demjenigen, das von der Zentralmasse M gebildet wird. Eine mathematische Analyse des Problems zeigt, dass alle Bahnen von Himmelskörpern im Sonnensystem Kegelschnitte sind. Das heißt die Bahnformen ergeben sich als Schnittfiguren, wenn man einen Kreiskegel mit einer Ebene schneidet. Diese Figuren sind alle bekannt und heißen Kreis, Ellipse, Parabel und Hyperbel - sie unterscheiden sich in der Exzentrizität. Die Ellipse ist dabei einer der wichtigsten Kegelschnitte, beschreibt sie doch die Planetenbahnen im Sonnensystem. Wie diese Schnittfigur zustande kommt, zeigt die Abbildung rechts. Die Ellipse ist dabei ein Sonderfall, der sich nur ergibt, wenn der halbe Öffnungswinkel des Kegels α und der Winkel der Ebene mit der Kegelachse β die Bedingung oben rechts erfüllen; bei anderen Winkelbedingungen ergeben sich entsprechend Kreis, Parabel und Hyperbel.

weit reichende Bedeutung für die Physik

Die Kepler-Gesetze bestimmen nicht nur die Dynamik im Sonnensystem, sie lassen sich auf viele andere astronomische Systeme übertragen: Doppelsternsysteme oder sogar auf Sterne, die um ein Schwarzes Loch kreisen. Das dritte Kepler-Gesetz kann als Relation zwischen Umlaufzeit (bzw. Umlauffrequenz) und Zentralmasse formuliert werden. In dieser Form wird es exzessiv in zahlreichen kosmischen Systemen genutzt, um Massen kinematisch zu bestimmen. Ein prominentes und aufregendes Beispiel ist das Zentrum der Milchstraße: aus der Dynamik von Sternen und von Gas folgt eine gigantische, konzentrierte Masse, die dunkel im Galaktischen Zentrum lauert. Die beste Interpretation, die Astronomen für dieses seltsame Gebilde haben, ist, dass sich hier ein supermassereiches Schwarzes Loches von gut drei Millionen Sonnenmassen befindet. Damit die entsprechenden Bahnberechnungen bei Schwarzen Löchern noch ihre Gültigkeit haben, müssen die klassischen Kepler-Gesetze relativistisch verallgemeinert werden. Das ist allerdings möglich.

Einschränkungen & Erweiterungen

Es seien noch einige Einschränkungen bzw. Erweiterungen der Kepler-Gesetze angemerkt: die Bewegung eines Objekts um das andere (Zweikörperproblem) erfolgt um den gemeinsamen Schwerpunkt. Im Falle des Systems Planet - Sonne liegt dieser aufgrund der enormen Masse der Sonne im Vergleich zu den Planeten nahe bei der Sonne.
Das zweite Kepler-Gesetz beruht physikalisch auf der Erhaltung des Drehimpulses, was wiederum mit der Achsensymmetrie des Problems zusammenhängt (Noether-Theorem, siehe auch Symmetrie). Dieser Erhaltungssatz ist auch der Grund dafür, dass die (Planeten-)Bewegung in einer Ebene stattfindet (vergleiche auch eine weitere Erhaltungsgröße, der Runge-Lenz-Vektor). Die Kepler-Gesetze vernachlässigen kleine Beiträge von den gravitativen Wechselwirkungen der Planeten untereinander. Im Allgemeinen ist nur das Zweikörperproblem exakt lösbar. Schon bei nur einem weiteren Körper, dem Dreikörperproblem, ist eine Lösung nur noch approximativ numerisch zu finden. Im restringierten Dreikörperproblem ist eine der drei Massen viel leichter, was die Lösung erleichtert.

Web-Artikel

Kerr-de-Sitter-Lösung

Die Kerr-de-Sitter-Lösung ist eine Lösung der Einsteinschen Feldgleichungen der Allgemeinen Relativitätstheorie mit Λ-Term (siehe kosmologische Konstante). Physikalisch motiviert ist diese Raumzeit, wenn man ein rotierendes Schwarzes Loch beschreiben will, das sich in einer Umgebung befindet, die mit dem Λ-Fluidum angefüllt ist.

zum Namen

Der Name Kerr-de-Sitter-Lösung kommt daher, weil diese Metrik beides beinhaltet: die rotierende Eigenschaft von der Kerr-Lösung und die kosmologische Konstante wie in der de-Sitter-Lösung.

Eigenschaften: Masse, Rotation, Λ

Die Kerr-de-Sitter-Raumzeit ist eine Drei-Parameter-Lösung, weil Massenparameter M, spezifischer Drehimpuls a = J/Mc und die kosmologische Konstante Λ die Eigenschaften der Metrik eindeutig festlegen.

Unterscheidung nach Vorzeichen von Λ

Wie bei der de-Sitter-Raumzeit auch, sprechen Theoretiker von der Kerr-de-Sitter-Lösung (KdS-Metrik), falls Λ > 0 (repulsive kosmologische Konstante; Antigravitation) und von der Kerr-Anti-de-Sitter-Lösung (KAdS-Metrik), falls Λ < 0 (attraktive kosmologische Konstante). Im Grenzfall Λ = 0 ist gerade die gewöhnliche Kerr-Metrik mit verschwindender kosmologischer Konstante realisiert.
Interessanterweise hat die KAdS-Metrik keinen Ereignishorizont.

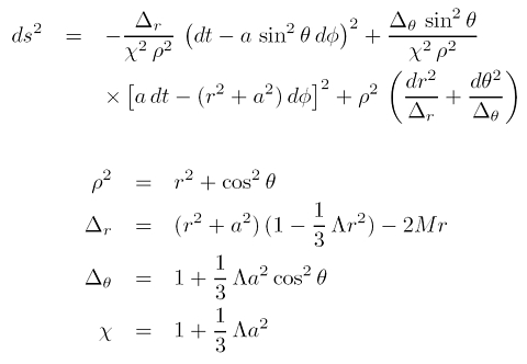
Linienelement

Der Vollständigkeit halber sei das Linienelement an dieser Stelle notiert:

Linienelement der Kerr-de-Sitter-Metrik

Weitere Raumzeiten

Verschwindet der Drehimpuls des Loches, so ist gerade die Schwarzschild-de-Sitter-Lösung realisiert. Gibt es eine zusätzliche elektrische Ladung in der KdS-Metrik, so heißt die Raumzeit Kerr-Newman-de-Sitter-Lösung

Publikationen zum Thema

  • Gibbons, G.W. & Hawking, S.W.: Cosmological event horizons, thermodynamics, and particle creation, Phys. Rev. D15, 2738, 1977
  • Stuchlik, Z. & Calvani, M.: Null geodesics in black hole metrics with non-zero cosmological constant, Gen. Rel. Grav. 23, 507, 1991
Kerr-Lösung

Die Kerr-Lösung ist eine Vakuum-Lösung der Einsteinschen Feldgleichungen und beschreibt die Metrik rotierender, nicht geladener Schwarzer Löcher. Allgemeiner gesprochen beschreibt es den gekrümmten Außenraum einer elektrisch neutralen, rotierenden Masse. In guter Näherung können mit der Kerr-Lösung rotierende Massen auf der Basis der Allgemeinen Relativitätstheorie beschrieben werden.

Ein Rechenkunststück

Der Neuseeländer Roy Patrick Kerr fand diese Lösung 1963 in kartesischen Koordinaten, was als mathematische Meisterleistung gewertet werden muss. Denn einerseits ist es generell schwierig, exakte Lösung der komplizierten Einsteinschen Feldgleichungen zu finden und andererseits hat die Kerr-Lösung in den kartesischen Koordinaten eine recht komplizierte Struktur. Durch Koordinaten, die besser an die Symmetrie der Kerr-Geometrie angepasst sind, wird auch ihre mathematische Formulierung einfacher. Üblicherweise notiert man die Kerr-Geometrie in pseudosphärischen Boyer-Lindquist-Koordinaten. Das Linienelement lautet dann:

Kerr-Metrik in Boyer-Lindquist-Form

Alternativ kann es auch in Matrixform aufgeschrieben werden, d.h. der metrische Tensor der Kerr-Metrik in Boyer-Lindquist-Form. Die im Linienelement enthaltenen Funktionen sind unter dem Eintrag Boyer-Lindquist-Koordinaten ausführlich notiert.

Rotation erschwert die Sache

Prinzipiell kann gesagt werden, dass rotierende Schwarze Löcher deutlich komplexere Raumzeiten sind, als ihr nicht rotierendes Pendant, die Schwarzschild-Lösung. Denn die Raumzeit rotiert. Dies spiegelt sich tensoriell darin wider, dass der metrische Tensor nicht mehr diagonal ist: es gibt in Boyer-Lindquist-Koordinaten einen Kreuzterm, der azimutale und zeitliche Komponente koppelt. In den ebenfalls pseudosphärischen Kerr-Schild-Koordinaten gibt es sogar drei Kreuzterme! Das ist zwar eine zusätzliche Komplexität, aber in numerischen Simulationen von rotierenden Löchern kann die Verwendung von Kerr-Schild-Koordinaten zweckmäßiger sein, weil dann Randbedingungen (in Hydrodynamik und Magnetohydrodynamik) besser umgesetzt werden können.

zwei Eigenschaften: Masse und Drehimpuls

Kerr-Löcher haben also die physikalischen Eigenschaften Masse M und Drehimpuls J. Das Robinson-Theorem diktiert, dass Raumzeiten mit bestimmten Voraussetzungen notwendigerweise identisch mit der Kerr-Lösung sein müssen. Die Rotation kann durch den so genannten Kerr-Parameter (Rotations- oder Spinparameter) a charakterisiert werden. Diese Zahl ist physikalisch gesprochen ein spezifischer Drehimpuls a = J/Mc. In geometrisierte Einheiten (G = c = 1) variiert a zwischen den Werten -M (maximale retrograde Rotation) und +M (maximale prograde Rotation). Manchmal setzen Theoretiker aus Bequemlichkeit auch M = 1 (bisweilen auch auf meiner Website), so dass a zwischen -1 und 1 variiert. Die Maximalwerte +1 und -1 sind mit Vorsicht zu genießen, denn die Singularität der Kerr-Lösung wird dann nach außen hin sichtbar! Der Relativist Kip Thorne hat 1974 herausgefunden, dass die Rotation einen kritischen Maximalwert hat, nämlich a = 0.998M. Gilt exakt a = 0, so geht die Kerr-Lösung in die statische Schwarzschild-Lösung über.

gekrümmte Raumzeit

Schwarze Löcher sind Raumzeiten, die sehr starke Krümmungen aufweisen, vor allem wenn man in die Nähe der Krümmungssingularität kommt. Nach außen nimmt die Krümmung allerdings rapide ab und verschwindet sogar im Grenzfall einer unendlich hohen Entfernung zum Loch. Diese Eigenschaft haben sowohl Schwarzschild-Metrik, als auch Kerr-Metrik, und sie heißt asymptotische Flachheit. D.h. für sehr große Abstände vom Schwarzen Loch gehen die Schwarzschild- bzw. Kerr-Metrik in die Minkowski-Metrik über.

Eigenschaften der Kerr-Lösung

  • Es gibt zwei Horizonte, einen inneren Horizont oder Cauchy-Horizont bei r-H und einen äußeren Horizont bei r+H. Letztgenannter ist der eigentliche Ereignishorizont, weil er festlegt, ab welchem Abstand ein rotierendes Loch für einen Außenbeobachter völlig schwarz erscheint.
    Beide Horizonte hängen nur von der Masse und dem Drehimpuls des Loches ab (siehe erste Gleichung unten)! Die Horizonte sind so genannte Nullflächen und werden von den beiden Killing-Vektoren der Kerr-Geometrie aufgespannt.
  • Um die Horizonte herum gibt es eine Ergosphäre, d.h. eine Region, wo die Rotation der Raumzeit sehr stark wird. Alles, was sich lokal in der Ergosphäre befindet (Sterne, Akkretionsscheiben, Beobachter, Licht!), wird von der rotierenden Raumzeit mitgezogen. Dieses Phänomen heißt Frame-Drag. Innerhalb der Ergosphäre kann insbesondere kein Beobachter mehr statisch sein und muss rotieren. Die Struktur der rotierenden Raumzeit zwingt einfach alles, Materie und Strahlung, mit ihm zu rotieren! Am äußeren Horizont dreht sich alles mit der Winkelgeschwindigkeit des Loches (Anmerkung: In der Schwarzschild-Metrik fehlt zwar die Ergosphäre, doch gibt es hier eine Art Anti-Frame-Drag: alles muss statisch sein!) Aus diesen Gründen heißt die Ergosphäre auch statisches Limit, rstat. Mathematisch ist die Ergosphäre definiert durch das Verschwinden der zeitartigen Komponente (00-Komponente) des metrischen Tensors. Demnach ist die Ergosphäre eine Fläche unendlicher Rotverschiebung bzw. verschwindenden Rotverschiebungsfaktors. Die Ergosphäre ist im Gegensatz zu den Horizonten abgeplattet - mathematisch ist das zu sehen an der Abhängigkeit vom Polarwinkel θ in der zweiten Gleichung unten.
  • Wie alle klassischen Schwarzen Löcher hat auch die Kerr-Lösung eine intrinsische Singularität (Krümmungssingularität, Raumzeit-Singularität). Sie folgt aus einer Diskussion des Riemann-Tensors der Kerr-Metrik, insbesondere der Riemannschen Invarianten wie dem Kretschmann-Skalar. In Boyer-Lindquist-Koordinaten notiert, muss die Funktion ρ ('rho') verschwinden. Sie taucht im Nenner der Invarianten auf. Wird sie null, wird die Krümmung unendlich. Für die Funktion ρ gilt: ρ2 = r2+a2cos2θ. Eine Diskussion dieses Ausdrucks (am besten mit Kerrs historischen kartesischen Koordinaten) führt auf das erstaunliche Resultat, dass die Kerr-Lösung im Zentrum eine Ringsingularität besitzt. Diese Ringsingularität befindet sich immer in der Äquatorebene des Lochs, innerhalb des Cauchy-Horizonts und im Zentrum des Loches bei r = 0, wie die Krümmungsinvarianten belegen. Der ringförmige Massenstrom ist die Quelle der achsensymmetrischen Gravitation der Kerr-Geometrie - sonst gibt es in der Vakuumraumzeit keine Quellen.
innerer, r-, und äußerer Horizont, r+
Gleichung für die Ergosphäre

Schema mit struktureller Information

Häufig sind diese genannten Eigenschaften der Kerr-Lösung in Abbildungen wie dieser zusammengefasst:

Vergleich von Schwarzschild- und Kerr-Loch

Solche Bilder sind jedoch aus einer Reihe von Gründen mit Vorsicht zu genießen: Der Betrachter kann dazu verleitet werden zu glauben, dass genau so ein Schwarzes Loch aussieht. Ein Schwarzes Loch ist aber ein schwarzes Objekt. Ein Außenbeobachter kann aufgrund der Gravitationsrotverschiebung nie etwas vom Inneren des Loches, z.B. die Singularität, sehen. Ein anderes Problem ist, dass die Abbildung oben nicht auf Invarianten beruht, d.h. sie geht auf die Verwendung eines speziellen Koordinatensystems zurück. In einem anderen sieht es anders aus! Nur geeignete Invarianten der ART, wie die gerade angesprochenen Krümmungsinvarianten, erlauben ein objektives Bild. Die Abbildung oben kann also nur dazu dienen, einen Überblick über die strukturellen Komponenten eines Lochs zu bekommen.

Realistischer Eindruck vom Anblick eines Schwarzen Loches

Ist man daran interessiert, wie sich der visuelle Eindruck eines Loches für einen entfernten Beobachter gestaltet, so muss man eine Simulationstechnik namens relativistisches Ray Tracing betreiben. Die simulierten Bilder sehen aus, wie das folgende:

Emission einer Akkretionsscheibe um ein rotierendes Schwarzes Loch bei 40 Grad Neigung

Das rotierende Schwarze Loch befindet sich in der Bildmitte. Es tritt nur deshalb in Erscheinung, weil seine Umgebung leuchtet. Denn um das Schwarze Loch befindet sich eine ebenfalls (hier gegen den Uhrzeigersinn) rotierende Standardscheibe - eine dünne Materiescheibe, die Strahlung abgibt. Der helle Fleck links vom Loch ist auf Blauverschiebung der Strahlung der sich nähernden Scheibenseite zurückzuführen. Entsprechend ist die rechte sich entfernende Seite rotverschoben. Es handelt sich um eine relativistische Verallgemeinerung des Doppler-Effekts.
Die Dunkelheit um und die Schwärze am Loch ist durch einen Effekt namens Gravitationsrotverschiebung begründet. So sieht ein Schwarzes Loch aus!

Horizonte

Bei maximaler Rotation (a = M) sind beide Horizonte bei einem Gravitationsradius. Bei verschwindender Rotation hingegen (a = 0), was der Schwarzschild-Lösung entspricht, ist der äußere Horizont bei zwei Gravitationsradien oder einem Schwarzschildradius. Der innere Horizont koinzidiert mit der zentralen Schwarzschild-Singularität bei r = 0.

innere Kerr-Lösung?

Alle Versuche, eine innere Kerr-Lösung zu finden sind bisher gescheitert. Bei der Schwarzschild-Lösung ist dies allerdings möglich (siehe Eintrag Schwarzschild-Lösung).

Geodäten

Innerhalb des Horizonts treten raumartige Geodäten (wie bei den Tachyonen) auf, die die Kausalität verletzen! Da jedoch nichts davon nach außen dringen kann (geschlossene Geodäten), erfüllt diese Kausalitätsverletzung gewissermaßen die kosmische Zensur: Wie die Singularität sind sie durch den Ereignishorizont verhüllt.
Die Geodätengleichung der Kerr-Metrik ist mithilfe der Carter-Konstante vollständig integrabel. Mit dieser Standardmethode werden numerisch Teilchenbahnen und Trajektorien des Lichtes in der Kerr-Metrik studiert. Damit kann man relativistisches Ray-Tracing betreiben und viele Bilder erzeugen, die zeigen wie rotierende Schwarze Löcher, optisch die Umgebung verzerren. In der Astrophysik nutzt man diese Methode, um relativistische Spektren wie die relativistisch verbreiterte Eisenlinie zu simulieren und mit Beobachtungsdaten zu vergleichen.
Eine andere wichtige Anwendung der Kerr-Lösung in der Astrophysik ist die Beschreibung hydrodynamischer und magnetohydrodynamischer Phänomene auf dem Hintergrund der Kerr-Raumzeit (siehe auch Akkretion).

Aspekte zur Stabilität

Ein wichtiges Kriterium für Lösungen der Einsteinschen Feldgleichungen ist deren Stabilität. Die Theoretiker untersuchen in einer Stabilitätsanalyse der Metrik, wie sie sich unter kleinen Störungen verhält: Schwingt die gestörte Metrik in die ursprüngliche Lösung zurück? Falls ja, ist die Raumzeit stabil. Die Schwarzschild-Lösung ist der Grundzustand der relativistischen Gravitation (in vielen Details nachzulesen im Buch von S. Chandrasekhar mit dem Titel The Mathematical Theory of Black Holes). Demgegenüber ist die Kerr-Lösung zwar stabil gegen axialsymmetrische Störungen. Man kann aber durch Penrose-Prozesse oder Blandford-Znajek-Mechanismen, die beide in der Ergosphäre stattfinden, die Rotationsenergie theoretisch sogar vollständig extrahieren, so dass aus dem Kerr- ein Schwarzschild-Loch wird. In diesem Sinne ist die Kerr-Metrik weniger stabil.

dicker Web-Artikel

Kerr-Newman-de-Sitter-Lösung

Die Kerr-Newman-de-Sitter-Lösung ist eine Lösung der Einstein-Maxwell-Gleichungen, d.h. der Einsteinschen Feldgleichung der Allgemeinen Relativitätstheorie mit Λ-Term (siehe kosmologische Konstante) und mit Maxwell-Tensor auf der rechten Seite der Feldgleichung.

Motivation

Physikalisch motiviert ist diese Raumzeit, wenn man ein rotierendes, elektrisch geladenes Schwarzes Loch beschreiben will, das sich in einer Umgebung befindet, die mit dem Λ-Fluidum angefüllt ist. Die experimentelle Kosmologie belegt mit unterschiedlichen und unabhängigen Methoden, dass das späte Universum durch eine Form Dunkler Energie beschleunigt expandiert. Aus dem Zoo Dunkler Energien wird aktuell eine konstante Dunkle Energie mit einem w-Parameter von -1 favorisiert: Das ist gerade Einsteins kosmologische Konstante Λ. Um nun die Wechselwirkung eines Schwarzen Loches mit der Dunklen Energie in der Umgebung zu studieren, bietet sich genau eine Lösungsfamilie an, die im ganz allgemeinen Fall die Kerr-Newman-de-Sitter-Lösung darstellt.

zum Namen

Der Name Kerr-Newman-de-Sitter-Lösung kommt daher, weil diese Metrik beides beinhaltet: die rotierende Eigenschaft und die Ladungseigenschaft von der Kerr-Newman-Lösung und die kosmologische Konstante wie in der de-Sitter-Lösung.

Eigenschaften: Masse, Rotation, Ladung, Λ

Die Kerr-Newman-de-Sitter-Raumzeit ist eine Vier-Parameter-Lösung, weil Massenparameter M, spezifischer Drehimpuls a = J/Mc, elektrische Ladung Q und die kosmologische Konstante Λ die Eigenschaften der Metrik eindeutig festlegen.

Unterscheidung nach Vorzeichen von Λ

Wie bei der de-Sitter-Raumzeit auch, sprechen Theoretiker von der Kerr-Newman-de-Sitter-Lösung (KNdS-Metrik), falls Λ > 0 (repulsive kosmologische Konstante; Antigravitation) und von der Kerr-Newman-Anti-de-Sitter-Lösung (KNAdS-Metrik), falls Λ < 0 (attraktive kosmologische Konstante). Im Grenzfall Λ = 0 ist gerade die gewöhnliche Kerr-Newman-Metrik mit verschwindender kosmologischer Konstante realisiert.
Interessanterweise hat die KNAdS-Metrik keinen Ereignishorizont.

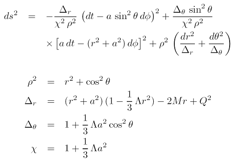
Linienelement

Der Vollständigkeit halber sei das Linienelement an dieser Stelle notiert:

Linienelement der Kerr-Newman-de-Sitter-Metrik

Weitere Raumzeiten

Verschwindet die elektrische Ladung, so liegt die Kerr-de-Sitter-Lösung vor. Verschwinden Ladung und sogar Drehimpuls dieses Loches, so ist gerade die Schwarzschild-de-Sitter-Lösung realisiert. Diese elektrisch neutralen Lösungen sind in der Astrophysik geeignete Modelle, um die Wechselwirkung von Schwarzem Loch und Dunkler Energie im Rahmen der klassischen Gravitation Einsteins zu studieren.

wissenschaftliche Publikation

  • Gibbons, G.W. & Hawking, S.W.: Cosmological event horizons, thermodynamics, and particle creation, Phys. Rev. D15, 2738, 1977
Kerr-Newman-Lösung

Diese Lösung der Einsteinschen Feldgleichung der Allgemeinen Relativitätstheorie beschreibt eine Form eines Schwarzen Loches, falls die kosmologische Konstante verschwindet. Allgemein gesprochen beschreibt diese Raumzeit rotierende, geladene Punktmassen. Damit verallgemeinert sie rotierende Schwarze Löcher, also die Kerr-Lösung, weil sie zudem eine elektrische Ladung trägt.

keine Vakuumlösung!

Der Maxwell-Tensor geht in dieser Beschreibung als Energie-Impuls-Tensor ein und modifiziert die Feldgleichungen so, dass sie eine nicht verschwindende rechte Seite erhalten. D.h. die Kerr-Newman-Lösung ist eine Nicht-Vakuumlösung. Die so modifizierten Feldgleichungen heißen Einstein-Maxwell-Gleichungen.

keine Verwendung in der Astrophysik

Im Rahmen der Relativitätstheorie ist die genaue Untersuchung jeder Raumzeit als Lösung der Einstein-Gleichung interessant. Bezogen auf die Astronomie muss geklärt werden wie realistisch das entsprechende Modell ist. Im vorliegenden Fall der Kerr-Newman-Lösung wäre zu fragen: Macht es Sinn ein kosmisches Schwarzes Loch mit den Eigenschaften Masse, Drehimpuls und elektrische Ladung zu betrachten? Vermutlich hat die Kerr-Newman-Metrik eher einen akademischen Charakter, weil elektrische Ströme in unmittelbarer Umgebung des Loches Ladungsunterschiede kompensieren würden. Theoretisch sind geladenen Löcher in völliger Isolation denkbar. Weil aber immer irgendwelche Materieformen im All anzutreffen sind (Staub, Sterne, interstellares oder intergalaktisches Gas), sind sie eben sehr unwahrscheinlich. Das erklärt, weshalb die Anwendung dieser Kerr-Newman-Lösungen in der Astrophysik nicht besonders verbreitet ist. Die beiden intensiv eingesetzten Raumzeiten für Schwarze Löcher sind die Schwarzschild-Lösung und die Kerr-Lösung, also elektrisch neutrale Löcher.

Zur mathematischen Herleitung

Durch einen Trick (nach Newman & Janis) kann die Kerr-Newman-Lösung aus der statischen Reissner-Nordstrøm-Lösung gewonnen werden.

pdf KK
pdf A-ZA-Z

nach oben

Lexikon - K 1 Lexikon - K 3


Start - Web-Artikel - Lexikon - Vorträge - Ausbildung - Essays - Rhetorik - Links - Autor - Kontakt
Andreas Müller © Andreas Müller, August 2007

Index

A
Abbremsparameter
ADAF
ADD-Szenario
ADM-Formalismus
AdS/CFT-Korrespondenz
AGB-Stern
Äquivalenzprinzip
Akkretion
Aktiver Galaktischer Kern
Alfvén-Geschwindigkeit
Alfvén-Zahl
Allgemeine Relativitätstheorie
Alpha-Zerfall
AMR
anthropisches Prinzip
Antigravitation
Antimaterie
Apastron
Apertursynthese
Aphel
Apogäum
Astronomie
Astronomische Einheit
asymptotisch flach
Auflösungsvermögen
Axion
AXP
B
Balbus-Hawley- Instabilität
Bardeen-Beobachter
Baryogenese
Baryonen
baryonische Materie
Bekenstein-Hawking- Entropie
Beobachter
Beta-Zerfall
Bezugssystem
Bianchi-Identitäten
Big Bang
Big Bounce
Big Crunch
Big Rip
Big Whimper
Birkhoff-Theorem
Blandford-Payne- Szenario
Blandford-Znajek- Mechanismus
Blauverschiebung
Blazar
BL Lac Objekt
Bogenminute
Bogensekunde
Bosonen
Bosonenstern
Boyer-Lindquist- Koordinaten
Bran
Brans-Dicke- Theorie
Brauner Zwerg
Brill-Wellen
Bulk
C
Carter-Konstante
Casimir-Effekt
Cauchy-Fläche
Cepheiden
Cerenkov-Strahlung
Chandrasekhar-Grenze
Chaplygin-Gas
Chiralität
Christoffel-Symbol
CMB
CNO-Zyklus
Comptonisierung
Cosmon
C-Prozess
D
Deep Fields
Derricks Theorem
de-Sitter- Kosmos
DGP-Szenario
Diffeomorphismus
differenzielle Rotation
Distanzmodul
Dodekaeder-Universum
Doppler-Effekt
Drei-Kelvin-Strahlung
Dunkle Energie
Dunkle Materie
E
Eddington-Finkelstein- Koordinaten
Eddington-Leuchtkraft
Effektivtemperatur
Eichtheorie
Einstein-Ring
Einstein-Rosen- Brücke
Einstein-Tensor
Eisenlinie
Eklipse
Ekliptik
Ekpyrotisches Modell
Elektromagnetismus
Elektronenvolt
elektroschwache Theorie
Elementarladung
Energie
Energiebedingungen
Energie-Impuls-Tensor
Entfernungsmodul
eos
eos-Parameter
Epizykel
Ereignishorizont
erg
Ergosphäre
eV
Extinktion
Extradimension
extragalaktisch
extrasolar
extraterrestrisch
Exzentrizität
F
Falschfarbenbild
Fanaroff-Riley- Klassifikation
Faraday-Rotation
Farbindex
Farbladung
Farbsupraleitung
Feldgleichungen
Fermi-Beschleunigung
Fermionen
Fermionenstern
Fernparallelismus
Feynman-Diagramm
FFO
FIDO
Flachheitsproblem
FLRW-Kosmologie
Fluchtgeschwindigkeit
Frame-Dragging
f(R)-Gravitation
Friedmann-Weltmodell
G
Galaktischer Schwarz-Loch-Kandidat
Galaxie
Gamma Ray Burst
Gamma-Zerfall
Geodäte
Geometrisierte Einheiten
Geometrodynamik
Gezeitenkräfte
Gezeitenradius
Gluonen
Grad
Granulation
Gravastern
Gravitation
Gravitationskollaps
Gravitationskühlung
Gravitationslinse
Gravitationsradius
Gravitations- rotverschiebung
Gravitationswellen
Gravitomagnetismus
Graviton
GRBR
Große Vereinheitlichte Theorien
Gruppe
GUT
GZK-cutoff
H
Hadronen
Hadronen-Ära
Hamilton-Jacobi- Formalismus
Harvard-Klassifikation
Hauptreihe
Hawking-Strahlung
Hawking-Temperatur
Helizität
Helligkeit
Herbig-Haro- Objekt
Hertzsprung-Russell- Diagramm
Hierarchieproblem
Higgs-Teilchen
Hilbert-Raum
Hintergrundmetrik
Hintergrundstrahlung
HLX
HMXB
Holostern
Homogenitätsproblem
Horizont
Horizontproblem
Horn-Universum
Hubble-Gesetz
Hubble-Klassifikation
Hubble-Konstante
Hydrodynamik
hydrostatisches Gleichgewicht
Hyperladung
Hypernova
Hyperonen
I
IC
Inertialsystem
Inflation
Inflaton
intergalaktisch
intermediate-mass black hole
interplanetar
interstellar
Isometrien
Isospin
Isotop
ITER
J
Jahreszeiten
Jansky
Jeans-Masse
Jet
K
Kaluza-Klein-Theorie
Kaup-Grenzmasse
Kaonen
Kataklysmische Veränderliche
Keine-Haare- Theorem
Kepler-Gesetze
Kerr-de-Sitter- Lösung
Kerr-Lösung
Kerr-Newman- de-Sitter- Lösung
Kerr-Newman- Lösung
Kerr-Schild- Koordinaten
Killing-Felder
Killing-Tensor
K-Korrektur
Koinzidenzproblem
Kollapsar
Kompaktes Objekt
Kompaktheit
Kompaktifizierung
Kompaneets-Gleichung
konforme Transformation
Kongruenz
Koordinatensingularität
Kopenhagener Deutung
Korona
Korrespondenzprinzip
Kosmische Strahlung
Kosmische Strings
Kosmographie
Kosmologie
Kosmologische Konstante
Kosmologisches Prinzip
kovariante Ableitung
Kovarianzprinzip
Kreisbeschleuniger
Kretschmann-Skalar
Krümmungstensor
Kruskal-Lösung
Kugelsternhaufen
L
Laborsystem
Ladung
Lagrange-Punkte
Lambda-Universum
Lapse-Funktion
Laserleitstern
Lense-Thirring- Effekt
Leptonen
Leptonen-Ära
Leptoquarks
Leuchtkraft
Leuchtkraftdistanz
Levi-Civita- Zusammenhang
Licht
Lichtjahr
Lichtkurve
Lie-Ableitung
Linearbeschleuniger
LINER
Linienelement
LIRG
LMXB
LNRF
Lokale Gruppe
Loop-Quantengravitation
Lorentz-Faktor
Lorentzgruppe
Lorentzinvarianz
Lorentz-Kontraktion
Lorentz-Transformation
Lundquist-Zahl
Luxon
M
Machscher Kegel
Machsches Prinzip
Machzahl
Magnetar
magnetische Rotationsinstabilität
Magnetohydrodynamik
Magnitude
marginal gebundene Bahn
marginal stabile Bahn
Markariangalaxie
Maxwell-Tensor
Membran-Paradigma
Mesonen
Metall
Metrik
Mikroblazar
Mikrolinse
Mikroquasar
Milchstraße
Minkowski-Metrik
Missing-Mass- Problem
mittelschwere Schwarze Löcher
MOND
Monopolproblem
Morphismus
M-Theorie
Myonen
N
Neutrino
Neutronenreaktionen
Neutronenstern
Newtonsche Gravitation
No-Hair-Theorem
Nova
Nukleon
Nukleosynthese
Nullgeodäte
O
Öffnung
Olbers-Paradoxon
O-Prozess
Oppenheimer-Volkoff- Grenze
optische Tiefe
Orthogonalität
P
Paradoxon
Paralleluniversum
Parsec
partielle Ableitung
Pauli-Prinzip
Penrose-Diagramm
Penrose-Prozess
Pentaquark
Periastron
Perigäum
Perihel
periodisch
persistent
Petrov-Klassifikation
PG1159-Sterne
Phantom-Energie
Photon
Photonenorbit
Photosphäre
Pion
Pioneer-Anomalie
Planck-Ära
Planckscher Strahler
Planck-Skala
Planet
Planetarische Nebel
Poincarégruppe
Poincaré- Transformation
Polytrop
Population
Post-Newtonsche Approximation
Poynting-Fluss
pp-Kette
p-Prozess
Prandtl-Zahl
primordiale Schwarze Löcher
Prinzip minimaler gravitativer Kopplung
Protostern
Pseudo-Newtonsche Gravitation
Pulsar
Pulsierendes Universum
Pyknonukleare Reaktionen
Q
QPO
Quant
Quantenchromodynamik
Quantenelektrodynamik
Quantenfeldtheorie
Quantengravitation
Quantenkosmologie
Quantenschaum
Quantensprung
Quantentheorie
Quantenvakuum
Quantenzahlen
Quark-Ära
Quark-Gluonen- Plasma
Quarks
Quarkstern
Quasar
quasi-periodisch
Quasi-periodische Oszillationen
Quelle
Quintessenz
R
Radioaktivität
Radiogalaxie
Radion
Randall-Sundrum- Modelle
Randverdunklung
Raumzeit
Rayleigh-Jeans- Strahlungsformel
Ray Tracing
Reichweite
Reionisation
Reissner-Nordstrøm- de-Sitter- Lösung
Reissner-Nordstrøm- Lösung
Rekombination
relativistisch
Relativitätsprinzip
Relativitätstheorie
Renormierung
Reverberation Mapping
Reynolds-Zahl
RGB-Bild
Ricci-Tensor
Riemann-Tensor
Ringsingularität
Robertson-Walker- Metrik
Robinson-Theorem
Roche-Volumen
Röntgendoppelstern
Roter Riese
Roter Zwerg
Rotverschiebung
Rotverschiebungsfaktor
r-Prozess
RRAT
RR Lyrae-Sterne
Ruhesystem
S
Schallgeschwindigkeit
scheinbare Größe
Schleifen- Quantengravitation
Schwache Wechselwirkung
Schwarzer Körper
Schwarzer Zwerg
Schwarzes Loch
Schwarzschild-de-Sitter- Lösung
Schwarzschild-Lösung
Schwarzschild-Radius
Schwerkraft
Seltsamer Stern
Seltsamkeit
Seyfert-Galaxie
Singularität
skalares Boson
SNR
Soft Gamma-Ray Repeater
Sonne
Spektraltyp
Spezialität
Spezielle Relativitätstheorie
Spin
Spin-Netzwerk
Spinschaum
Spin-Statistik-Theorem
Spintessenz
s-Prozess
Standardkerzen
Standardmodell
Standardscheibe
Starke Wechselwirkung
Statisches Universum
Staubtorus
Stefan-Boltzmann- Gesetz
stellare Schwarze Löcher
Stern
Sternentstehung
Strange Star
Stringtheorien
Subraum
Supergravitation
supermassereiche Schwarze Löcher
Supernova
Supernovaremnant
Superstringtheorie
Supersymmetrie
Symbiotische Sterne
Symmetrie
Symmetriebrechung
Symmetriegruppe
Synchrotron
Synchrotronstrahlung
Synchrozyklotron
T
Tachyon
Tagbogen
Tardyon
Teilchen
Teilchenbeschleuniger
Tensorboson
Tensoren
Tetraden
Tetraquark
TeVeS
Thermodynamik
thermonukleare Fusion
Tiefenfeldbeobachtung
Tierkreis
TNO
Topologie
topologische Defekte
Torsionstensor
Trägheit
transient
Transit
Triple-Alpha-Prozess
T Tauri Stern
Tunneleffekt
U
ULIRG
ULX
Unifikation
Unitarität
Universum
Unruh-Effekt
Urknall
V
Vakuum
Vakuumstern
Vektorboson
Velapulsar
Veränderliche
Vereinheitlichung
Viele-Welten- Theorie
VLA
VLBI
VLT
VLTI
Voids
VSOP
W
Walker-Penrose- Theorem
Weakonen
Weinberg-Winkel
Weiße Löcher
Weißer Zwerg
Wellenfunktion
Weylsches Postulat
Weyl-Tensor
Wheeler-DeWitt- Gleichung
Wiensche Strahlungsformel
Wilson-Loop
WIMP
Wolf-Rayet-Stern
w-Parameter
Wurmlöcher
X
X-Bosonen
X-Kraft
X-ray burster
Y
Y-Bosonen
Yerkes- Leuchtkraftklassen
YSO
Yukawa-Potential
Z
ZAMO
Zeit
Zeitdilatation
Zodiakallicht
Zustandsgleichung
Zustandsgröße
Zwerge
Zwergplanet
Zwillingsparadoxon
Zyklisches Universum
Zyklotron